acwing-869-试除法求约数
题意
给你n个正整数ai,对于每个整数ai,将每个数分解质因数,并按照质因数从小到大的顺序输出每个质因数的底数和指数。
输入
第一行包含整数n,
接下来n行,每行包含一个整数ai。
输出
对于每个正整数ai,从小到大的输出其分解质因数后,每个质因数的底数和指数,每个底数和指数占一行。
数据范围1<n<100;
2<=ai<=2*10e9;
输入样例
2
6
8
输出样例
2 1
3 1
2 3
解题思路
我们可以用试除法来解决,i从2开始试除,如果说可以被我的x整除,那么i一定就是质数,为什么呢?因为枚举到i时,i之前的所有的质因子都已经除完了,因此,i中不可能还含有i之前的质因子,因此i就一定是n的一个质因子。于是我们通过枚举试除就可以求出n所有的质因子咯。
如何优化
我们刚才的思路是让i从2开始一直枚举到n,因此时间复杂度为O(n)的,但是我们知道任意的一个数一定有且仅有一个大于n\sqrt{n}n的质因子,同样的,当我们除到n\sqrt{n}n的时候,n\sqrt{n}n之前的质因子已经除完了,这个时候小于或等于n\sqrt{n}n且与它最近的一个数也被除掉了,最后剩下来的一定是一个且只有这一个大于n\sqrt{n}n的质因子。换句话说,如果它有两个的话,因为它之前的n的质因子都已经被出掉了,那么一定是另外一个与它本身相等或者比它还大的数与它相乘等于n,而两个大于n\sqrt{n}n的数相乘一定是大于n的,因此:有以下结论:
任何一个数最多只有一个大于n\sqrt{n}n的质因子。当n为完全平方数时,没有大于n\sqrt{n}n的质因子。
于是我们可以只循环到n\sqrt{n}n,时间复杂度缩小为O(n\sqrt{n}n)。
代码
#include<iostream>
#include<algorithm>
using namespace std;
void divide(int n){
for(int i = 2; i <= n; i++)
if(n % i == 0){
int s = 0;
while(n % i == 0){
n /= i;
s++;
}
printf("%d %d\n", i, s);
}
}
int main(){
int n; scanf("%d", &n);
while(n--){
int x;
scanf("%d", &x);
divide(x);
}
return 0;
}
868、筛质数
题意:
给你一个正整数n,请你求出1~n中质数的个数。
输入格式
一个整数n
输出格式
一个整数,便是1~n中的质数个数。
数据范围
1<=n<=1e6
输如样例
8
输出样例
4
解题思路
开始我们想到用st数组来标记已经筛过的质数以及它的所有倍数,然后如果枚举到了i,而i还没有被标记,那么说明i一定是质数,因为i之前的所有的因子的倍数都已经做好标记了,如果i是合数的话,那么i一定是它之前的一个数的倍数,即i一定会被筛掉,但是i没有,因此,i一定是质数,然后我们把它加到质数表里面,用cnt来表示当前质数表里面有多少质数。然后我们继续将i的倍数筛掉(这里不管i是否为质数都将它的倍数筛掉),即将其标记为true,此时复杂度为O(nlogn)。
优化
但是我们在纸上画一画就知道,其实很多数都被筛掉了不止一次,因此我们做了很多无用功,于是我们根据算数基本定理,即一个数一定可以表示为很多个质数的多次方相乘,因此,我们只需要筛掉质数就行咯,于是我们就将第二个for循环移到了if里面,这样我们程序的时间复杂度就瞬间降到了O(nlognlogn),接近O(n)级别。
AC代码(埃氏筛法)
#include<iostream>
#include<algorithm>
using namespace std;
const int N = 1e6 + 5;
int primes[N], cnt;
bool st[N];
void divide(int n){
for(int i = 2; i <= n; i++)
if(n % i == 0){
int s = 0;
while(n % i == 0){
n /= i;
s++;
}
printf("%d %d\n", i, s);
}
}
void get_primes(int n){
for(int i = 2; i <= n; i++){
if(!st[i]){
primes[cnt++] = i;
for(int j = i + i ; j <= n; j += i)
st[j] = true;
}
}
}
int main(){
int n; cin >> n;
get_primes(n);
cout << cnt << endl;
return 0;
}
线性筛法
思路:将每一个合数用它的质因子筛掉即可。
n只会被最小质因子筛掉。
一:当i % primes[j] == 0时,primes[j]一定是i的最小质因子,primes[j]也一定是primes[j]*i的最小质因子。
二:当i % primes[j] != 0时,说明所有的primes[j]前面的数和primes[j]都不能将i整除,因此,primes[j]一定小于i的最小的质因子,也就是小于i的所有质因子,因此,primes[j]也一定是primes[j]*i的最小质因子。
三、对于一个合数x,假设primes[j]是x的最小质因子,由于i在枚举到x之前,一定会枚举到x/primes[j],当i枚举到x/primes[j]时,x一定会被筛掉,所以,任何一个合数一定会被筛掉,而且我们筛的时候只用最小质因子来筛,而每个合数只有一个最小质因子,因此,每个数只会被筛一次,因此它是线性的。
#include<iostream>
#include<algorithm>
using namespace std;
const int N = 1e6 + 5;
int primes[N], cnt;
bool st[N];
void divide(int n){
for(int i = 2; i <= n; i++)
if(n % i == 0){
int s = 0;
while(n % i == 0){
n /= i;
s++;
}
printf("%d %d\n", i, s);
}
}
//埃氏筛法
void get_primes(int n){
for(int i = 2; i <= n; i++){
if(!st[i]){
primes[cnt++] = i;
for(int j = i + i ; j <= n; j += i)
st[j] = true;
}
}
}
//线性筛法
void get_prime(int n){
for(int i = 2; i <= n; i++){
if(!st[i]) primes[cnt ++ ] = i;
for(int j = 0; primes[j] <= n / i; j++){
st[primes[j]*i] = true;
if(i % primes[j] == 0) break;
}
}
}
int main(){
int n; cin >> n;
get_prime(n);
cout << cnt << endl;
return 0;
}
线性筛法在n=1e7时,会比埃氏筛法快一倍!因此,实际比赛时,我们一般是用线性筛法。
五大问题:
试除法为什么可以枚举到n\sqrt{n}n?
分解质数那道题为什么时间复杂度为O(Ologn),但是为什么实际分解时却很快呢?
朴素筛法时间复杂度为什么是O(nlogn)?
埃氏筛法是什么原理?
线性筛法为什么是线性的?
约数
1、试除法求所有约数:
若d | n, 则必有 n/d | n,即一个数的约数一定是成对出现的。因此我们只需要枚举较小的那个约数即可,较大的那个约数我们可以之间用n/d算,即我们只需要枚举到d<=n/d即可,即d <= n\sqrt{n}n
acwing 869
题意
给你n个整数ai,对于每个整数ai,请你按照从小到大的顺序输出他的所有约数。
输入:
2
6
5
输出
1 2 3 6
1 2 4 8
#include<iostream>
#include<algorithm>
using namespace std;
const int N = 1e6 + 5;
int primes[N], cnt;
bool st[N];
void divide(int n){
for(int i = 2; i <= n; i++)
if(n % i == 0){
int s = 0;
while(n % i == 0){
n /= i;
s++;
}
printf("%d %d\n", i, s);
}
}
//
void get_primes(int n){
for(int i = 2; i <= n; i++){
if(!st[i]){
primes[cnt++] = i;
for(int j = i + i ; j <= n; j += i)
st[j] = true;
}
}
}
void get_prime(int n){
for(int i = 2; i <= n; i++){
if(!st[i]) primes[cnt ++ ] = i;
for(int j = 0; primes[j] <= n; j++){
st[primes[j]*i] = true;
if(i % primes[j] == 0) break;
}
}
}
vector<int> get_divisors(int n){
vector<int> res;
for(int i = 1; i <= n / i; i++){
if(n % i == 0)
res.push_back(i);
if(n / i != i) res.push_back(n/i);
}
sort(res.begin(), res.end());
return res;
}
int main(){
int n;
cin >> n;
while(n--){
int x;
cin >> x;
auto res = get_divisors(x);
for(auto t: res) cout << t << ' ';
cout << endl;
}
return 0;
}
知识点
约数:
(1)试除法求一个数的所有约数,得到:x = p1a1p2a2p3a3…pkak
(2)约数个数:(a1 + 1) * (a2 + 1) * (a3 + 1)…(ak + 1)
(3)约数之和:(p10 + p11+ … + p1a1)… (pk0+pk 1+…+pkak);
acwing 870 约数个数
题意:
给你n个正整数ai, 请你输出这些数的乘积的约数个数,答案对1e9+7取模。
输入:一个整数n, 1< n <= 100;
输出:一个整数1 <= ai<= 2*1e9;输入样例:
3
2
6
8
输出样例:
12
解题思路
这题可以定义一个hash表,用来存储分解出来的每一个质数的指数,分解质因子就是上面的方法,要注意的就是我们枚举完n\sqrt{n}n以内的所有数之后,还要记得检查一下我们最后的那个x是不是被除到1了,如果没有的话那么说明一定存在唯一一个大于n\sqrt{n}n的质因子,也是那个最大的质因子。最后我们直接利用我们刚才得出来的约数求和公式求解即可!
AC代码:
#include <iostream>
#include <algorithm>
#include <queue>
#include <stack>
#include<unordered_map>
#include <map>
#include <vector>
#include <cstring>
#include <stdio.h>
#include <set>
using namespace std;
#define ll long long
#define endl "\n"
const int maxn=1e5+10;
const ll mod=1e9+7;
int num=0;
int main()
{
ios::sync_with_stdio(0);
cin.tie(0);
int t;
cin>>t;
unordered_map<int, int> primes;//指数
while (t--)
{
int x; cin >> x;
for(int i = 2; i <= x / i; i++)
while(x % i == 0){
x /= i;
primes[i]++;
}
if(x > 1) primes[x]++;//最后一个比根号x更大的质数
}
ll res = 1;
for(auto prime : primes)
res = res * (prime.second + 1) % mod;
cout << res << endl;
return 0;
}
acwing 871 约数之和
题意
给你n个正整数ai, 请你输出这些数的乘积的约数之和,答案对1e9+7取模。
输入:一个整数n, 1< n <= 100;
输出:一个整数1 <= ai<= 2*1e9;输入样例:
3
2
6
8
输出样例:
12
思路:
其实我们可以很容易发现,求约数个数和求约数之和的公式都需要先将给定的数x进行质数分解,将每个质数的指数保存到对应的hash表中,然后在最后面答案的形式也是相同的,都是分解的质数总数个括号相乘,因此,我们只需要改最后的求和方式即可,于是问题瞬间转化为了求1 + p1 + p2 + p3 + … + pai,其实我们很容易发现,它就等价于((pai-1+pa2-1 + … + p) * p+ 1) + 1 = …(((((((p+1)p + 1)p + 1)p + 1)…)+1)+1)+1,这是一个递归的过程,我们只需要循环求解即可,而我们反推一下:t = t *p +1 → t=1 t = p + 1 → t=t*p+1 t = p2 + p1 + p0 → t=t*p+1 →t = p3 + p2 + p1 + p0…我们找下规律,t = p+1代入执行一次,则p的最高次数为1,执行2次,则p的最高次数为2,…,而我们要求的最高次数为ai,因此我只需要执行ai次即可。
AC代码
#include <iostream>
#include <algorithm>
#include <queue>
#include <stack>
#include<unordered_map>
#include <map>
#include <vector>
#include <cstring>
#include <stdio.h>
#include <set>
using namespace std;
#define ll long long
#define endl "\n"
const int maxn=1e5+10;
const ll mod=1e9+7;
int num=0;
int main()
{
ios::sync_with_stdio(0);
cin.tie(0);
int t;
cin>>t;
unordered_map<int, int> primes;//指数
while (t--)
{
int x; cin >> x;
for(int i = 2; i <= x / i; i++)
while(x % i == 0){
x /= i;
primes[i]++;
}
if(x > 1) primes[x]++;//最后一个比根号x更大的质数
}
ll res = 1;
for(auto prime : primes){
int p = prime.first, a = prime.second;
ll t = 1;
while(a--) t = ((t * p) + 1) % mod;
res = res * t % mod;
}
cout << res << endl;
return 0;
}
欧拉函数

求任意数的欧拉函数模板:(时间复杂度为O(nn\sqrt{n}n)
#include <iostream>
#include <algorithm>
#include <queue>
#include <stack>
#include<unordered_map>
#include <map>
#include <vector>
#include <cstring>
#include <stdio.h>
#include <set>
using namespace std;
#define ll long long
#define endl "\n"
const int maxn=1e5+10;
const ll mod=1e9+7;
int num=0;
int main()
{
ios::sync_with_stdio(0);
cin.tie(0);
int n; cin >> n;
while(n--){
int a;
cin >> a;
int res = a;
for(int i = 2; i <= a / i; i++)
if(a % i == 0){
res = res / i * (i - 1);
while(a % i == 0) a /= i;
}
if(a > 1) res = res / a * (a - 1); //最后一个大的质因子
cout << res << endl;
}
return 0;
}

线性筛法求欧拉函数(O(n))
题目引入:
给你一个正整数,求1~n中每个数的欧拉函数之和(1 <= n <= 1e6)
输入
6
输出
12
首先,我们引入之前讲过的线性筛模板:
#include<iostream>
#include<algorithm>
using namespace std;
const int N = 1e6 + 5;
int primes[N], cnt;
bool st[N];
//埃氏筛法
void get_primes(int n){
for(int i = 2; i <= n; i++){
if(!st[i]){
primes[cnt++] = i;
for(int j = i + i ; j <= n; j += i)
st[j] = true;
}
}
}
//线性筛法
void get_prime(int n){
for(int i = 2; i <= n; i++){
if(!st[i]) primes[cnt ++ ] = i;
for(int j = 0; primes[j] <= n / i; j++){
st[primes[j]*i] = true;
if(i % primes[j] == 0) break;
}
}
}
int main(){
int n; cin >> n;
get_prime(n);
cout << cnt << endl;
return 0;
}
之前已经证明过它的时间复杂度为O(n)了,现在我们只需要在这个模板中插入求欧拉函数的一些代码即可。
首先,我们知道,任何一个质数p的欧拉函数为p - 1,而我们在代码中,当st[i]为假时,即i没有被筛掉时,说明i是一个质数,于是在if(!st[i])条件中插入phi[i] = i - 1;
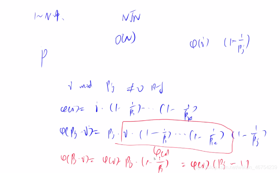
其次,在循环求解每一个质数时,当满足if(i % primes[j] == 0)时,说明primes[j]是i的一个质因子,我们再分析一下欧拉函数的形式φ(n)=n*(1-1/p1)(1-1/p2)(1-1/p3)(1-1/p4)……(1-1/pk),因此,φ(primes[j] * i) = primes[j] * i * (1-1/p1)(1-1/p2)(1-1/p3)(1-1/p4)……(1-1/pk) = primes[j] * φ(i),因此,我们在条件if(i % primes[j] == 0)中插入求解欧拉函数的代码:phi[i * primes[j]] = primes[j] * phi[i]。
最后,我们还需要想一下,如果不满足if(i % primes[j] == 0),那么我们该怎么求解欧拉函数,还是和上面的分析一样,如果不满足该条件,说明primes[j]比i的最小质因子还要小,而且primes[j]一定是prime[j] * i的一个质因子,于是我们可以得到φ(primes[j] * i) = primes[j] * i * (1-1/p1)(1-1/p2)(1-1/p3)*(1-1/p4)……(1-1/pk) *(1-1/pj) = (primes[j] - 1)*φ(i),于是,我们在条件if(i % primes[j] == 0)括号之外在加上求欧拉函数的代码:phi[i * primes[j]] =( primes[j] - 1 ) * phi[i]。
AC代码:
#include <iostream>
#include <algorithm>
using namespace std;
#define ll long long
#define endl "\n"
const int N =1e5+10;
const ll mod=1e9+7;
int primes[N], cnt = 0;
int phi[N];
bool st[N];
ll euler(int n){
phi[1] = 1;//根据定义,1的欧拉函数为1,下面我们求2~n的所有的欧拉函数
for(int i = 2; i <= n; i++){
if(!st[i]){
primes[cnt++] = i;
phi[i] = i - 1;
}
for(int j = 0; primes[j] <= n / i; j++){
st[primes[j] * i] = true;
if(i % primes[j] == 0){
phi[primes[j] * i] = phi[i] * primes[j];
break;
}
phi[primes[j] * i] = phi[i] * ( primes[j] - 1);
}
}
ll res = 0;
for(int i = 1; i <= n; i++) res += phi[i];
return res;
}
int main()
{
ios::sync_with_stdio(0);
cin.tie(0);
int n; cin >> n;
cout << euler(n) << endl;
return 0;
}
1591

被折叠的 条评论
为什么被折叠?



