目录
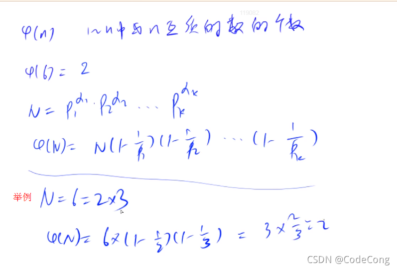
1、欧拉函数
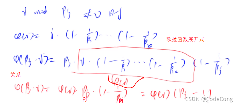
1.1、欧拉函数


#include <iostream>
using namespace std;
int phi(int x)
{
int res = x;
for (int i = 2; i <= x / i; i ++ )
if (x % i == 0)
{
// 先除 再乘
res = res / i * (i - 1);
while (x % i == 0) x /= i;
}
//先除 再乘
if (x > 1) res = res / x * (x - 1);
return res;
}
int main()
{
int n;
cin >> n;
while (n -- )
{
int x;
cin >> x;
cout << phi(x) << endl;
}
return 0;
}










1.2、筛法求欧拉函数

#include <iostream>
using namespace std;
typedef long long LL;
const int N = 1000010;
int primes[N], cnt;
int euler[N];
bool st[N];
void get_eulers(int n)
{
euler[1] = 1;
for (int i = 2; i <= n; i ++ )
{
if (!st[i])
{
primes[cnt ++ ] = i;
euler[i] = i - 1;
}
for (int j = 0; primes[j] <= n / i; j ++ )
{
int t = primes[j] * i;
st[t] = true;
if (i % primes[j] == 0)
{
euler[t] = euler[i] * primes[j];
break;
}
euler[t] = euler[i] * (primes[j] - 1);
}
}
}
int main()
{
int n;
cin >> n;
get_eulers(n);
LL res = 0;
for (int i = 1; i <= n; i ++ ) res += euler[i];
cout << res << endl;
return 0;
}













2、快速幂
2.1、快速幂

#include <iostream>
#include <algorithm>
using namespace std;
typedef long long LL;
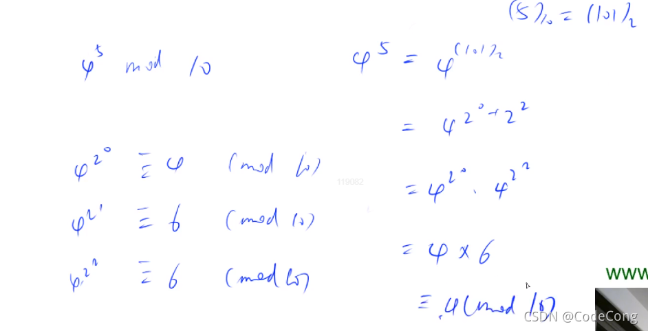
LL qmi(int a, int b, int p)
{
LL res = 1 % p;
while (b)
{
if (b & 1) res = res * a % p;
a = a * (LL)a % p;
b >>= 1;
}
return res;
}
int main()
{
int n;
scanf("%d", &n);
while (n -- )
{
int a, b, p;
scanf("%d%d%d", &a, &b, &p);
printf("%lld\n", qmi(a, b, p));
}
return 0;
}





假如一开始,二进制第一位是1。


2.2、快速幂求逆元








#include <iostream>
#include <algorithm>
using namespace std;
typedef long long LL;
LL qmi(int a, int b, int p)
{
LL res = 1;
while (b)
{
if (b & 1) res = res * a % p;
a = a * (LL)a % p;
b >>= 1;
}
return res;
}
int main()
{
int n;
scanf("%d", &n);
while (n -- )
{
int a, p;
scanf("%d%d", &a, &p);
if (a % p == 0) puts("impossible");
else printf("%lld\n", qmi(a, p - 2, p));
}
return 0;
}
3、扩展欧几里得算法
3.1、扩展欧几里得算法

#include <iostream>
#include <algorithm>
using namespace std;
int exgcd(int a, int b, int &x, int &y)
{
if (!b)
{
x = 1, y = 0;
return a;
}
int d = exgcd(b, a % b, y, x);
y -= a / b * x;
return d;
}
int main()
{
int n;
scanf("%d", &n);
while (n -- )
{
int a, b;
scanf("%d%d", &a, &b);
int x, y;
exgcd(a, b, x, y);
printf("%d %d\n", x, y);
}
return 0;
}










3.2、线性同余方程





#include <iostream>
#include <algorithm>
using namespace std;
typedef long long LL;
int exgcd(int a, int b, int &x, int &y)
{
if (!b)
{
x = 1, y = 0;
return a;
}
int d = exgcd(b, a % b, y, x);
y -= a / b * x;
return d;
}
int main()
{
int n;
scanf("%d", &n);
while (n -- )
{
int a, b, m;
scanf("%d%d%d", &a, &b, &m);
int x, y;
int d = exgcd(a, m, x, y);
if (b % d) puts("impossible");
else printf("%d\n", (LL)b / d * x % m);
}
return 0;
}
4、中国剩余定理
4.1、表达整数的奇怪方式

#include <iostream>
#include <algorithm>
using namespace std;
typedef long long LL;
LL exgcd(LL a, LL b, LL &x, LL &y)
{
if (!b)
{
x = 1, y = 0;
return a;
}
LL d = exgcd(b, a % b, y, x);
y -= a / b * x;
return d;
}
int main()
{
int n;
cin >> n;
LL x = 0, m1, a1;
cin >> a1 >> m1;
for (int i = 0; i < n - 1; i ++ )
{
LL a2, m2;
cin >> a2 >> m2;
LL k1, k2;
LL d = exgcd(a1, a2, k1, k2);
//判断欧几里得后是否有解,无解执行
if ((m2 - m1) % d)
{
x = -1;
break;
}
//欧几里得求的是d k1与(m2-m1)关联,
//必须扩大
k1 *= (m2 - m1) / d;
//k变成方程的最小正整数解
k1 = (k1 % (a2/d) + a2/d) % (a2/d);
//x0
m1 = k1 * a1 + m1;
//最小公倍数
a1 = abs(a1 / d * a2);
}
if (x != -1) x = (m1 % a1 + a1) % a1;
cout << x << endl;
return 0;
}




x所表示的公式就是中国剩余定理 第一次讲解
第二次讲解中 m与a颠倒过来



题目需要变形,无法使用中国剩余定理,需要改变。

解k1,k2




394

被折叠的 条评论
为什么被折叠?



