2020年美赛A题
问题概述

翻译成中文(谷歌)
"树上的叶子重多少?如何估计树叶的实际重量(或树的其他部分)?如何对树叶进行分类?构建一个数学模型来描述和分类树叶。考虑并回答以下问题:
• 为什么叶子有各种形状?
• 形状是否"最小化"所投射的重叠单个阴影,以便最大化曝光?树叶及其树枝的"体积"内的分布是否影响形状?
• 说到轮廓,叶形状(一般特征)是否与树轮廓/分支结构有关?
• 您如何估计树的叶质量?叶质量与树的大小特征(高度、质量、轮廓定义的体积)之间是否有相关性?
除了一页摘要外,还准备一页信给科学期刊的编辑,概述您的主要发现。
论文分析
上海外国语学院。

分析问题确定要建立的模型
(1)建立模型一的目的就是要处理叶子的分类。所谓叶子的分类的最主要依据就是叶子的形状,他们用了7个参数来描述叶子的分类。然后用六种常见的叶子构成了数据库,然后的目的就是要将待分类的叶子的数据与数据库中的各种叶子的数据作比较,然后便可以得出叶子的分类。
(2)然后他们建立模型二是为了研究叶子的形状与叶子在树上的分布之间的关系的。他们通过考虑不同太阳高度下的叶片长度和叶间长度之间的关系,分析重叠的叶片阴影。
(3)建立模型四为了讨论树木的轮廓和叶子形状之间的可能的关联。根据叶脉和树枝结构的相似性两者之间存在二维近似的关系。他们用几个参数来描述树的形状,并且将这些参数与描述叶子的形状之间的参数作比较,来讨论树木的轮廓与叶子形状之间的关系。
(4)建立模型四来估计已有尺寸的数目的叶子的总质量。引入二氧化碳固碳率和树龄来建立树叶质量和树木大小之间的联系。
引言部分

引言部分他们阐述了要用数学模型的方式来揭开树的神秘面纱。(语句优美)
问题的分解
将问题分解之后可以将问题具体化,便于我们针对某一具体的问题建立模型并求解。


问题的假设
由于我们不可能说完全考虑到任何一种因素对树木上树叶的形状,树叶总质量等因变量产生的影响,所以我们必须要作出假设,让我们只是研究较为重要的一点或者几点对因变量造成的影响。

合理的假设可以简化模型,从而反映模型的本质问题,如果过多考虑次要因素会使模型的建立难度加大,理论和实际问题总是存在差距,这是不可避免的。所有理论模型都是错误的,但所有理论模型又是有用的。避免了一些人为的不可控的因素,合理的假设可以让我们的理论更严谨,更有代表性。
符号
便于读者读懂文章。

模型一:叶子的分类
他们为了将任意一片树叶都可以用他们建立的模型求解出来,他们设置了一组参数,并且建立数据集以来比较待分类树叶。他们用了7个参数。







根据他们所定义的参数可知,在确定模拟量的时候要确保它们的严谨性,尽量将所有有可能的因素都考虑出来。

给出具体的图样可以将我们的参数所描述的问题具体化。

六种树叶类型的树叶的各种数据


我们要进行分类要用到层次分析法来确定权重。上述矩阵由专家给出。用到的层次分析法中的统一的一个表。
将上述的倒数矩阵带入代码中可以得到下表。

代码在附录中给出。
接下来给出了一致性检验来检验给出的权重是合理的


将样本与给出的各个参数进行对比,可以得到预处理得到的图如上(matlab中的对图片的处理的的作用)。


最后他们给他们所建立的模型做出了总结,他们得到了他们的模型较为可靠,但是由于只是针对了北美地区的树叶的形状的模型,所以仍有改进的空间。
模型二:叶子形状与叶子分布之间的关系
给出模型的介绍。

简单的光洒在树叶上的模型如下:

我们已经知到,上图的夹角与数目所在的纬度,当天的时间,季节等因素有关。我们研究的主要是形状与位置的关系。所以研究的关键点并不是最上面一层的树叶,而是除了最上面一层的其他的树叶。而且树叶在树上的位置主要影响的就是光照的面积。所以他们假设其他的变量均不变,给建立模型提供了便利。


用赤道附近,热带内的树叶的形状分析可以得到无法吸收光能的下层树叶将不再生存。接下来寒带的树叶形状从反面角度巩固了这一观点。


控制面积这个变量不变,也是为了研究形状更简单。

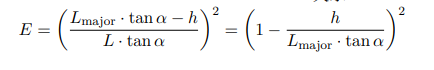
不遮蔽下叶的图中的两树叶的间距就是上图所说的h0


他们得到了公式来描述Lmajor和被遮挡率E的关系


他们由南北极和赤道附近的热带地区得到的数目的形状与该图相符,那么他们为了模型求解的严密性,他们有选取了多个纬度不是特殊情况的树木进行了探究。
结果:

肯定模型以及求解的正确性。
模型三:叶形与树形之间存在的联系


由于树的大致形状可以由树的横截面旋转180°得到,所以他们将原本是三维的树转化成了二维的模型,由此得到的二维模型与叶子的二维模型位于同一维度,更便于模型的建立。

他们查阅资料得到以下五组树和树叶的照片。

他们有选取的树的横截面的三个参数来比较该树的树叶的参数,观察有无具体关系。(回归型检验)


模型四:估算树的叶子的质量

可以用来描述形状和大小特征的树的参数可以认为是树的类型和树的年龄。他们认为只是靠这两个参数还是很难估算出叶子的总质量,他们还认为质量的大小与该树对二氧化碳的吸收量有很大的关系。

针叶类型的树和阔叶类型的树的差距(吸收二氧化碳的能力)。

他们很巧妙的将树的叶子的全部质量这个不可量值转化为了便于测量的树对二氧化碳的吸收量这个便于查询和测量的值。

给出数据来源,使模型的求解结果更加权威。

有查询的数据画出了不同的两种树对二氧化碳吸收能力的图,明显的得到,树龄越高,对二氧化碳的吸收能力就越强,所以叶子的质量也就越大。



随着树龄的不同,树叶的质量与时间的增量也不同。

分析模型优缺点
最后要分析模型的优缺点。


对他们的数据和公式等参照注明来源

1043

被折叠的 条评论
为什么被折叠?



