目录
线性表
线性表的定义
由n(n>=0)个数据元素(结点)组成的有限序列,典型的线性结构
在非空线性表中:
-
有且仅有开始结点,没有直接前驱,而仅有一个直接后继
-
有且仅有终端结点,没有直接后继,而仅有一个直接前驱
-
其余内部结点都有且仅有一个直接前驱和直接后继
表长:数据元素的个数n(n=0时为空表)
两种方式:
SqList L SqList *L
L.elem L->elem
顺序存储结构
- 优点
随机存取,时间复杂度为O(1)
- 缺点
存储空间分配不灵活
运算的空间复杂度高
占用一片连续的存储空间
链式存储结构
- 优点
结点空间可以动态申请和释放
插入和删除不需要移动数据元素
- 缺点
指针域需额外占用存储空间
非随机存取结构,时间复杂度高

基本算法
InitList(): 构造一个空的线性表L
~InitList(): 销毁线性表
ClearList(): 将线性表重置为空表
ListEmpty(): 判断是否为空表,是返回Ture,否则返回False
ListLength(): 返回线性表中的数据元素个数
GetElem(i,&e): 返回线性表L中的第i个数据元素的值,1<=i<=ListLength()
PriorElem(cur,pre): 若cur是线性表的数据元素且不是第一个,则用pre返回它的前驱,否则pre无意义
NextElem(cur,next): 若cur是线性表的数据元素且不是最后一个,则用next返回它的后继,否则next无意义
ListTraverse(visited()): 依次对表中元素调用visited(),遍历
顺序表 :
- 以物理位置相邻表示逻辑关系
- 任一元素均可以(随机存取)
- 插入删除时需移动大量元素,存储空间不灵活
顺序表的查找
平均查找长度:(n+1)/2
平均时间复杂度为O(n); 空间复杂度S(n)=O(1)
int LocateElem(e){ //返回线性表中e数据元素的位序
for(i=0;i<L.length;i++){
if(L.elem==e) return i+1; //查找成功返回序号
}
return 0; //查找失败返回0
}
顺序表的插入
平均移动次数:n/2
平均时间复杂度为O(n); 空间复杂度S(n)=O(1)
ListInsert(i,e){ //在第i个位置之前插入新的数据元素e
if(i<1||i>L.length)return ERROR; //i值不合法
for(j=L.length-1;j>=i-1;j--){
L.elem[j+1]=L.elem[j]; //元素后移
}
L.elem[i-1]=e;
L.length++; //表长加一
return OK;
}
顺序表的删除

平均移动次数:(n-1)/2
平均时间复杂度为O(n); 空间复杂度S(n)=O(1)
ListDelete(i,e){ //删除第i个位置数据元素,并用e返回其值
if(i<1||i>L.length)return ERROR; //i值不合法
for(j=i;j<=L.length-1;j++){
L.elem[j-1]=L.elem[j]; //元素前移
}
L.length--; //表长减一
return OK;
}
链表 :
- n个结点由指针链组成一个链表
- 结点在存储器中位置是任意的
- 访问时只能通过头指针进入链表,并通过每个结点的指针域一次向后顺序扫描其余结点(顺序存取)
- 头指针—>(头结点)—>首元结点 [ 数据域data | 指针域next ]
单链表:一个指针域
双链表:两个指针域
循环链表:首尾结点相接
一. 单链表
class Node{
int data; //数据域
Node *next; //指针域
}

初始化单链表,销毁单链表,清空单链表
InitList(){ //初始化
L=new Node;
L->next=NULL;
return OK;
}
DestroyList(){ //从头指针开始依次释放所有结点,销毁表
Node *p;
while(L){
p=L;
L=L->next;
delete p;
}
return OK;
}
ClearList(){ //重置为空表
Node *p,*q;
p=L->next;
while(p){
q=p->next;
delete p;
p=q;
}
L->next=NULL; //头结点指针域为空
return OK;
}
判断链表是否为空
int ListEmpty(){
if(L->next) return 0; //非空
else return 1;
}
求单链表的表长度
int ListLength(){ //返回数据元素个数
Node *p;
p=L->next; //p指向第一个结点
i=0;
while(p){ //遍历
i++;
p=p->next;
}
return i;
}
取单链表中第i个元素的内容
GetElem(int i,int e){
p=L->next;
j=1;
while(p&&j<i){ //向后扫描知道p指向第i个元素或p为空
p=p->next;
++j;
}
if(!p||j>i) return ERROR; //第i个元素不存在
e=p->data; //取第i个元素
return OK;
}
单链表的查找
LacateElem(e){ //按值查找—返回该数据所在的位置(地址)
p=L->next;
while(p&&P->data!=e){
p=p->next;
}
return p;
}
LacateElem(e){ //按值查找—返回该数据所在的位置(序号)
p=L->next;
j=1;
while(p&&P->data!=e){
p=p->next;
j++;
}
if(p) return j;
else return 0;
}
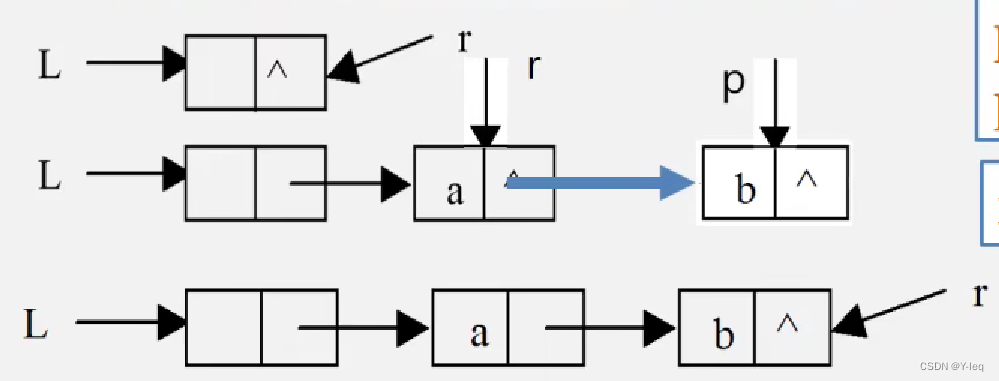
单链表的插入
在第i个结点前插入值为e的新结点

LinkInsert(i,e){
p=L;j=0;
while(p&&j<i-1){ //寻找第i-1个结点,p指向i-1结点
p=p->next; ++j;
}
if(!p||j>i-1) return ERROR;
s=new Node;
s->data=e;
//链表插入重点
s->next=p->next;
p->next=s;
//
return OK;
}
单链表的删除
删除第i个结点,删除的值用e返回

LinkDelete(i){ //删除第i个数据元素
p=L;j=0;
while(p->next&&j<i-1){ //寻找第i个结点,并令p指向其前驱
p=p->next; ++j;
}
if(!(p->next)||j>i-1) return ERROR;
q=p->next; //临时保存被删结点的地址以备释放
//链表删除重点:
p->next=q->next;
e=q->data; //保存删除结点的数据域
//
delete q; //释放删除结点的空间
return OK;
}
单链表的查找,插入,删除算法时间效率:时间复杂度:O(n)
建立单链表:
头插法:时间复杂度是O(n)


CreateList(int n){ //n为结点数
L=new Node;
L->next=NULL;
for(i=n;i>0;--i){
p=new Node;
cin>>p->data; //输入插入的数据
p->next=L->next; //插入到表头
L->next=p;
}
}
尾插法:时间复杂度为O(n)


CreateList(int n){ //n为结点数
L=new Node; L->next=NULL;
Node *r,*p;
r=L;
for(i=0;i<n;++i){
cin>>p->data; //输入结点元素值
p->next=NULL;
//插入到表尾
r->next=p;
r=p;
}
}
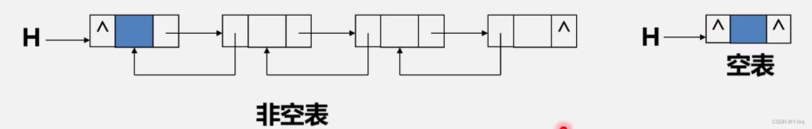
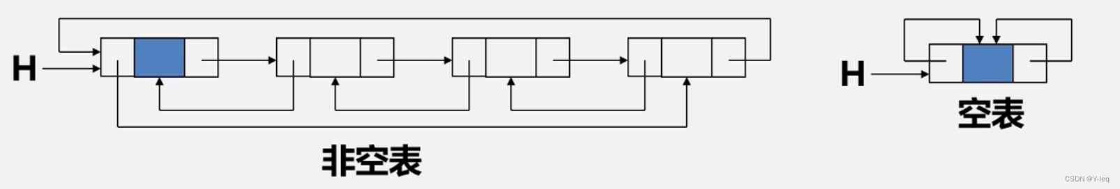
二. 循环链表
从表中任一结点出发均可找到表中其他结点

循环链表中没有NULL指针,所有遍历终止条件不是判断p或p->next是否为空,而是判断是否等于头指针,即p!=L p->next!=L

循环链表的合并:时间复杂度为O(1)
带尾指针的循环链表的合并(将Tb合并在Ta后)

ConnectList(List Ta,List Tb){
p=Ta->next; //1 p存表头结点
Ta->next=Tb->next->next; //2 Ta表尾连结Tb表头
delete Tb->next; //3 释放Tb头结点
Tb->next=p; //4 修改指针
return Tb
}
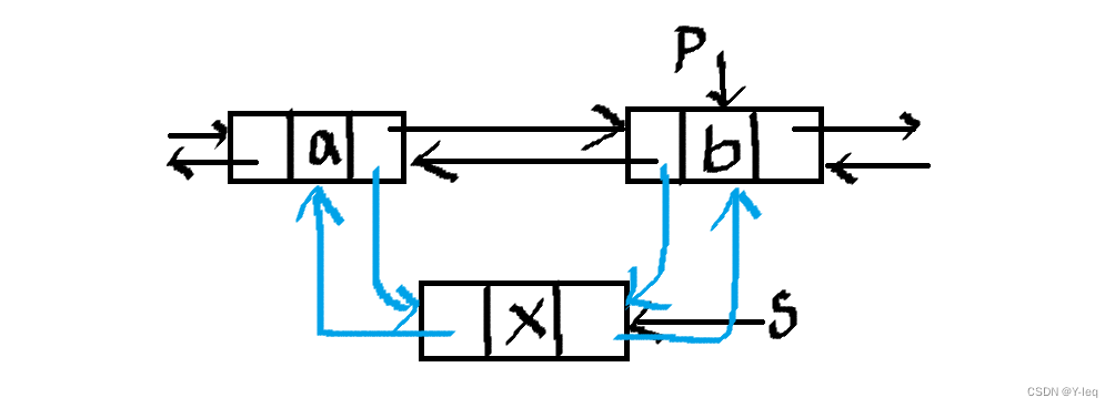
三. 双向链表
class Node{
int data; //数据域
Node *next,*prior; //指针域
}

双向循环链表:

双向链表的插入

ListInsert(i,e){
if(!(p=GetElem(L,i))) return ERROR; //位置不合法
s=new Node; s->data=e;
s->prior=p->prior; p->prior->next=s;
s->next=p; p->prior=s;
return OK;
}
双向链表的删除

ListDelete(i,e){
if(!(p=GetElem(L,i))) return ERROR; //位置不合法
e=p->data;
p->prior->next=p->next;
p->next->prior=p->prior;
delete p;
return OK;
}

线性表的应用
线性表的合并
void union(List &La,List Lb){
La_Len=Length(La); //获取两表的长度
Lb_Len=Length(Lb);
for(i=1;i<Lb_Len;i++){
GetElem(Lb,i,e); //取Lb表中元素值
if(!LocateElem(La,e)){
Insert(&La,e); //插入La
}
}
}
有序表的合并
【用顺序表实现】 时间和空间复杂度为O(length(La)+ length(Lb))
void UnionList(List La,List Lb,List &Lc){
pa=La.elem; //指针pa和pb初值分别指向两表中的第一个元素
pb=Lb.elem;
Lc.length=La.length+Lb.length; //新表长度为待合并两表的长度之和
Lc.elem=new int[Lc.length]; //为Lc分配一个数组空间
pc=Lc.elem;
pa_last=La.elem+La.length-1; //pa_last指向La表中最后一个元素
pb_last=Lb.elem+Lb.length-1;
while(pa->pa_last && pb<=pb_last){ //两表都非空
if(*pa<=*pb) *pc+=*pa++; //依次取两表中值较小的结点
else *pc+=*pb++;
}
while(pa<=pa_last) *pc+=*pa++; //Lb表到达表尾,则将La中剩余元素加入Lc
while(pb<=pb_last) *pc+=*pb++; //La表到达表尾,则将Lb中剩余元素加入Lc
}
【用链表实现】时间复杂度为O(length(La)+ length(Lb)) 空间复杂度O(1)
void UnionList(List &la,List &lb,List &lc){
pa=La->next; pb=Lb->next;
pc=Lc=La; //将La的头结点作为Lc的头结点
while(pa && pb){
if(pa->data<=pb->data)
pc->next=pa; pc=pa; pa=pa->next;
else
pc->next=pb; pc=pb; pb=pb->next;
}
pc->next=pa?pa:pb; //插入剩余段
delete Lb; //释放Lb的头结点
}
可运行代码:
#include <iostream>
using namespace std;
struct Node
{
int data;
Node* next;
};
class LinkList
{
Node* first;
public:
LinkList();
LinkList(int a[], int n, int op);//建表,两种方法
~LinkList();
int Length();
int Get(int i);//按位置查找
int Locate(int x);//按值查找
void Insert(int i, int x);//在第i个位置插入数值x
int Delete(int i);//删除第i个结点并返回第i个结点的值
int Empty();
void PrintList();
};
LinkList::LinkList()
{
first = new Node;
first->next = NULL;
}
LinkList::LinkList(int a[], int n, int op)
{
//头插法
if (op) {
first = new Node;
first->next = NULL;
Node* s = NULL;
for (int i = 0; i < n; i++) {
s = new Node;
s->data = a[i];
s->next = first->next;
first->next = s;
}
}
//尾插法
else {
first = new Node;
Node* tail = first, * s = NULL;
for (int i = 0; i < n; i++) {
s = new Node;
s->data = a[i];
tail->next = s;
tail = s;
}
tail->next = NULL;
}
}
LinkList::~LinkList()
{
Node* p = NULL;
while (first != NULL) {
first = first->next;
delete p;
p = first;
}
}
int LinkList::Length()
{
Node* p = first->next;
int cnt = 0;
while (p != NULL) {
p = p->next;
cnt++;
}
return cnt;
}
int LinkList::Get(int i)
{
Node* p = first->next;
int cnt = 1;
while (p != NULL && cnt < i) {
p = p->next;
cnt++;
}
if (p == NULL) cerr << "查找位置错误";
return p->data;
}
int LinkList::Locate(int x)
{
Node* p = first->next;
int cnt = 1;
while (p != NULL) {
if (p->data == x) return cnt;
p = p->next;
cnt++;
}
return 0;
}
void LinkList::Insert(int i, int x)
{
Node* p = first, * s = NULL;
int cnt = 0;
while (p != NULL && cnt < i - 1) {
p = p->next;
cnt++;
}
if (p == NULL) cerr << "插入位置错误";
else {
s = new Node;
s->data = x;
s->next = p->next;
p->next = s;
}
}
int LinkList::Delete(int i)
{
int x;
Node* p = first, * q = NULL;
int cnt = 0;
while (p != NULL && cnt < i - 1) {
p = p->next;
cnt++;
}
if (p == NULL || p->next == NULL) cerr << "删除位置错误";
else {
q = p->next;
x = q->data;
p->next = q->next;
delete q;
return x;
}
}
int LinkList::Empty()
{
if (first->next == NULL) return 1;
else return 0;
}
void LinkList::PrintList()
{
Node* p = first->next;
while (p != NULL) {
cout << p->data << " ";
p = p->next;
}
cout << endl;
}
int main()
{
int r[5] = { 1,2,3,4,5 }, i, x;
LinkList L(r, 5, 0);
cout << "当前线性表的数据为: ";
L.PrintList();
try
{
L.Insert(2, 8);
L.PrintList();
}
catch (string str) { cout << str << endl; }
cout << "当前链表的长度为: " << L.Length() << endl;
cout << "请输入查找的元素值: ";
cin >> x;
i = L.Locate(x);
if (i > 0) cout << "元素" << x << "的位置为: " << i << endl;
else cout << "单链表中没有元素" << x << endl;
try
{
cout << "请输入要删除第几个元素: ";
cin >> i;
x = L.Delete(i);
cout << "删除的元素值是" << x << ",执行删除操作后数据为: ";
L.PrintList();
}
catch (string str) { cout << str << endl; }
return 0;
};
1794

被折叠的 条评论
为什么被折叠?



