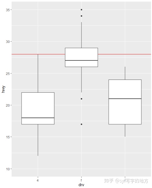
#底图
base <- ggplot(mpg, aes(drv, hwy)) +
#设置一个与中位数(小黑线)作对比,来对照中间那个箱子的中位数大小的红线
geom_hline(yintercept = 28, colour = "red") +
geom_boxplot()
base
#下面有两种方式可以设置y轴的显示范围为10到35,
#其中第一种的效果是局部放大图形,其并不会改变箱线图的形状(实际上意思是虽然显示出的y轴范围是10到35,但使用的数据并不局限于10到35,而是全部的数据),
#因此箱线图中显示中位数的那个红线与底图还是一样的(还是在y值等于28处)
base + coord_cartesian(ylim = c(10, 35))
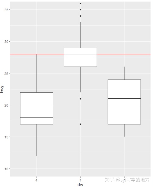
#下面的这种方式则不会放大图形,而是只使用10到35范围内y值大小的数据重新绘制箱线图,因此,使用的数据变了,表示中位数的小黑线的位置也就与红线(y=28)不重叠了。
base + ylim(10, 35)
#中间箱子的中位数(小黑线跑到红线下面了)
739

被折叠的 条评论
为什么被折叠?



