题意
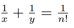
输入n,求有多少对正整数x,y,满足

Analysis
设n!=z,y=z+d
1/x+1/y=1/z
1/x+1/(z+d)=1/z
(x+z+d)/(xz+dx)=1/z
z(x+z+d)=xz+dx
z^2+dz=dx
x=z^2/d+z
发现就是求z^2的约数个数
( – By hzwer)
Code
#include<bits/stdc++.h>
#define P 1000000007
#define N 1000009
#define ll long long
using namespace std;
int n,pri[N],num=0,mn[N];
ll t[N];
bool mark[N];
void prime(){
for(int i=2;i<=n;++i){
if(!mark[i]) pri[++num]=i,mn[i]=num;
for(int j=1;j<=num&&pri[j]*i<=n;++j){
mark[i*pri[j]]=1;mn[i*pri[j]]=j;
if(i%pri[j]==0) break;
}
}
}
void calc(int x){
while(x!=1){
t[mn[x]]++;
x/=pri[mn[x]];
}
}
int main(){
scanf("%d",&n);
prime();
int i,j;
for(i=2;i<=n;++i) calc(i);
ll ans=1;
for(i=1;i<=num;++i){
ans=(ans*(t[i]*2+1))%P;//加1是因为还可以算这个质因数一个都不取
}
cout<<ans;
return 0;
}

1390

被折叠的 条评论
为什么被折叠?



