neural network and deep learning笔记(1)

本书深入浅出地介绍了神经网络及深度学习的基本概念和技术,包括手写数字识别、激活函数选择、网络架构设计等内容,并探讨了梯度下降法等训练算法。此外,还涉及了超参数选择的重要性及反向传播算法的工作原理。

neural network and deep learning 这本书看了陆陆续续看了好几遍了,但每次都会有不一样的收获。

DL领域的paper日新月异。每天都会有非常多新的idea出来,我想。深入阅读经典书籍和paper,一定能够从中发现remian open的问题。从而有不一样的视角。

PS:blog主要摘取书中重要内容简述。

摘要部分

  1. Neural networks, a beautiful biologically-inspired programming paradigm which enables a computer to learn from observational data.
  2. Deep learning, a powerful set of techniques for learning in neural networks.

    CHAPTER 1 Using neural nets to recognize handwritten digits

  3. the neural network uses the examples to automatically infer rules for recognizing handwritten digits.

    这里写图片描写叙述

#

The exact form of active function isn’t so important - what really matters is the shape of the function when plotted.

#

4.The architecture of neural networks

  1. The design of the input and output layers of a neural network is often straightforward, there can be quite an art to the design of the hidden layers. But researchers have developed many design heuristics for the hidden layers, which help people get the behaviour they want out of their nets.

  2. Learning with gradient descent

    1. The aim of our training algorithm will be to minimize the cost C as a function of the weights and biases. We’ll do that using an algorithm known as gradient descent.
    2. Why introduce the quadratic cost? It’s a smooth function of the weights and biases in the network and it turns out to be easy to figure out how to make small changes in the weights and biases so as to get an improvement in the cost.
    3. MSE cost function isn’t the only cost function used in neural network.
    4. 这里写图片描写叙述
    5. 这里写图片描写叙述
    6. Mini batch: SGD randomly picking out a small number m of randomly chosen training inputs;epoch : randomly choose mini-batch and training until we’ve exhausted the training inputs.
    7. 这里写图片描写叙述
  3. Thinking about hyper-parameter choosing
    ”If we were coming to this problem for the first time then there wouldn’t be much in the output to guide us on what to do. We might worry not only about the learning rate, but about every other aspect of our neural network. We might wonder if we’ve initialized the weights and biases in a way that makes it hard for the network to learn? Or maybe we don’t have enough training data to get meaningful learning? Perhaps we haven’t run for enough epochs? Or maybe it’s impossible for a neural network with this architecture to learn to recognize handwritten digits?

    Maybe the learning rate is too low? Or, maybe, the learning rate is too high?

    When you’re coming to a problem for the first time, you’re not always sure.
    The lesson to take away from this is that debugging a neural network is not trivial, and, just as for ordinary programming, there is an art to it. You need to learn that art of debugging in order to get good results from neural networks. More generally, we need to develop heuristics for choosing good hyper-parameters and a good architecture.”

  4. Inspiration from Face detection:
    “The end result is a network which breaks down a very complicated question - does this image show a face or not - into very simple questions answerable at the level of single pixels. It does this through a series of many layers, with early layers answering very simple and specific questions about the input image, and later layers building up a hierarchy of ever more complex and abstract concepts. Networks with this kind of many-layer structure - two or more hidden layers - are called deep neural networks.”

CHAPTER 2 How the backpropagation algorithm works

  1. Backpropagation(BP): a fast algorithm for computing the gradient of the cost function.
    这里写图片描写叙述

  2. For backpropagation to work we need to make two main assumptions about the form of the cost function.

    1. Since what BP let us do is compute the partial derivatives for a single training example,so we need that the cost function can be written as an average over all individual example.
    2. It can be written as a function of the outputs from the neural network.Since y is not something which the neural network learns.
  3. The four fundamental equations behind backpropagation
    这里写图片描写叙述

  4. What’s clever about BP is that it enables us to simultaneously compute all the partial derivatives using just one forward pass through the network, followed by one backward pass through the network.

  5. What indeed the BP do and how someone could ever have discovered BP?

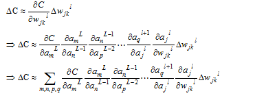
    1. A small perturbations这里写图片描写叙述 will cause a change in the activation,then next and so on all the way through to causing a change in the final layer,and then the cost function.
      这里写图片描写叙述
      A clever way of keeping track of small perturbations to the weights (and biases) as they propagate through the network, reach the output, and then affect the cost.

    2. 这里写图片描写叙述

      (未完待续……)

转载于:https://www.cnblogs.com/llguanli/p/8637867.html

评论
添加红包

请填写红包祝福语或标题

红包个数最小为10个

红包金额最低5元

当前余额3.43前往充值 >
需支付:10.00
成就一亿技术人!
领取后你会自动成为博主和红包主的粉丝 规则
hope_wisdom
发出的红包
实付
使用余额支付
点击重新获取
扫码支付
钱包余额 0

抵扣说明:

1.余额是钱包充值的虚拟货币,按照1:1的比例进行支付金额的抵扣。
2.余额无法直接购买下载,可以购买VIP、付费专栏及课程。

余额充值