自定义博客皮肤VIP专享

*博客头图:

格式为PNG、JPG,宽度*高度大于1920*100像素,不超过2MB,主视觉建议放在右侧,请参照线上博客头图

请上传大于1920*100像素的图片!

博客底图:

图片格式为PNG、JPG,不超过1MB,可上下左右平铺至整个背景

栏目图:

图片格式为PNG、JPG,图片宽度*高度为300*38像素,不超过0.5MB

主标题颜色:

RGB颜色,例如:#AFAFAF

Hover:

RGB颜色,例如:#AFAFAF

副标题颜色:

RGB颜色,例如:#AFAFAF

自定义博客皮肤

-+
  • 博客(62)
  • 收藏
  • 关注

原创 浏览量的更新

浏览量的更新

2025-11-21 22:45:27 458

原创 minio使用

下面介绍MinIO中的几个核心概念,这些概念在所有的对象存储服务中也都是通用的。对象(Object)对象是实际的数据单元,例如我们上传的一个图片。存储桶(Bucket)存储桶是用于组织对象的命名空间,类似于文件夹。每个存储桶可以包含多个对象。端点(Endpoint)端点是MinIO服务器的网络地址,用于访问存储桶和对象,例如9000为MinIO的API的默认端口,前边配置的9001以为管理页面端口。Access Key 和 Secret KeyAccess Key。

2025-10-28 21:15:22 854

原创 vue使用vue-skycons

解决办法就是在skycons.js头部添加以下代码。然后在其他组件里面就可以使用了。使用在main.js里面。

2025-08-11 22:12:58 182

原创 java.lang.reflect.InaccessibleObjectException

如果项目允许,可以通过编译时注解处理器生成特定的代码,从而避免在运行时动态访问受限字段。然而,由于 Java 模块系统的设计初衷是加强封装性和安全性,因此完全绕过模块限制的“永久解决”方法可能并不可取或不可行。)看似不是“永久解决”,但在实际生产环境中,这是一种广泛接受的做法。这种方式需要对模块化系统有较深入的理解,并且适用于模块化的应用程序。字段,可以编写一个代理类来封装反射逻辑,并确保该逻辑仅在受控环境中使用。这种方式虽然需要额外配置,但可以保证代码在不同环境中的一致性。)来显式打开所需的包。

2025-04-26 12:40:05 812

原创 idea无法下载源代码

查看 setting.xml 文件,找到了以下相关的配置,注释掉这个maven-default-http-blocker的镜像,这个东西阻碍了去阿里的镜像库查找依赖,注释掉。通过idea找到用户设置文件路径。然后重启idea就能下载了。

2025-04-23 16:46:51 578

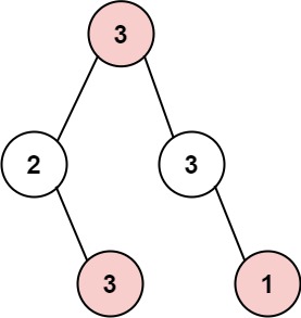
原创 二叉树非递归遍历

【代码】二叉树非递归遍历。

2025-01-11 19:49:59 236

原创 当一个服务拆成两个服务的错误

1.老路由信息没有修改,导致一直404。

2024-12-31 14:10:02 233

原创 sourceTree无效的源路径问题解决

sourceTree无效的源路径问题解决

2024-11-22 15:58:13 834

原创 js的call和apply

call 需要把实参按照形参的个数传进去。apply 需要传一个arguments。

2024-07-13 14:43:38 433

原创 js的原型链

3.绝大多数对象的最终都会继承自Object.prototype (var obj = Object.create(null或者undefined)没有原型)。4.Object.create(原型)。2.原型链上属性的增删改查。1.如何构成原型链?

2024-07-13 14:36:55 297

原创 js的原型

1定义:原型是function对象的一个属性,它定义了构造函数制造出的对象的公共祖先。因为Person.prototype和__proto__指向的对象不一样了。通过该构造函数产生的对象,以继承该原型的属性和方法。4.对象如何查询对象的构造函数 --> constructor。3.对象如何查询原型 --> 隐式属性__proto__2.利用原型特点和概念,可以提取共有属性。答案显然易见:不会改变。

2024-07-13 14:10:04 221

原创 js的对象

1.var obj = {} plainObject 对象字面量/对象直接量。1) 系统自带的构造函数 new Object()1.系统自带的构造函数 new Object()

2024-07-07 15:00:14 307

原创 leetcode-每日一题

数组的每个子数组都是交替子数组。可以统计在内的子数组共有 10 个。的情况,我们称这样的子数组为。3101. 交替子数组计数。中交替子数组的数量。

2024-07-06 20:08:21 319

原创 js的闭包

因为test函数形成闭包,即使test执行完之后被释放了,但是test的作用域链被函数function(){myArr[j]()是在test结束之后执行的,所以myArr[j]()执行时都是输出10。}的作用域链上,就是函数的作用域链上等于多了一个执行期上下文。闭包:当内部函数被保存到外部时,将会生成闭包。结果输出: 10 10 10 10 10 10 10 10 10 10。其实就是把立即执行函数的执行期上下文,保存在function(){希望输出0,1,2,3,4,5,6,7,8,9。

2024-07-06 16:03:01 223

原创 js的作用域链

一个执行期上下文定义了一个函数执行时的环境,函数每次执行时对应的执行上下文都是 独一无二的,所以多次调用一个函数对导致创建多个执行上下文,当函数执行完毕,它所产生的执行上下文被销毁。[[scope]]:每个javascript函数都是一个对象,对象中有些属性我们可以访问,但有些不可以,这些属性仅供javascript引擎存取,[[scope]]就是其中一个。作用域链:[[scope]]中所存储的执行期上下文对象的集合,这个集合呈链式链接,我们把这种链式链接叫做作用域链。

2024-07-06 12:28:14 331

原创 js的预编译

预编译

2024-07-05 14:42:12 278

原创 ubuntu安装tomcat并配置前端项目

1.1查找1.2安装1.3验证。

2023-12-04 20:52:56 547

原创 318. 最大单词长度乘积

的最大值,并且这两个单词不含有公共字母。如果不存在这样的两个单词,返回。上面仅包含小写字母,如果是大小写一起呢?

2023-11-06 23:27:26 309

原创 部署WeBASE

修改webase-node-mgr/conf/application.yml。修改webase-node-mgr/conf/log/log4j2.xml。修改webase-sign/conf/application.yml。修改common.properties。修改webase-node-mgr。修改webase-sign。

2023-11-02 20:00:15 599

原创 搭建第一个区块链网络

【代码】搭建第一个区块链网络。

2023-10-24 09:20:02 404

原创 fisco报错

fisco报错

2023-10-23 14:45:09 157

原创 每日一题9.18

之外,每栋房子有且只有一个“父“房子与之相连。一番侦察之后,聪明的小偷意识到“这个地方的所有房屋的排列类似于一棵二叉树”。小偷又发现了一个新的可行窃的地区。这个地区只有一个入口,我们称之为。小偷一晚能够盗取的最高金额 3 + 3 + 1 = 7。小偷一晚能够盗取的最高金额 4 + 5 = 9。,小偷能够盗取的最高金额。

2023-09-19 12:05:07 132

原创 每日一题9.17打家劫舍2

你不能先偷窃 1 号房屋(金额 = 2),然后偷窃 3 号房屋(金额 = 2), 因为他们是相邻的。你是一个专业的小偷,计划偷窃沿街的房屋,每间房内都藏有一定的现金。这个地方所有的房屋都。,这意味着第一个房屋和最后一个房屋是紧挨着的。同时,相邻的房屋装有相互连通的防盗系统,你可以先偷窃 1 号房屋(金额 = 1),然后偷窃 3 号房屋(金额 = 3)。偷窃到的最高金额 = 1 + 3 = 4。给定一个代表每个房屋存放金额的非负整数数组,计算你。,今晚能够偷窃到的最高金额。

2023-09-19 12:01:55 290

原创 打卡9.16每日一题198. 打家劫舍

你是一个专业的小偷,计划偷窃沿街的房屋。每间房内都藏有一定的现金,影响你偷窃的唯一制约因素就是相邻的房屋装有相互连通的防盗系统,偷窃 1 号房屋 (金额 = 2), 偷窃 3 号房屋 (金额 = 9),接着偷窃 5 号房屋 (金额 = 1)。偷窃 1 号房屋 (金额 = 1) ,然后偷窃 3 号房屋 (金额 = 3)。偷窃到的最高金额 = 2 + 9 + 1 = 12。偷窃到的最高金额 = 1 + 3 = 4。给定一个代表每个房屋存放金额的非负整数数组,计算你。,一夜之内能够偷窃到的最高金额。

2023-09-16 12:32:28 217

原创 LeetCode每日一题822. 翻转卡片游戏

接着我们选择第二张卡片,因为现在该卡片的背面的数是 2,2 与任意卡片上正面的数都不同,所以 2 就是我们想要的数字。如果我们通过翻转卡片来交换正面与背面上的数,那么当初在正面的数就变成背面的数,背面的数就变成正面的数。哪个数是这些想要的数字中最小的数(找到这些数中的最小值)呢?如果没有一个数字符合要求的,输出。张卡片,每张卡片的正面和背面都写着一个正数(正面与背面上的数有可能不一样)。与任意一张卡片的正面的数字都不同,那么这个数字是我们想要的数字。如果选中的那张卡片背面的数字。张卡片的正面和背面的数字。

2023-08-02 17:41:00 612

原创 142. 环形链表 II

指针再次到达,则链表中存在环。为了表示给定链表中的环,评测系统内部使用整数。如果链表中有某个节点,可以通过连续跟踪。链表中有一个环,其尾部连接到第二个节点。链表中有一个环,其尾部连接到第一个节点。,返回链表开始入环的第一个节点。来表示链表尾连接到链表中的位置(,仅仅是为了标识链表的实际情况。返回索引为 1 的链表节点。返回索引为 0 的链表节点。给定一个链表的头节点。如果链表无环,则返回。,则在该链表中没有环。

2023-07-30 19:17:15 183

原创 141. 环形链表

指针再次到达,则链表中存在环。为了表示给定链表中的环,评测系统内部使用整数。来表示链表尾连接到链表中的位置(索引从 0 开始)。如果链表中有某个节点,可以通过连续跟踪。链表中有一个环,其尾部连接到第二个节点。仅仅是为了标识链表的实际情况。,判断链表中是否有环。给你一个链表的头节点。

2023-07-29 14:58:30 263

原创 LeetCode-每日一题-将数组和减半的最少操作次数

nums 的和减小了 33 - 14.75 = 18.25 ,减小的部分超过了初始数组和的一半,18.25 >= 33/2 = 16.5。nums 的和减小了 31 - 14.5 = 16.5 ,减小的部分超过了初始数组和的一半, 16.5 >= 31/2 = 16.5。最终数组为 [5, 4.75, 4, 1] ,和为 5 + 4.75 + 4 + 1 = 14.75。最终数组为 [1.5, 8, 5] ,和为 1.5 + 8 + 5 = 14.5。选择数字 3 并减小为 1.5。

2023-07-25 14:06:23 304

原创 LeetCode-每日一题-宝石和石头

中每个字符代表了一种你拥有的石头的类型,你想知道你拥有的石头中有多少是宝石。代表石头中宝石的类型,另有一个字符串。字母区分大小写,因此。

2023-07-24 10:03:28 292

原创 LeefCode-盛最多水的容器

图中垂直线代表输入数组 [1,8,6,2,5,4,8,3,7]。在此情况下,容器能够容纳水(表示为蓝色部分)的最大值为 49。轴共同构成的容器可以容纳最多的水。找出其中的两条线,使得它们与。返回容器可以储存的最大水量。

2023-07-23 17:57:10 88

原创 LeetCode每日一题-接雨水

上面是由数组 [0,1,0,2,1,0,1,3,2,1,2,1] 表示的高度图,在这种情况下,可以接 6 个单位的雨水(蓝色部分表示雨水)。的柱子的高度图,计算按此排列的柱子,下雨之后能接多少雨水。个非负整数表示每个宽度为。

2023-07-23 14:21:17 132

原创 921. 使括号有效的最少添加

921. 使括号有效的最少添加

2022-10-04 10:03:33 172

原创 每日一题:1175.质数排列

请你帮忙给从 1 到 n 的数设计排列方案,使得所有的「质数」都应该被放在「质数索引」(索引从 1 开始)上;你需要返回可能的方案总数。让我们一起来回顾一下「质数」:质数一定是大于 1 的,并且不能用两个小于它的正整数的乘积来表示。由于答案可能会很大,所以请你返回答案 模 mod 10^9 + 7 之后的结果即可。示例 1:输入:n = 5 输出:12 解释:举个例子,[1,2,5,4,3] 是一个有效的排列,但 [5,2,3,4,1] 不是,因为在第二种情况里质数 5 被错误地放在索引为 1 的位置上。

2022-06-30 11:01:03 200

原创 剑指offer II 091.粉刷房子

剑指offer II 091.粉刷房子

2022-06-25 10:22:45 184

原创 力扣515.在每棵树行中找最大值

力扣515.在每棵树行中找最大值

2022-06-24 13:20:33 156

原创 试题 历届真题 大胖子走迷宫【第十届】【决赛】【C组】

小明是个大胖子,或者说是个大大胖子,如果说正常人占用 1 \times 11×1 的面积,小明要占用 5\times 55×5 的面积。由于小明太胖了,所以他行动起来很不方便。当玩一些游戏时,小明相比小伙伴就吃亏很多。小明的朋友们制定了一个计划,帮助小明减肥。计划的主要内容是带小明玩一些游戏,让小明在游戏中运动消耗脂肪。走迷宫是计划中的重要环节。朋友们设计了一个迷宫,迷宫可以看成是一个由 n \times nn×n 个方阵组成的方阵,正常人每次占用方阵中 1 \times 11×1 的区域,而小明要占用 5

2022-06-10 10:48:38 342

原创 剑指 Offer II 096. 字符串交织

给定三个字符串s1、s2、s3,请你帮忙验证s3是否是由s1和s2 交错 组成的。 两个字符串 s 和 t 交错 的定义与过程如下,其中每个字符串都会被分割成若干 非空 子字符串: s = s1 + s2 + ... + sn t = t1 + t2 + ... + tm |n - m| <= 1 交错 是 s1 + t1 + s2 + t2 + s3 + t3 + ... 或者 t1 + s1 + t2 + s2 + t3 + s3 + ... 注意:a + b 意味着字符串 a 和...

2022-05-11 21:00:03 245

原创 881. 救生艇

给定数组 people 。people[i]表示第 i 个人的体重 ,船的数量不限,每艘船可以承载的最大重量为 limit。 每艘船最多可同时载两人,但条件是这些人的重量之和最多为 limit。 返回 承载所有人所需的最小船数 。 示例 1: 输入:people = [1,2], limit = 3 输出:1 解释:1 艘船载 (1, 2) 示例 2: 输入:people = [3,2,2,1], limit = 3 输出:3 解释:3 艘船分别载 (1, 2), (2) 和 (3) 示例 3

2022-05-09 18:07:24 487

原创 现有司机N人,调度中心会将所有司机平分给A、B两个区域

现有司机N人,调度中心会将所有司机平分给A、B两个区域 第i个司机去A可得收入为income[i][0], 第i个司机去B可得收入为income[i][1], 返回所有调度方案中能使所有司机总收入最高的方案,是多少钱 package 题目.Code_02; //现有司机N人,调度中心会将所有司机平分给A、B两个区域 //第i个司机去A可得收入为income[i][0], //第i个司机去B可得收入为income[i][1], //返回所有调度方案中能使所有司机总收入最高的方案,是多少钱 public.

2022-05-03 17:52:02 280

原创 试题 算法训练 P0705

输入两个整数集合A、B,求出他们的交集、并集以及B在A中的余集。交集、并集和余集的计算都要求写成一个单独的函数。   输入第一行为一个整数n,表示集合A中的元素个数。   第二行有n个按从小到大的顺序输入且互不相同的整数,表示集合A中的元素   第三行为一个整数m,表示集合B中的元素个数。   第四行有m个按从小到大的顺序输入且互不相同的整数,表示集合B中的元素   集合中的所有元素均为int范围内的整数,n、m<=1000。   输出第一行按从小到大的顺序输出A、B交集中的所有元素。   第二行按从

2022-05-03 13:05:27 285

空空如也

空空如也

TA创建的收藏夹 TA关注的收藏夹

TA关注的人

提示
确定要删除当前文章?
取消 删除