最近博主在使用MAT分析堆转储文件的时候,发现了对象的直方图中有如下两项。Shallow Heap 和 Retained Heap分别表示浅堆和深堆。

那么究竟什么是对象的浅堆大小和深堆大小呢?我觉着首先我们应该有一个前提知识,一个对象本身的大小该如何计算?
对象占用堆内存的计算
假设下面有这样一个类。

如果我们创建这个类的实例,那么对象占用了多大的堆内存呢?在Hotspot 64位虚拟机而言,答案是:32字节。
大家可以先自己尝试着算一下,看看能否得出正确的答案。
一个对象占用的内存大小可以分为下面三部分:
- 对象头
- 对象成员占用内存
- 内存对齐
首先看来对象头:对象头主要分为三部分:
运行时元数据:这个主要保存了对象的哈希值、GC分代年龄、锁信息等等占用8个字节。
类型指针:指向方法区该类的Klass(对,你没看错就是klass,具体是什么大家有兴趣下去自行了解)
数组长度:如果当前对象是数组类型的,那么还会拥有4字节的数组长度
那么对象头的大小=8 + 指针大小 + [4:如果是数组的话]
为什么这里没有具体指出指针大小呢,指针不是4个字节吗?错!看下图


上面两张图实际说明了,在内存小于32G的情况下,我们默认采用了压缩指针,指针长度为32位。我们也可以禁用压缩指针,那么指针长度将为64位。
一般我们个人开发的情况下,内存基本都小于32G,所以我们可以认为普通对象的对象头大小为12字节,数组为16字节。
看完了对象头的大小,我们再来看看成员变量占用的内存,相信大家已经比较熟了,这里直接给出答案

那么我们的对象头 + 成员变量大小 = 12 + 4 + 4 + 4 + 1 =25Byte
还剩最后一个,内存对齐(这是个什么鬼??)哈哈其实简单的说就是JVM要求我们的对象的内存占用必须是8字节的整数倍,例如8 字节、16字节、24字节。。。等等。
至于为什么要是8字节的整数倍,博主没有找到明确的官方资料,但是可以从一下两个角度简单分析一下:
1.为什么内存占用要是 n 的整数倍?
2.为什么是 8 的整数倍?
哈哈哈有的小伙伴可能疑惑了,这不是一个问题吗?实则不然,第一个问题是为什么要求内存分配是规整的,第二个是这个规整的数字为什么是8.以下是博主个人想法,仅供参考
第一个问题:内存规整方便我们的指针移动和定位。每次固定都是移动n的倍数,不用具体计算到底移动多少
第二个问题:8字节,64位,我们现在的虚拟机字长大多都是64位的,我们读取整个对象的信息刚好读取固定次数就能读完,而不用我们读了n次了,但是还剩下4字节的数据没读取到,这时就得多读取一次。因此这样能提高我们程序的执行效率。
所以综上,我们对象的大小 = 32字节 = 12 + (4 + 4 + 4 + 1) + 7
对象内存占用分析完了之后,我们就可以来说浅堆和深堆的大小了。
浅堆:实际上就是上面我们分析的对象大小(惊喜吧!!!),浅堆就是我们对象本身占用的大小。
然后深堆呢,深堆的概念首先还会涉及到一个保留集的概念。
保留集:对象A的保留集指当对象A被垃圾回收后,可以被释放的所有的对象集合(包括对象A本身),即对象A的保留集可以被认为是只能通过对象A被直接或间接访问到的所有对象的集合。通俗地说,就是指仅被对象A所持有的对象的集合。
深堆:深堆是指对象的保留集中所有的对象的浅堆大小之和。
看到这里是不是有点懵逼呢,什么是只能通过A访问到的对象集合,实际上简单的说,对象A的深堆就是,当对象A被GC时,所能释放的总空间大小。
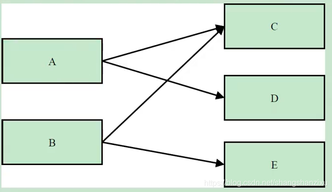
下面举一个例子说明 浅堆和深堆。

对象A的浅堆就是对象A本身,对象A 的深堆 = 对象A + 对象D(因为对象C还被其他对象引用了)
对象B的浅堆就是对象B本身,对象B的深堆 = 对象B + 对象E
本文详细解析了Java对象在堆内存中的占用情况,介绍了如何计算对象的实际大小,包括对象头、成员变量及内存对齐等内容,并解释了浅堆与深堆的概念。
171万+





