双线性插值的核心思想:将二维插值拆解为 “沿 X 轴的一维线性插值” 和 “沿 Y 轴的一维线性插值” 两步,最终通过代数运算合并得到统一公式。
一、一维线性插值

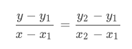
若已知两点 (x1,y1) 和 (x2,y2),对任意点 x∈[x1,x2] 求y值,则根据两点求直线 斜率相同,得

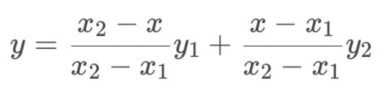
整理成如下格式,得任意点的y值为:

(本质是 “加权平均”,权重与点到端点的距离成反比)
二、二维线性插值
- 已知矩形网格的 4 个顶点坐标及对应的 Q 值:
左上角 A(X0,Y0,Q00)、右上角 B(X1,Y0,Q10)、左下角 C(X0,Y1,Q01)、右下角 D(X1,Y1,Q11); - 目标:求网格内部任意点 P(X,Y) 的 Q 值 Q(X,Y)。
第一步:沿 X 轴方向,固定 Y=Y₀和 Y=Y₁分别做一维线性插值
将一维线性插值公式应用到二维网格的 X 方向:
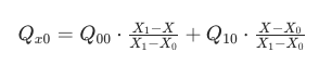
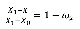
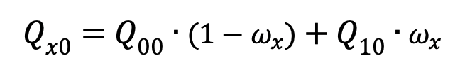
1. 固定 Y=Y₀(上边缘 A-B):求点 E(X,Y0) 的 Q 值 Qx0
此时 x 的范围是 [X0,X1],已知 A (X₀,Y₀,Q₀₀) 和 B (X₁,Y₀,Q₁₀),代入一维公式:

为简化书写,定义X 方向权重系数:
,则
,公式可改写为:
(1)
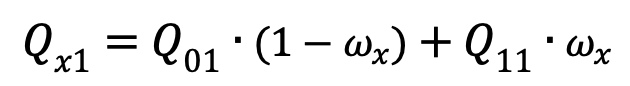
2.固定 Y=Y₁(下边缘 C-D):求点 F(X,Y1) 的 Q 值 Qx1(注:F和E的X值相同)
同理,已知 C (X₀,Y₁,Q₀₁) 和 D (X₁,Y₁,Q₁₁),代入一维公式并引入相同的
:
(2)
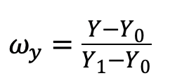
第二步:沿 Y 轴方向,固定 X,对 Qx0和 QX1做一维线性插值
已得 “同一竖直线 X 上、Y₀和 Y₁两个高度” 的 Q 值(Qx0和Qx1);接下来利用E、F点的Q值沿 Y 轴插值,即可得到目标点 P (X,Y) 的 Q 值。
首先定义Y 方向权重系数:
,则
。
对 Qx0(Y=Y₀)和 Qx1(Y=Y₁)应用一维线性插值公式:
(3)
第三步:合并公式,得到双线性插值的最终形式
将式 (1) 和式 (2) 代入式 (3),展开:

即为双线性插值的加权平均形式——目标点的Q值是4个顶点Q值的加权和,权重由点P到各顶点的相对位置决定(权重系数
,
∈[0,1],确保插值结果在4个顶点Q值的范围内)。
若进一步将
、
代入,可展开为含X、Y的多项式形式:
![]()
其中 a,b,c,d 是由4个系数,可由顶点坐标和Q值确定。(类似一维线性插值y=kx+b的k和b可由2点确定)
三、利用双线性插值公式,及克莱姆法则解线性方程组
如上述,网格内 Q 值随 X、Y 坐标的变化遵循 “双线性函数关系”,即 可令Q (X,Y) 表示为一个包含 X、Y 线性项及交叉项的二元函数:
![]()
a,b,c,d 为4个待求系数,将4个网格顶点的坐标和Q值代入可得4个方程,写成矩阵
的形式即:

其中4个已知的网格顶点坐标是(X1,Y1) (X2,Y2) (X3,Y3) (X4,Y4),4个点的Q值分别是Q1, Q2, Q3, Q4。
利用克莱姆法则求解:
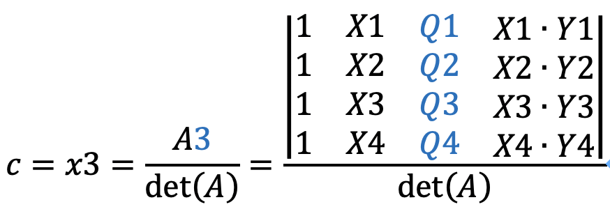
先计算矩阵A的行列式为

克莱姆法则:若线性方程组
的系数矩阵
可逆(非奇异),即系数行列式 det(A)≠0,则线性方程组有唯一解,其解为

其中
是把
中第
列元素对应地换成常数项(
的
)而其余各列保持不变所得到的行列式。
因此可直接得




得到了a,b,c,d则函数已知
,带入任意(X,Y)即可得到该点的值Q(X,Y)。

4887

被折叠的 条评论
为什么被折叠?



