if语句
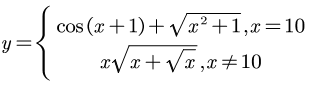
1.计算分段函数的值

(1)采用双分支结构来实现,程序如下:
%if语句双分支结构
x=input('请输入x的值:');
if x==10
y=cos(x+1)+sqrt(x.^2+1);
else
y=x*sqrt(x+sqrt(x));
end
y
(2)采用单分支if语句来实现,程序如下:
%if语句单分支结构
x=input('请输入x的值:');
if x==10
y=cos(x+1)+sqrt(x*x+1);
end
if x~=10
y=x*sqrt(x+sqrt(x));
end
y
(3)可以不用第一个if语句,直接求函数值。程序如下:
%第一个不用if直接求函数值
x=input('请输入x的值:');
y=cos(x+1)+sqrt(x*x+1);
if x~=10
y=x*sqrt(x+sqrt(x));
end
y
2.输入一个字符,若为大写字母,则输出其对应的小字母;若为小写字母,则输出其对应的大写字母;若为数字字符则输出其对应数的平方,若为其他字符则输出原样。
解析:可能会用到的函数有:
lower函数:将大写字母转换成相应的小写字母;
upper函数:将小写字母转换成相应的大写字母;
str2double函数:将字符串转换为数值;
代码如下:
c=input('请输入一个字符:','s');
if c>='A' && c<='Z'
disp(lower(c));
elseif c>='a' && c<='z'
disp(upper(c));
elseif c>='0' && c<='9'
disp(str2double(c).^2);
else disp(c)
end
switch语句
1.某商场对商品进行打折销售,标准如下(商品价格用price表示)

程序代码如下:
price=input('请输入商品价格');
switch fix(price/100) %fix()函数向零方向取整
case{0,1}
rate=0;
case{2,3,4}
rate=3/100;
case num2cell(5:9)
rate=5/100;
case num2cell(10:24)
rate=8/100;
case num2cell(25:49)
rate=10/100
otherwise
rate=14/100;
end
price=price*(1-rate)
try语句
1.矩阵乘法运算要求两矩阵的维数相容,否则会出错。先求两矩阵的乘积,若出错,则提示错误信息。
程序如下:
A=input('请输入A矩阵');
B=input('请输入B矩阵');
try
C=A*B
catch
lasterr
end
程序结果:
>> try_
请输入A矩阵[1,2,3,4;5,6,7,8;9,10,11,12]
请输入B矩阵[1,2,3;4,5,6;7,8,9;10,11,12]
C =
70 80 90
158 184 210
246 288 330
>> try_
请输入A矩阵[1,2,3;4,5,6]
请输入B矩阵[2,3,4;5,6,7]
ans =
'错误使用 *
用于矩阵乘法的维度不正确。请检查并确保第一个矩阵中的列数与第二个矩阵中的行数匹配。要执行按元素相乘,请使用 '.*'。'
本文介绍如何使用if语句实现分段函数计算,并演示了不同结构的if语句应用。此外,还介绍了如何根据输入字符类型执行不同的操作,包括大小写转换、数字平方等。文章最后展示了如何使用switch和try语句处理复杂逻辑和异常情况。
6821

被折叠的 条评论
为什么被折叠?



