本文分别分析bg反馈极性、失调电压、bg结构对比、零温漂的电流源、bgv电压值的大小、以及影响bgv温度曲线的因素,以及优化设计办法
一、带隙基准反馈极性分析:
1.1
原理图一:
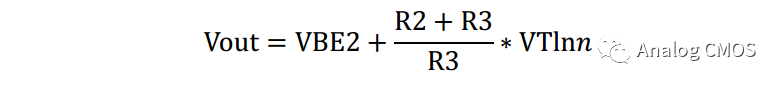
输出电压:
我们知道对于上图的pnp二极管接法,向下看的输入阻抗是1/gm,那么对于Q1和Q2他们个数不同,电流相同的情况下,输入阻抗一样吗?换句话说:
对于三极管的gm表示方式:
因为两个pnp的电流一样,所以根数上式,可以得到:
gm1=gm2也就是:(为了方便,把PNP的输入阻抗表示成RQ)
主要来分析一下电路的反馈: 反馈信号从输出端反馈回两个输入端 A 和 B反馈类型是:
电压-电压反馈
由于前馈通道的绝对值一样,所以直接比较正反馈因子和负反馈因子,来分析反馈极性
负反馈因子:
正反馈因子:
观察βn和βp,两个分式的分母在同一个量级,而分子:
RQ <所以:
βn<
也就是说这个bg结构含有两个反馈环路,一个是正反馈一个是负反馈,负反馈的环路增益大于正反馈,所以整个系统还是负反馈。
下面我们来看看另外一个比较常见的bg结构
1.2 原理图二:
输出电压:
反馈类型判断:反馈量是电流,电流乘以如图的Req得到电压(VA、VB)作为运算放大器的输入,所以反馈类型是:
电流—电压反馈
正确接法
环路增益计算:
错误接法
环路益计算:
1.3 原理图三:
(哪?????个对?????)
对于图3:
输出电压:
反馈类型判断:由于反馈量是电流,电流乘以 Req 得到电压作为输入,所以反馈类型是
电流-电压反馈
正确环路
增益计算:
错误环路
增益计算:
总结:以上三种或者说两种Bandgap Voltage电路,有
两个反馈环路(正反馈环路、负反馈环路),我们需要注意分析电路的结构,设置正确的偏置方法,在反馈类型上确定电路的稳定。各位看官,帮我点个
“在看”
输出电压:
我们知道对于上图的pnp二极管接法,向下看的输入阻抗是1/gm,那么对于Q1和Q2他们个数不同,电流相同的情况下,输入阻抗一样吗?换句话说:
对于三极管的gm表示方式:
因为两个pnp的电流一样,所以根数上式,可以得到:
gm1=gm2也就是:(为了方便,把PNP的输入阻抗表示成RQ)
主要来分析一下电路的反馈: 反馈信号从输出端反馈回两个输入端 A 和 B反馈类型是:
电压-电压反馈
由于前馈通道的绝对值一样,所以直接比较正反馈因子和负反馈因子,来分析反馈极性
负反馈因子:
正反馈因子:
观察βn和βp,两个分式的分母在同一个量级,而分子:
RQ <所以:
βn<
也就是说这个bg结构含有两个反馈环路,一个是正反馈一个是负反馈,负反馈的环路增益大于正反馈,所以整个系统还是负反馈。
下面我们来看看另外一个比较常见的bg结构
1.2 原理图二:
输出电压:
反馈类型判断:反馈量是电流,电流乘以如图的Req得到电压(VA、VB)作为运算放大器的输入,所以反馈类型是:
电流—电压反馈
正确接法
环路增益计算:
错误接法
环路益计算:
1.3 原理图三:
(哪?????个对?????)
对于图3:
输出电压:
反馈类型判断:由于反馈量是电流,电流乘以 Req 得到电压作为输入,所以反馈类型是
电流-电压反馈
正确环路
增益计算:
错误环路
增益计算:
总结:以上三种或者说两种Bandgap Voltage电路,有
两个反馈环路(正反馈环路、负反馈环路),我们需要注意分析电路的结构,设置正确的偏置方法,在反馈类型上确定电路的稳定。各位看官,帮我点个
“在看”
1827

被折叠的 条评论
为什么被折叠?



