前序遍历
先访问根结点,然后前序遍历左子树,再前序遍历右子树(根左右)。
在这里我用最小完全二叉树表示最简单明了:

中序遍历
中序遍历跟结点的左子树,然后是访问根结点,最后遍历右子树(左根右)。
还是按照最小完全二叉树来表示:

后序遍历
从左到右先叶子后结点的方式遍历访问左右子树,最后访问根结点(左右根)。
在这里我依旧使用最小完全二叉树来表示:

最后,依照最小完全二叉树图我们得出总结:
前序遍历:213
中序遍历:123
后序遍历:132
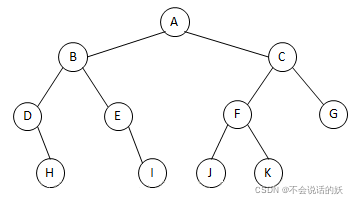
再拓展到多节点二叉树:

先序遍历 : A B D H E I C F J K G
中序遍历 : D H B E I A J F K C G
后序遍历 : H D I E B J K F G C A
本文介绍了二叉树的三种遍历方法:前序遍历(213)、中序遍历(123)和后序遍历(132),并以最小完全二叉树为例进行了详细说明。此外,还给出了多节点二叉树的遍历实例,如先序遍历(ABDHEICFJKG)、中序遍历(DHBEIAJFKCG)和后序遍历(HDIEBJKFGCA)。
3万+

被折叠的 条评论
为什么被折叠?



