二叉树的下一个结点
题目
给定一个二叉树和其中的一个结点,请找出中序遍历顺序的下一个结点并且返回。注意,树中的结点不仅包含左右子结点,同时包含指向父结点的指针。
思路
这道题思路捋清楚,还是很简单的。

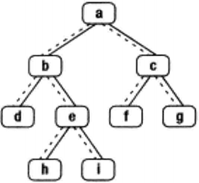
我们以上图为例进行讲解,上图二叉树的中序遍历是d,b,h,e,i,a,f,c,g。我们以这棵树为例来分析如何找出二叉树的下一个结点。
如果一个结点有右子树,那么它的下一个结点就是它的右子树的最左子结点。也就是说从右子结点出发一直沿着指向左子树结点的指针,我们就能找到它的下一个结点。例如,图中结点b的下一个结点是h,结点a的下一个结点是f。
接着我们分析一下结点没有右子树的情形。如果结点是它父结点的左子结点,那么它的下一个结点就是它的父结点。例如,途中结点d的下一个结点是b,f的下一个结点是c。
如果一个结点既没有右子树,并且它还是父结点的右子结点,这种情形就比较复杂。我们可以沿着指向父结点的指针一直向上遍历,直到找到一个是它父结点的左子结点的结点。如果这样的结点存在,那么这个结点的父结点就是我们要找的下一个结点。例如,为了找到结点g的下一个结点,我们沿着指向父结点的指针向上遍历,先到达结点c。由于结点c是父结点a的右结点,我们继续向上遍历到达结点a。由于结点a是树的根结点。它没有父结点。因此结点g没有下一个结点。
牛客网通过代码
public class Solution {
public TreeLinkNode GetNext(TreeLinkNode pNode)
{
if (pNode == null) {
System.out.print("结点为null ");
return null;
}
if (pNode.right != null) {
pNode = pNode.right;
while(pNode.left!=null)
pNode=pNode.left;
return pNode;
}
while(pNode.next !=null){
if(pNode==pNode.next .left)
return pNode.next;
pNode=pNode.next;
}
return null;
}
}
代码
public class GetNext {
public static void main(String[] args) {
// 1
// 2 3
// 4 5 6 7
// 8 9 10 11 12 13 14 15
TreeNode n1 = new TreeNode(1); // 12
TreeNode n2 = new TreeNode(2); // 10
TreeNode n3 = new TreeNode(3); // 14
TreeNode n4 = new TreeNode(4); // 9
TreeNode n5 = new TreeNode(5); // 11
TreeNode n6 = new TreeNode(6); // 13
TreeNode n7 = new TreeNode(7); // 15
TreeNode n8 = new TreeNode(8); // 4
TreeNode n9 = new TreeNode(9); // 2
TreeNode n10 = new TreeNode(10); // 5
TreeNode n11 = new TreeNode(11); // 1
TreeNode n12 = new TreeNode(12); // 6
TreeNode n13 = new TreeNode(13); // 3
TreeNode n14 = new TreeNode(14); // 7
TreeNode n15 = new TreeNode(15); // null
assemble(n1, n2, n3, null);
assemble(n2, n4, n5, n1);
assemble(n3, n6, n7, n1);
assemble(n4, n8, n9, n2);
assemble(n5, n10, n11, n2);
assemble(n6, n12, n13, n3);
assemble(n7, n14, n15, n3);
assemble(n8, null, null, n4);
assemble(n9, null, null, n4);
assemble(n10, null, null, n5);
assemble(n11, null, null, n5);
assemble(n12, null, null, n6);
assemble(n13, null, null, n6);
assemble(n14, null, null, n7);
assemble(n15, null, null, n7);
System.out.println("1" +"->"+ getNext(n1));
System.out.println("2" + "->"+ getNext(n2));
System.out.println("3" + "->"+ getNext(n3));
System.out.println("4" + "->"+ getNext(n4));
System.out.println("5" +"->"+ getNext(n5));
System.out.println("6" + "->"+ getNext(n6));
System.out.println("7" + "->"+ getNext(n7));
System.out.println("8" +"->"+ getNext(n8));
System.out.println("9" +"->"+ getNext(n9));
System.out.println("10" +"->"+ getNext(n10));
System.out.println("11" +"->"+ getNext(n11));
System.out.println("12" +"->"+ getNext(n12));
System.out.println("13" +"->"+ getNext(n13));
System.out.println("14" + "->"+ getNext(n14));
System.out.println("15" +"->"+ getNext(n15));
}
private static void assemble(TreeNode node,
TreeNode left,
TreeNode right,
TreeNode parent) {
node.left = left;
node.right = right;
node.parent = parent;
}
public static TreeNode getNext(TreeNode pNode)
{
if(pNode == null){
return null;
}
// 保存要查找的下一个节点
TreeNode target = null;
if (pNode.right != null) {
target = pNode.right;
while (target.left != null) {
target = target.left;
}
return target;
} else if (pNode.parent != null){
target = pNode.parent;
TreeNode cur = pNode;
// 如果父新结点不为空,并且,子结点不是父结点的左孩子
while (target != null && target.left != cur) {
cur = target;
target = target.parent;
}
return target;
}
return null;
}
}
class TreeNode {
String val;
TreeNode left = null;
TreeNode right = null;
TreeNode father = null;
public TreeNode(String val) {
this.val = val;
}
}
public class NextNode {
public static void main(String[] args) {
TreeNode t1 = new TreeNode("A");
TreeNode t2 = new TreeNode("B");
TreeNode t3 = new TreeNode("C");
TreeNode t4 = new TreeNode("D");
TreeNode t5 = new TreeNode("E");
TreeNode t6 = new TreeNode("F");
TreeNode t7 = new TreeNode("G");
TreeNode t8 = new TreeNode("H");
TreeNode t9 = new TreeNode("I");
t1.left = t2;
t1.right = t3;
t2.father = t1;
t2.left = t4;
t2.right = t5;
t3.father = t1;
t3.left = t6;
t3.right = t7;
t4.father = t2;
t5.father = t2;
t5.left = t8;
t5.right = t9;
t6.father = t3;
t7.father = t3;
t8.father = t5;
t9.father = t5;
System.out.println("中序遍历结果:");
printTree(t1);
System.out.println();
TreeNode serch = t1;
String string = getNext(serch);
System.out.println(serch.val + "后面的是:" + string);
}
public static void printTree(TreeNode root) {
if (root != null) {
printTree(root.left);
System.out.print(root.val + " ");
printTree(root.right);
}
}
private static String getNext(TreeNode tree) {
// TODO Auto-generated method stub
// 如果有右孩子,则下一个节点是右孩子中最左子节点
TreeNode temp;
if (tree.right != null) {
temp = tree.right;
while (temp.left != null) {
temp = temp.left;
}
return temp.val;
}
// 节点是其父节点的左子节点,则下一个节点就是父节点(节点没有右孩子)
if (tree.father != null && tree.father.left == tree) {
return tree.father.val;
}
// 如果节点是父节点的右子节点(节点没有右孩子),下一个节点:父节点是其父节点的左孩子
if (tree.father != null && tree.father.right == tree) {
temp = tree.father;
while (temp != null) {
if (temp.father.left == temp) {
return temp.father.val;
}
temp = temp.father;
}
// 最后没找到的话 就说明这是最后一个,不存在他的下一个了
}
return null;
}
}

1668

被折叠的 条评论
为什么被折叠?



