java-springboot停车场管理系统 基于SpringBoot的智慧停车场综合运营平台 Java+SpringBoot打造的车位资源可视化管控系统计算机毕业设计

java-springboot停车场管理系统o12fe6jr计算机毕业设计(配套有源码 程序 mysql数据库 论文)
本套源码可以在文本联xi,先看具体系统功能演示视频领取,可分享源码参考。

城市扩张,车潮汹涌,“一位难求”已成日常。把栏杆、摄像头、地磁、二维码统统装进一台服务器,让数据代替人工奔跑,就成了这套“Java-SpringBoot停车场管理系统”诞生的理由。它用代码划车位、用算法算费用、用云端记账单,目标是让车流畅起来,让管理轻下来,让车主再也不用兜圈找位。

系统把停车场拆成数字积木,功能全部摊开如下:

  • 车位档案:编号、名称、类型、状态、封面、小时价、简介、点赞、收藏、评论

  • 车位预约:车牌号、车牌照片、入场时间、车辆状态、预约订单

  • 车辆出场:自动计算停车时长、小时价格、总费用、电子票据、支付状态

  • 违规举报与处理:事项、内容、图片、举报时间、处理结果、处理时间

  • 车辆引导:出发地、目的地、推荐路线、推荐原因、详细说明、推荐时间

  • 安全巡检:设备档案、巡检时间、故障缺陷、巡检记录、处理结果

  • 公告与系统简介:分类、标题、副标题、图文内容、点击、点赞、收藏

  • 个人中心:信息维护、密码修改、我的预约、我的出场记录、我的举报、我的收藏

  • 后台运营:用户、工作人员、车位类型、车位、预约、出场、举报、处理、引导、巡检、公告、系统配置、轮播图,一站式增删改查与审核

从入场识别到出场缴费,从违规拍照到巡检打卡,所有环节被一条数据链串起;车位状态实时刷新,费用结算秒级同步,引导路线自动推送,巡检记录图文留存。一张大屏即可总览全场,一部手机就能完成全流程——停车场被浓缩成几行代码,却装得下整座城市的速度与秩序。

注:以上是纯课题毕业设计功能介绍,并非实际开发完成,最终开发完成的毕业设计程序以下面的的环境软件、功能图和界面为准。

系统所需要的环境软件:idea、eclipse+mysql5.7、8.0+Navicat+JDK1.8+tomcat7.0

第3章  系统分析

为满足用户的需求,本章分析系统开发的可行性,将从技术和操作等方面来判断,然后通过需求分析、系统流程分析来确定停车场管理系统的功能[7]

3.1 技术可行性分析

停车场管理系统在使用电脑和信息分析系统这些设计没有硬性要求,电脑只要是可以正常使用的话,那么代码和页面设计就是可行的。要求高的主要是服务器,平台上传服务器一定要选择性价比高和安全性高的,打开网站一定要顺滑不卡顿,所以硬件也是可行的[8]

3.2  操作可行性分析

将根据管理系统中的用户体验和管理员的效率来分析该措施的可行性。管理员、用户和工作人员都可以通过简单的操作登录进对应的系统页面,方便用户查询业务信息和管理人员管理数据,不需要特别懂电脑的人也可以轻松访问系统模块。该系统已完全投入使用[9]

所以,从以上可行性分析可得,本系统的开发使没有问题的

3.3 需求分析

停车场管理系统是为了提高用户查阅信息的效率和管理人员管理信息的工作效率,可以快速存储大量数据,还有信息检索功能,这大大的满足了用户、工作人员和管理员这者的需求。操作简单易懂,合理分析各个模块的功能,尽可能优化界面,让用户、工作人员和管理员能使用环境更好的系统[10]

对比要实现的功能来分析出用户的需求,可以让用户权限内在线对其进行添加、修改、查看、删除,这不仅满足了用户的需求,还大大的节省了时间。因此,管理员的需求也应当考虑一下,尽可能提高管理员的工作效率。

3.4 项目设计目标

本系统采用Mysql数据库java语言,SpringBoot框架进行开发而成极大程度上的保证了系统的稳定性

3.4.1 关于系统的基本要求

(1)功能要求:管理人员可以管理自己的工作人员、用户、车位信息、车位预约、车辆出场、违规举报、违规处理、车辆引导、安全巡检信息进行管理。

(2)性能:可以准确无误的在不同的操作系统中登录到用户、工作人员和管理员的相应界面进行轻松的操作。

3)环境要求:支持不同的操纵系统和不同的平台,可用于Windows系列、Vista系统等多种操作系统[11]

3.4.2开发目标

停车场管理系统的主要开发目标如下:

1减少后台管理人员的工作量,对用户的信息进行系统的管理;

2必须要方便快捷的查看查询信息并管理信息;

3用户是具有多样性的,所以界面要设置的简单明了,操作更要方便快捷。

3.5系统用例图

本次系统的用例图做出了十分明确的功能划分,在设计时可以有很好的设计思路进行设计和延展。

1用户用例图如下所示:

图3-1用户用例图

2工作人员例图如下所示:

图3-2工作人员用例图

3管理员用例图如下所示:

图3-3管理员用例图

3.6 系统流程分析

系统登录流程图如图所示3-4所示。

图3-4系统登录流程图

用户可以添加自己权限内的信息,管理员可以添加信息,内容没有问题之后按下确定键就添加成功了。添加信息流程图如图3-5所示.

图3-5添加信息流程图

用户可以选择把自己发布的信息删掉,选择要删除的文章确认之后,删除信息的操作就完成了。删除信息流程图如图3-6所示

图3-6删除信息流程图


3.7  本章小结

本章主要是对停车场管理系统的可行性分析和所要实现的功能进行分析,在对一系列的系统可行性分析之后,又详细的讲述了项目的目标与原则,让人们深刻的了解停车场管理系统的设计思想,之后重点对登录模块、添加模块和删除模块的流程进行了详细的图文介绍。


第4章  系统设计

本章主要讲述的是停车场管理系统的设计开发结构,简单介绍了开发流程与数据库设计的原则以及数据表的关系结构图,并且详细的展示了数据表的内部结构信息与属性。

4.1 系统体系结构

系统启动后在登录界面输入正确的账号密码角色,选择进入管理员界面工作人员界面用户界面管理员界面是用来管理页面与系统的所有功能用户界面可以正常的使用,并对车位信息、车辆引导等进行份内的操作,系统登录结构图如图4-1所示。

图4-1 系统登录结构图

管理员模块属于是网站的后台,进入之后有大量的管理员功能,管理员也可以使用用户模块的功能,为了维护网站的稳定与页面的布局,将管理员模块的功能详细化后可以使用系统管理对页面进行布局修改,可以公告信息提示用户规范,用户模块只可以对安全巡检、个人中心等进行查询等,并且更改个人信息停车场管理系统总体结构图如图4-2所示。

图4-2 停车场管理系统总体结构图

4.2  开发流程设计

系统的开发流程设计简单的介绍了开发过程,先对任务书进行分析,根据要实现的功能对各个模块进行开发,之后再对模块一一进行测试,测试成功后将模块整合再测试整体功能,完善整体结构。开发系统流程图如图4-3所示。

图4-3开发系统流程图

4.3  数据库设计原则

数据库设计之后,根据数据库关系,可以更加清晰地了解到数据库结构,每一个数据表之间的关系,再创建数据表。快速更改和查询对应的信息,有了数据库就不用在程序和代码中寻找。

分析停车场管理系统的数据结构后,在E-R图中分析管理员登录时的模式,需要输入用户名与密码,角色,管理员信息E-R如图4-4所示。

图4-4 管理员信息E-R

用户信息E-R图如图4-5所示。

图4-5用户信息E-R

车辆引导E-R图如图4-6所示。

图4-6车辆引导E-R

违规举报E-R图如图4-7所示。

图4-7违规举报E-R

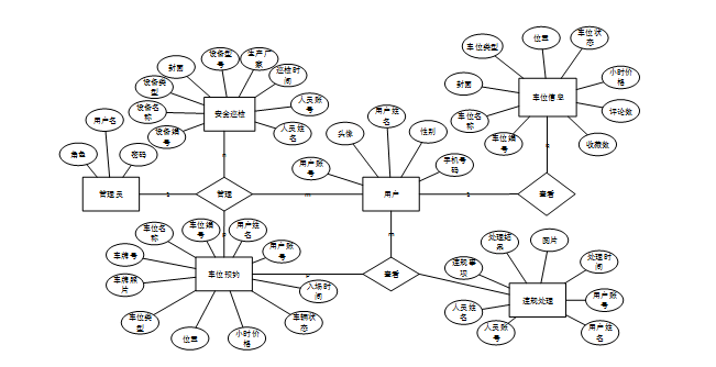
停车场管理系统总体E-R图如图4-8所示。

图4-8停车场管理系统总体E-R

第5章  系统实现

本章讲述的是系统各个模块功能实现的效果图,对管理员功能用户功能和工作人员功能分别进行了展示,页面布局清晰,操作简单快捷,基本实现了对管理员功能用户功能和工作人员功能对系统的需求。

5.1前台用户功能实现

游客打开系统的网址后,首先看到的就是首页界面在这里游客能够看到停车场管理系统导航条显示首页、车位信息、车辆引导、安全巡检、公告信息、个人中心等。系统首页界面如图5-1所示

图5-1 系统首页界面

在注册流程中,用户在Vue前端填写必要信息(如用户名、密码等)并提交。前端将这些信息通过HTTP请求发送到Java后端。后端处理这些信息,检查名是否唯一,并将新用户数据存入MySQL数据库。完成后,后端向前端发送注册成功的确认,前端随后通知用户完成注册。这个过程实现了新用户的数据收集、验证和存储。如图5-2所示。

图5-2 用户注册界面

以下是用户注册代码:

<script> export default { data() { return { ruleForm: { }, pageFlag : '', tableName:"", rules: {}, }; }, mounted(){ this.pageFlag = this.$storage.get("pageFlag"); let table = this.$storage.get("loginTable"); this.tableName = table; }, created() { }, destroyed() { }, methods: { // 获取uuid getUUID () { return new Date().getTime(); }, close(){ this.$router.push({ path: "/login" }); }, yonghutouxiangUploadChange(fileUrls) { this.ruleForm.touxiang = fileUrls; }, // 多级联动参数 // 注册 login() { var url=this.tableName+"/register"; if((!this.ruleForm.yonghuzhanghao) && `yonghu` == this.tableName){ this.$message.error(`用户账号不能为空`); return } if((!this.ruleForm.yonghuxingming) && `yonghu` == this.tableName){ this.$message.error(`用户姓名不能为空`); return } if((!this.ruleForm.mima) && `yonghu` == this.tableName){ this.$message.error(`密码不能为空`); return } if((this.ruleForm.mima!=this.ruleForm.mima2) && `yonghu` == this.tableName){ this.$message.error(`两次密码输入不一致`); return } if(`yonghu` == this.tableName && this.ruleForm.lianxidianhua&&(!this.$validate.isMobile(this.ruleForm.lianxidianhua))){ this.$message.error(`联系电话应输入手机格式`); return } if(this.ruleForm.touxiang!=null) { this.ruleForm.touxiang = this.ruleForm.touxiang.replace(new RegExp(this.$base.url,"g"),""); } this.$http({ url: url, method: "post", data:this.ruleForm }).then(({ data }) => { if (data && data.code === 0) { this.$message({ message: "注册成功", type: "success", duration: 1500, onClose: () => { this.$router.replace({ path: "/login" }); } }); } else { this.$message.error(data.msg); } }); } } };

在登录流程中,用户首先在Vue前端界面输入用户名和密码。这些信息通过HTTP请求发送到Java后端。后端接收请求,通过与MySQL数据库交互验证用户凭证。如果认证成功,后端会返回给前端,允许用户访问系统。这个过程涵盖了从用户输入到系统验证和响应的全过程。如图5-3所示。

图5-3用户登录页面

以下是用户登录代码:

mounted() { let menus = menu.list(); this.menus = menus; for (let i = 0; i < this.menus.length; i++) { if (this.menus[i].hasBackLogin=='是') { this.roles.push(this.menus[i]) } } }, created() { this.getRandCode() }, destroyed() { }, components: { }, methods: { //注册 register(tableName){ this.$storage.set("loginTable", tableName); this.$storage.set("pageFlag", "register"); this.$router.push({path:'/register'}) }, // 登陆 login() { if (!this.rulesForm.username) { this.$message.error("请输入用户名"); return; } if (!this.rulesForm.password) { this.$message.error("请输入密码"); return; } if(this.roles.length>1) { if (!this.rulesForm.role) { this.$message.error("请选择角色"); return; } let menus = this.menus; for (let i = 0; i < menus.length; i++) { if (menus[i].roleName == this.rulesForm.role) { this.tableName = menus[i].tableName; } } } else { this.tableName = this.roles[0].tableName; this.rulesForm.role = this.roles[0].roleName; } this.$http({ url: `${this.tableName}/login?username=${this.rulesForm.username}&password=${this.rulesForm.password}`, method: "post" }).then(({ data }) => { if (data && data.code === 0) { this.$storage.set("Token", data.token); this.$storage.set("role", this.rulesForm.role); this.$storage.set("sessionTable", this.tableName); this.$storage.set("adminName", this.rulesForm.username); this.$router.replace({ path: "/index/" }); } else { this.$message.error(data.msg); } }); }, getRandCode(len = 4){ this.randomString(len) }, randomString(len = 4) { let chars = [ "a", "b", "c", "d", "e", "f", "g", "h", "i", "j", "k", "l", "m", "n", "o", "p", "q", "r", "s", "t", "u", "v", "w", "x", "y", "z", "A", "B", "C", "D", "E", "F", "G", "H", "I", "J", "K", "L", "M", "N", "O", "P", "Q", "R", "S", "T", "U", "V", "W", "X", "Y", "Z", "0", "1", "2", "3", "4", "5", "6", "7", "8", "9" ] let colors = ["0", "1", "2","3", "4", "5", "6", "7", "8", "9", "a", "b", "c", "d", "e", "f"] let sizes = ['14', '15', '16', '17', '18'] let output = []; for (let i = 0; i < len; i++) { // 随机验证码 let key = Math.floor(Math.random()*chars.length) this.codes[i].num = chars[key] // 随机验证码颜色 let code = '#' for (let j = 0; j < 6; j++) { let key = Math.floor(Math.random()*colors.length) code += colors[key] } this.codes[i].color = code // 随机验证码方向 let rotate = Math.floor(Math.random()*60) let plus = Math.floor(Math.random()*2) if(plus == 1) rotate = '-'+rotate this.codes[i].rotate = 'rotate('+rotate+'deg)' // 随机验证码字体大小 let size = Math.floor(Math.random()*sizes.length) this.codes[i].size = sizes[size]+'px' } }, } };

用户点击车位信息页面输入栏填写车位名称进行查询,查看车位编号、车位名称、封面、车位类型、位置、车位状态、小时价格、评论数、收藏数等信息,如果有需要可以进行车位预约、点赞、收藏或者评论等操作,图5-4所示:

图5-4车位信息页面

用户点击车辆引导页面输入栏填写标题进行查询,然后可以查看标题、封面、出发地、目的地、推荐时间、人员账号、人员姓名等信息,图5-5所示:

图5-5车辆引导页面

在个人中心页面可以更新个人详细信息,还可以对修改密码、车位预约、车辆出场、违规举报、违规处理、我的收藏进行详细操作;如5-6所示

5-6个人中心界面

5.2后台管理员功能实现

后台管理员登录,在登录页面选择需要登录的角色,在正确输入用户名和密码后,点击登录操作;如图5-7所示。                               

图5-7后台管理员登录界面

管理员进入主页面,主要功能包括对系统首页、个人中心、工作人员管理、用户管理、车位类型管理、车位信息管理、车位预约管理、车辆出场管理、违规举报管理、违规处理管理、车辆引导管理、安全巡检管理、系统管理等进行操作。管理员主页面如图5-8所示

图5-8管理员主界面

用户信息功能在视图层(view层)进行交互,比如点击“添加”按钮或填写用户信息表单。这些用户信息动作被视图层捕获并作为请求发送给相应的控制器层(control1er层)。控制器接收到这些请求后,调用服务层(service层)以执行相关的业务逻辑,例如验证输入数据的有效性和与数据库的交互。服务层处理完这些逻辑后,进一步与数据访问对象层(DAO层)交互,后者负责具体的数据操作如查询、添加、更新或删除用户信息,并将操作结果返回给控制器。最终,控制器根据这些结果更新视图层,以便用户信息功能可以看到最新的信息或相应的操作反馈。在用户信息页面的输入栏中输入用户账号进行查询,可以查看到用户详细信息,并根据需要进行查询、添加或者删除等操作如图5-9所示:

5-9用户管理界面

工作人员功能在视图层(view层)进行交互,比如点击“添加”按钮或填写工作人员信息表单。这些工作人员动作被视图层捕获并作为请求发送给相应的控制器层(control1er层)。控制器接收到这些请求后,调用服务层(service层)以执行相关的业务逻辑,例如验证输入数据的有效性和与数据库的交互。服务层处理完这些逻辑后,进一步与数据访问对象层(DAO层)交互,后者负责具体的数据操作如查询、添加、更新或删除工作人员,并将操作结果返回给控制器。最终,控制器根据这些结果更新视图层,以便工作人员功能可以看到最新的信息或相应的操作反馈。在工作人员页面的输入栏中输入人员账号进行查询,可以查看到工作人员详细信息,并根据需要进行查询、添加或者删除等操作如图5-10所示:

5-10工作人员管理界面

管理员点击车位信息管理:在车位信息管理页面,可以对车位编号、车位名称、封面、车位类型、位置、车位状态、小时价格、评论数、收藏数等信息,进行查询、添加或者删除车位信息等操作,如图5-11所示:  

5-11车位信息管理界面

管理员点击车位预约管理:在车位预约管理页面,可以对车位编号、车位名称、车牌号、车牌照片、车位类型、位置、小时价格、车辆状态、入场时间、用户账号、用户姓名等信息,进行查询或者删除车位预约等操作,如图5-12所示:

5-12车位预约管理界面

管理员点击违规举报管理:在违规举报管理页面,可以对违规事项、违规备注、图片、用户账号、用户姓名、举报时间、人员账号、人员姓名等信息,进行查询、添加或者删除违规举报等操作,如图5-13所示:

5-13违规举报管理界面

管理员点击违规处理管理:在违规处理管理页面,可以对违规事项、处理结果、图片、处理时间、用户账号、用户姓名、人员账号、人员姓名等信息,进行查询、添加或者删除违规处理等操作,如图5-14所示:

5-14违规处理管理界面

管理员点击车辆引导管理:在车辆引导管理页面,可以对标题、封面、出发地、目的地、推荐时间、人员账号、人员姓名等信息,进行查询、添加或者删除车辆引导等操作,如图5-15所示:

5-15车辆引导管理界面

源码无偿分享,文未领取

评论
添加红包

请填写红包祝福语或标题

红包个数最小为10个

红包金额最低5元

当前余额3.43前往充值 >
需支付:10.00
成就一亿技术人!
领取后你会自动成为博主和红包主的粉丝 规则
hope_wisdom
发出的红包
实付
使用余额支付
点击重新获取
扫码支付
钱包余额 0

抵扣说明:

1.余额是钱包充值的虚拟货币,按照1:1的比例进行支付金额的抵扣。
2.余额无法直接购买下载,可以购买VIP、付费专栏及课程。

余额充值