我的疑问点是:为什么其他进制按权展开就直接是10进制??
简单的一句话就是因为的你的权项结果 是用10进制表示
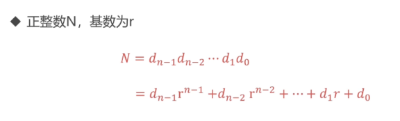
下面开始详解:

我们以 11111 为例子:
转为10进制的时候:1x24+1x23+1x22+1x21+1x20 = 31
16+8+4+2+1 = 15
其中16+8+4+2+1的过程已经使用了十进制
如果我们直接同八进制替换
16 = 20
8=10
4=4
2=2
1=2
1111转为8进制 20+10+4+2+1 = 37

用相同的方法 将十进制的115转为2进制的时候也能转
115 = 1x102+1x101+5x100
1010x1010 + 1010 +101 = 1110011

1010x1010的二进制计算
实际就是在于当你使用什么进制来表示这个数。那么的你基数你的权 也都要是这个进制的数。
本文揭示了进制转换中为何其他进制如八进制和二进制展开后直接等于十进制,强调了权值表达方式的重要性。通过实例说明了从八进制到十进制的计算过程,并解释了不同进制之间的转换原理。
2万+

被折叠的 条评论
为什么被折叠?



