1. 写在前面
最近用深度学习做一些时间序列预测的实验, 用到了一些循环神经网络的知识, 而当初学这块的时候,只是停留在了表面,并没有深入的学习和研究,只知道大致的原理, 并不知道具体的细节,所以导致现在复现一些经典的神经网络会有困难, 所以这次借着这个机会又把RNN, GRU, LSTM以及Attention的一些东西复习了一遍,真的是每一遍学习都会有新的收获,之前学习过也没有整理, 所以这次也借着这个机会把这一块的基础内容进行一个整理和总结, 顺便了解一下这些结构底层的逻辑。
这篇文章基于前面的重温循环神经网络(RNN), 通过前面的分析, 我们已经知道了RNN中的梯度消失和爆炸现在究竟是怎么回事并且也知道了引起梯度消失和爆炸的原因, 而又由于梯度消失, 导致了RNN并不擅长捕捉序列的长期关联, 所以基于这两个问题, 导致现在RNN使用的并不是太多, 而是使用它的一些变体, 比如LSTM, GRU这些,所以这篇文章就主要围绕着这两个变体进行展开。
首先, 我们先从LSTM开始, 先看一下LSTM和RNN的不同, 然后整理LSTM的工作原理和计算细节, 然后基于这个原理分析一下LSTM是如何解决RNN存在的两个问题的,为了更方便理解LSTM底层,依然是基于numpy实现一下LSTM的前向传播过程,明白了底层逻辑,那么LSTM到底如何在实际中使用?这里会简单介绍一下keras里面LSTM层的细节, 然后是LSTM里面的激活函数使用(sigmoid和tanh也是有讲究的)。 最后再整理GRU这块, 这可以说是LSTM的一种简化版, 那么到底是如何简化的, 与LSTM又会有哪些不同? 这篇文章会一一进行剖析。
大纲如下:
- RNN梯度消失怎么破? LSTM来了
- LSTM的工作原理和计算细节
- LSTM是如何解决RNN存在的梯度消失问题的
- LSTM前向传播的numpy实现及keras中LSTM层简单介绍
- LSTM中的激活函数深探及LSTM的局限
- LSTM的变体之GRU一些细节
- 总结
Ok, let’s go!
2. RNN梯度消失怎么破? LSTM来了
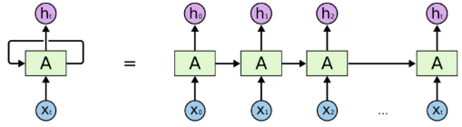
上面文章提到过, 循环神经网络(Recurrent Neural Network,RNN)是一种用于处理序列数据的神经网络。相比一般的神经网络来说,他能够处理序列变化的数据。比如某个单词的意思会因为上文提到的内容不同而有不同的含义,RNN就能够很好地解决这类问题。下面再来个RNN的图回顾一下(会发现和之前的图又是不一样, 好多种画法, 但是万变不离其宗, 原理不会变,哈哈):

上一篇文章已经详细分析了这种网络的工作原理和计算方面的细节, 这里就不再过多赘述, 这里看一点新的东西, 就是序列依赖的问题, 上一篇文章中只是提到了循环网络一个很重要的作用就是能够捕捉序列之间的依赖关系, 而原理就是RNN在前向传播的时候时间步之间有隐藏状态信息的传递, 这样反向传播修改参数的时候, 前面时刻的一些序列信息会起到一定的作用,从而使得后面某个时刻的状态会捕捉到前面时刻的一些信息。 这在语言模型中非常常见。
比如我有个语言模型, 该模型根据前面的词语来预测下一个单词要预测一句话中的一部分, 如果我们试图预测“the clouds are in the sky”的最后一个单词, 这时候模型会预测出sky, 因为RNN会利用过去的历史信息clouds

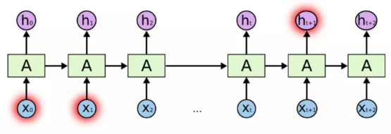
这是一种局部的依赖, 即在相关信息和需要该信息的距离较近的时候,RNN往往工作的效果还可以, 但如果是吴恩达老师举得那个例子:The cat, which already ate…, was full. 如果是要预测后面的这个was, 我们的语言模型这时候得考虑更多的上下文信息, 就不能是单单局部的信息了, 得需要从最开始获取cat的信息, 这种情况就属于相关信息和需要该信息的地方距离非常远。就是下面这种情况:

这时候, 我们的RNN表现的就不是那么出色了, 至于原因, 上一篇文章中我们分析了一点, 很重要的一点就是梯度的消失, 也就是时间步一旦很长, 就会出现连乘现象, 在反向传播的时候,这种连乘很容易会导致梯度消失, 一旦梯度消失, 后面的参数更新就无法再获取到前面时刻的关键信息,所以“长依赖”这个问题, 在RNN中是没法很好处理的。
那么, LSTM就来了, 这个东西其实不是最新的了,1997年的时候就引入了, 并且在各种各样的工作中工作效果不错,也广泛被使用, 虽然现在可能是Attention的天下了,甚至超越了LSTM, 但是LSTM依然可以解决很多的问题,是一个非常有力的工具,并且学习好LSTM, 对于理解Attention可能也会起到帮助, 总之,我觉得LSTM是肯定需要掌握的,哈哈。
LSTM的全称是Long short-term memory(长短期记忆), 是一种特殊的RNN网络, 该网络的设计是为了解决RNN不能解决的长依赖问题, 所以首先知道它是干啥用的? 那么它是如何做到的呢? 那么我们就需要对比一下LSTM和RNN的结构, 看看它到底改了什么东西才变得这么强大的呢?
循环神经网络都具有神经网络的重复模块链的形式, 标准的RNN中,该重复模块将具有非常简单的结构,例如单个tanh层。标准的RNN网络如下图所示

而LSTM既然是RNN网络, 那么也是采用的这种链式结构, 而与RNN不同的是每一个单元内部的运算逻辑, 下面先宏观上看一个LSTM的结构图, 在后面的运算细节那更能够看出这种运算逻辑:

很明显可以看到, LSTM与RNN相比,其实整体链式结构是没有改变的, 改变的是每个单元的内部的计算逻辑, LSTM这里变得复杂了起来, 而正式因为这种复杂, 才使得LSTM解决了RNN解决不了的问题, 比如梯度消失, 比如长期依赖。
下面就看看LSTM的原理和计算细节。
3. LSTM的工作原理和计算细节
所谓LSTM的工作原理,LSTM其实是在做一个这样的事情, 先尝试白话的描述一下, 然后再分析它是怎么实现。
我们前面说过,LSTM要解决的问题就是一种长期依赖问题, 也就是如果序列长度很长, 后面的序列就无法回忆起前面时刻序列的信息, 这样就很容易导致后面序列的预测出现错误,就跟人大脑一样, 如果时间很长, 就会出现遗忘一样, 记不清之前的一些事情,不利于后面的决策了。而出现这种情况的原因,就是我们在记忆的过程中, 干扰信息太多,记住了一些对后面决策没有用的东西, 时间一长, 反而把对后面决策有用的东西也忘掉了。
RNN其实也是一样, 普通的RNN后面更新的时候, 要回忆前面所有时刻的序列信息,往往就导致回忆不起来(梯度消失), 而我们知道, 对于未来做某个决策的时候, 我们并不需要回忆前面发生过的所有的事情,同理,对于RNN来说, 我要预测的这个单词需要考虑的上下文也并不是前面所有序列都对我当前的预测有用, 就比如上面的那个例子, 我要预测was, 我只需要最前面的cat即可, 中间那一串which巴拉巴拉的, 对我的预测没有用, 所以我预测was根本没有必要记住which的这些信息, 只需要记住cat即可, 这个在普通的RNN里面是没法做到的(不懂得可以看看它的前向传播过程), 它根本没有机会做出选择记忆, 而LSTM的核心,就是它比RNN, 多了一个可选择性的记忆cell, 在LSTM的每个时间步里面,都有一个记忆cell,这个东西就仿佛给与了LSTM记忆功能, 使得LSTM有能力自由选择每个时间步里面记忆的内容, 如果感觉当前状态信息很重要, 那么我就记住它, 如果感觉当前信息不重要, 那么我就不记, 继续保留前一时刻传递过来的状态, 比如cat的那个, 在cat的时刻,我把这个状态的信息保留下来, 而像which那些, 我不保留,这样was的时候就很容易看到cat这个状态的信息,并基于这个信息更新, 这样就能够进行长期依赖的学习了。
上面就是LSTM一个宏观工作原理的体现, 当然还有一些细节,比如这个记忆是怎么进行选择的, 这个记忆是怎么在时间步中传递的, 又是怎么保持的等, 下面从数学的角度详细的说说:
首先, 是那条记忆线到底在单元里面长什么样子:

LSTM的关键就是每个时间步之间除了隐藏状态
h
t
h_t
ht的传递之外,还有这么一条线贯穿整条链(可以看上面的链状图), 这个东西就仿佛一条传动带, 帮助后面时刻的序列回忆前面某些时刻的序列信息。 比如上面的例子, 把cat这一时刻的状态信息存储到cell里面, 然后就可以通过这条链子一直传递到was那, 中间可以忽略掉那些干扰信息, 这样就保证了长期依赖。 这就是记忆如何进行的传递, 是通过了一条这样的cell链子。
那么, LSTM是怎么做到自由选择记忆的东西的呢?这个就是LSTM里面那几个门发生的作用了, LSTM的cell状态存储是由被称为门的结构精细控制, 门是一种让信息可选地通过的方法。它们由一个sigmoid神经网络层和一个点乘操作组成。

这里我标出来了, 看到这三个门了吗?那么就看看这三个门是如何起作用的, 首先, 我们解决另一个问题,就是cell里面到底存储的是什么东西, 看个图:

看上面这个图, 右边是
C
t
C_t
Ct的更新公式, 可以发现, 这个
C
t
C_t
Ct也就是我们要记住的东西,其实会包含两部分, 第一部分是
C
t
−
1
C_{t-1}
Ct−1, 这个表示的是前面时刻记住的信息, 比如预测was的例子, 这个
C
t
−
1
C_{t-1}
Ct−1, 就可能表示前面的cat信息, 而后面的
C
~
t
\tilde{C}_{t}
C~t, 这个表示的是当前时刻状态的信息(后面会看到公式),这里就是was这个时刻的状态, 就是说在某个时刻LSTM的记忆, 由当时时刻输入的状态信息和前面时刻输入的状态信息两部分组成, 而这两部分又不是必须要记忆的, 因为我们看到了
C
t
−
1
,
C
~
t
C_{t-1}, \tilde{C}_{t}
Ct−1,C~t前面还有一个
f
t
,
i
t
f_t, i_t
ft,it, 这俩都是0-1之间的值,就是为了控制当前时刻的记忆有多少是来自于前面的时刻, 有多少是来自当前的时刻, 这个选择权交给网络本身。 当网络感觉某个时刻的状态需要记住,比如cat时刻, 那么就让
i
t
i_t
it为1,
f
t
f_t
ft为0, 这样当前时刻的记忆单元就记住了目前的值, 而到了which时刻, 网络觉得which时刻的输入状态不用记住, 那么
f
t
f_t
ft为1,
i
t
i_t
it为0, 网络的记忆依然是前面时刻的状态信息。 这就是LSTM宏观原理在数学形式上的表现。
那么上面既然提到了 f t , i t f_t, i_t ft,it, 这俩到底是什么东西呢? 这两个就是门控了, 首先是左边的门,看下图:

最左边这个叫做遗忘门(forget gate), 这个门决定着我们还需不需要记住前面状态的信息,即当前时刻的记忆状态有多少是来自于前面的记忆,比如对于一个基于上文预测最后一个词的语言模型。cell的状态可能包含当前主题的信息,来预测下一个准确的词。而当我们得到一个新的语言主题的时候,我们会想要遗忘旧的主题的记忆,应用新的语言主题的信息来预测准确的词。 右边是它的计算公式, 输入是
h
t
−
1
,
x
t
h_{t-1}, x_t
ht−1,xt, 由于是sigmoid函数, 输出一个0和1之间的数, 1代表我们保留之前记住的信息, 0代表我们不用记住前面的信息。 动图看一下运算过程:

右边的一个门, 如下图:

这个门叫做输入门或者更新门, 名字不重要, 干什么才是重要的, 这个门就是控制当前时刻的记忆有多少会来自于当前时刻的输入本身, 因为这个
C
~
t
=
tanh
(
W
C
⋅
[
h
t
−
1
,
x
t
]
+
b
C
)
\tilde{C}_{t}=\tanh \left(W_{C} \cdot\left[h_{t-1}, x_{t}\right]+b_{C}\right)
C~t=tanh(WC⋅[ht−1,xt]+bC)这个公式应该会眼熟, 其实RNN那个地方的隐藏状态的更新就是这个公式:

只不过LSTM这里是将前面的那个加法改成了向量乘积的形式, 所以之类就很容易理解这个
C
~
t
\tilde{C}_{t}
C~t的含义了, 就是当前时刻隐藏状态的信息。有了隐藏状态的信息, 又有了前面某些时刻的信息, 又有了两个门控制记忆的量, 那么记忆cell的更新就很容易了, 下面的方程就非常容易理解了吧:
C
t
=
f
t
∗
C
t
−
1
+
i
t
∗
C
~
t
C_{t}=f_{t} * C_{t-1}+i_{t} * \tilde{C}_{t}
Ct=ft∗Ct−1+it∗C~t
所以LSTM这个名字可能看起来很吓人, 但可能是一个纸老虎。 依然是看一下运算过程:

通过上面的两个门,我们就可以把cell更新到一个我们想要的状态了,

但是光更新这个东西是没有意义的啊, 因为我们分析了was这个时候, 要记住cat的状态, 但记住的目的是要进行预测, 所以说我们的cell是为当前时刻的输出服务的。
下面就看看输出部分到底是个啥?

这才是LSTM自由选择记忆之后的目的, 就是为了能有一个更好的输出。 这里首先是一个输出门, 依然是一个sigmoid, 取值0-1, 这个是控制我们的输出有多少是来自于我们的记忆,并不一定是全部的记忆哦。 使得LSTM更灵活了,连输出都可以进行选择了。这个意思差不多就是虽然我权衡了一下前面的状态信息和当前的状态信息, 更新了我的记忆, 但是这个记忆我不一定要全用上, 用一部分就可以搞定当前的预测。 并且如果我发现我更新的记忆对当前的预测并没有用, 反而会效果更差,这时候我还可以选择不用这个记忆, 所以非常的灵活。

这就是LSTM的原理和计算细节了, 通过LSTM和RNN对比的方式再来总结一下LSTM:

看这个对比就能发现, LSTM比RNN更加复杂, RNN这个在前向传播的时候, 是记住了每个时刻的状态信息, 然后往后传,这种网络带来的结果就是易发生梯度消失,无法捕捉长期依赖, 因为传递的过程中有一些干扰信息, 导致后面时刻参数更新没法借鉴距离远的前面时刻的值。
而LSTM在记忆这方面更加的灵活, 长短期记忆嘛, 功能如其名,就是既可以长期记忆也可以短期记忆,它在RNN的基础上增加了自由的选择记忆功能, 也就是会有一个记忆cell, 这里面会只存储和当前时刻相关的一些重要信息, 毕竟每个时刻关注的上下文点可能不一样, 这个交给网络自己选择, 光有cell也不能起到好作用, 还得有两个门协助它完成选择和过滤的功能, 所以遗忘门帮助它衡量需要记住多少前面时刻的状态信息, 更新门帮助它衡量需要记住当前时刻的多少状态信息, 这俩一组合就是比较理想的记忆了。 但是即使是这样, LSTM依然不放心把这个记忆作为输出, 又加入了一个输出门, 来自由的选择我用多少记忆的信息作为最后的输出, 所以LSTM有了这三个门, 有了记忆cell, 使它变得更加的灵活, 既可以捕捉短期依赖, 也可以捕捉长期依赖, 并且也缓解了梯度消失(后面会分析)。
下面我们就来看看LSTM是怎么解决梯度消失的问题的。
4. LSTM是如何解决RNN存在的梯度消失问题的
在上一篇文章中, 我们详细分析了RNN为什么会存在梯度消失现象, 本质上就是因为反向传播的时候, 有 ∏ j = k + 1 t ∂ S j ∂ S j − 1 \prod_{j=k+1}^{t} \frac{\partial S_{j}}{\partial S_{j-1}} ∏j=k+1t∂Sj−1∂Sj, 因为这个连乘, 才会有梯度消失或者爆炸现象,当然这里的梯度消失现象不是说后面时刻参数更新的时候梯度为0, 而是说后面时刻梯度更新的时候, 前面更远时刻的序列对参数更新是起不到作用的,梯度被近距离梯度主导, 所以才说RNN无法捕捉长期依赖。 而解决上面这个问题的根本,那就是让这个连乘保持一个常量。 这个是怎么做到的呢?
我们先来看看这个LSTM里面那个参数相当于RNN里面的这个 S j , S j − 1 S_j, S_{j-1} Sj,Sj−1, 在RNN中, 这两个表示的是某个时刻当前的隐藏状态与前一个隐藏状态, 在LSTM中, 哪个参数是这个作用呢? 很明显,就是这里的 C j , C j − 1 C_j, C_{j-1} Cj,Cj−1,如果你说 a j , a j − 1 a_j, a_{j-1} aj,aj−1, 那么看看公式就会知道, 这里的最终隐态值与RNN中的隐态值扮演的角色差异还是很大的, 还不如 C t , C t − 1 C_t, C_{t-1} Ct,Ct−1, 为什么呢?
由LSTM的结构可知, 在每个迭代周期, C t C_t Ct是需要不断更新的, 一部分是由 C t − 1 C_{t-1} Ct−1演化而来, 一部分是本时刻加入的新信息, 这个其实就和RNN的 S j S_j Sj类似(因为我这里可能符号总是换, 希望能明白我在说啥哈哈, 这里的S和a,有时候还有h, 都表示的隐藏状态的值, 而C表示的是记忆单元cell, S一般是花书上的表示方法, 而a是吴恩达老师喜欢的表示, h是李宏毅老师喜欢的方式,其实是一个东西, 符号不同而已)。
而如果根据反向传播把LSTM的梯度结构展开, 也会包含连乘项, 正是这里的
(
∏
j
=
k
+
1
t
∂
C
j
∂
C
j
−
1
)
\left(\prod_{j=k+1}^{t} \frac{\partial C_{j}}{\partial C_{j-1}}\right)
(∏j=k+1t∂Cj−1∂Cj), 所以我们在这里研究一下这一项, 因为LSTM的反向传播会有很多条路, 推导公式也非常的复杂, 就不在这里花时间推这个东西了, 后面会放出一个数学公式推导的链接, 感兴趣的可以看一下,自己去推。 我们就研究一下这一条路, 就可以看出LSTM的伟大之处, 先上公式:
i
t
=
σ
(
W
i
⋅
[
h
t
−
1
,
x
t
]
+
b
i
)
f
t
=
σ
(
W
f
⋅
[
h
t
−
1
,
x
t
]
+
b
f
)
o
t
=
σ
(
W
o
[
h
t
−
1
,
x
t
]
+
b
o
)
C
~
t
=
tanh
(
W
C
⋅
[
h
t
−
1
,
x
t
]
+
b
C
)
C
t
=
f
t
∗
C
t
−
1
+
i
t
∗
C
~
t
h
t
=
o
t
∗
tanh
(
C
t
)
\begin{aligned} i_{t} &=\sigma\left(W_{i} \cdot\left[h_{t-1}, x_{t}\right]+b_{i}\right) \\ f_{t} &=\sigma\left(W_{f} \cdot\left[h_{t-1}, x_{t}\right]+b_{f}\right) \\ o_{t} &=\sigma\left(W_{o}\left[h_{t-1}, x_{t}\right]+b_{o}\right) \\ \tilde{C}_{t} &=\tanh \left(W_{C} \cdot\left[h_{t-1}, x_{t}\right]+b_{C}\right) \\ C_{t} &=f_{t} * C_{t-1}+i_{t} * \tilde{C}_{t} \\ h_{t} &=o_{t} * \tanh \left(C_{t}\right) \end{aligned}
itftotC~tCtht=σ(Wi⋅[ht−1,xt]+bi)=σ(Wf⋅[ht−1,xt]+bf)=σ(Wo[ht−1,xt]+bo)=tanh(WC⋅[ht−1,xt]+bC)=ft∗Ct−1+it∗C~t=ot∗tanh(Ct)
回忆一下上面LSTM中的
C
t
C_t
Ct,它是
f
t
f_t
ft(遗忘门)、
i
t
i_t
it(输入门)和
C
~
t
\tilde{C}_{t}
C~t (候选单元状态)的函数,而这些变量又都是
C
t
−
1
C_{t-1}
Ct−1的函数(因为它们都是
h
t
−
1
h_{t-1}
ht−1的函数)。通过多变量的链式法则,我们得到:
∂
C
t
∂
C
t
−
1
=
∂
C
t
∂
f
t
∂
f
t
∂
h
t
−
1
∂
h
t
−
1
∂
C
t
−
1
+
∂
C
t
∂
i
t
∂
i
t
∂
h
t
−
1
∂
h
t
−
1
∂
C
t
−
1
+
∂
C
t
∂
C
~
t
∂
C
~
t
∂
h
t
−
1
∂
h
t
−
1
∂
C
t
−
1
+
∂
C
t
∂
C
t
−
1
\begin{aligned} \frac{\partial C_{t}}{\partial C_{t-1}}=\frac{\partial C_{t}}{\partial f_{t}} \frac{\partial f_{t}}{\partial h_{t-1}} \frac{\partial h_{t-1}}{\partial C_{t-1}}+\frac{\partial C_{t}}{\partial i_{t}} \frac{\partial i_{t}}{\partial h_{t-1}} \frac{\partial h_{t-1}}{\partial C_{t-1}}+ \frac{\partial C_{t}}{\partial \tilde{C}_{t}} \frac{\partial \tilde{C}_{t}}{\partial h_{t-1}} \frac{\partial h_{t-1}}{\partial C_{t-1}}+\frac{\partial C_{t}}{\partial C_{t-1}} \end{aligned}
∂Ct−1∂Ct=∂ft∂Ct∂ht−1∂ft∂Ct−1∂ht−1+∂it∂Ct∂ht−1∂it∂Ct−1∂ht−1+∂C~t∂Ct∂ht−1∂C~t∂Ct−1∂ht−1+∂Ct−1∂Ct
把上面的导数化简出来:
∂
C
t
∂
C
t
−
1
=
C
t
−
1
σ
′
(
⋅
)
W
f
∗
o
t
−
1
tanh
′
(
C
t
−
1
)
+
C
~
t
σ
′
(
⋅
)
W
i
∗
o
t
−
1
tanh
′
(
C
t
−
1
)
+
i
t
tanh
′
(
⋅
)
W
C
∗
o
t
−
1
tanh
′
(
C
t
−
1
)
+
f
t
\begin{aligned} \frac{\partial C_{t}}{\partial C_{t-1}}=& C_{t-1} \sigma^{\prime}(\cdot) W_{f} * o_{t-1} \tanh ^{\prime}\left(C_{t-1}\right) +\tilde{C}_{t} \sigma^{\prime}(\cdot) W_{i} * o_{t-1} \tanh ^{\prime}\left(C_{t-1}\right) +i_{t} \tanh ^{\prime}(\cdot) W_{C} * o_{t-1} \tanh ^{\prime}\left(C_{t-1}\right)+f_{t} \end{aligned}
∂Ct−1∂Ct=Ct−1σ′(⋅)Wf∗ot−1tanh′(Ct−1)+C~tσ′(⋅)Wi∗ot−1tanh′(Ct−1)+ittanh′(⋅)WC∗ot−1tanh′(Ct−1)+ft
而加上连乘符号, 也就是个这样
(
∏
j
=
k
+
1
t
∂
C
j
∂
C
j
−
1
)
\left(\prod_{j=k+1}^{t} \frac{\partial C_{j}}{\partial C_{j-1}}\right)
(∏j=k+1t∂Cj−1∂Cj), 即这个连乘就是在k个时间步的反向传播过程, 这个其实和普通的RNN差不多, 拿过那个公式来看一下就明白了:
∏
j
=
k
+
1
t
∂
S
j
∂
S
j
−
1
=
∏
j
=
k
+
1
t
tanh
′
W
s
\prod_{j=k+1}^{t} \frac{\partial S_{j}}{\partial S_{j-1}}=\prod_{j=k+1}^{t} \tanh ^{\prime} W_{s}
j=k+1∏t∂Sj−1∂Sj=j=k+1∏ttanh′Ws
下面就看看这两个的区别, RNN上一篇文章已经分析了, 这里的
tanh
′
W
s
\tanh ^{\prime} W_{s}
tanh′Ws, 始终是一个大于1或者是[0,1]之间的数, 由
W
s
W_s
Ws具体决定, 那么连乘之后就可以引起梯度消失或者爆炸, 而LSTM中的这个偏导数
∂
C
t
∂
C
t
−
1
\frac{\partial C_{t}}{\partial C_{t-1}}
∂Ct−1∂Ct, 根据后面这一长串, 我们会发现这个数在任何时间步都可以取大于1或者落在[0,1]之间的数, 所以即使这里连乘, 也不一定会梯度消失或者爆炸, 因为这个地方并不是取决于某个参数的大小, 而是很多个参数共同决定, 并且这里的这些参数
f
t
,
o
t
,
i
t
,
C
~
t
f_t, o_t, i_t, \tilde C_t
ft,ot,it,C~t都是通过网络学习来设置的(取决于当前输入和隐状态)。 因此, 这样的网络通过调节对应门的值来决定何时让梯度消失, 何时保留梯度, 这就是LSTM超级牛的地方。上一篇文章中我们有个例子, 直接截图过来了:

如果换成LSTM的话, t=20的时候参数更新的公式中,后面那些就不一定都是0了, RNN的时候是0, 是因为越往前, 连乘越厉害, 导致了梯度消失, 前面时刻的信息对于t=20的时候不起作用。 而LSTM的话, 由于LSTM会自动控制
∂
C
t
∂
C
t
−
1
\frac{\partial C_{t}}{\partial C_{t-1}}
∂Ct−1∂Ct的大小, 所以即使这里连乘,也不一定会出现梯度消失, 当LSTM感觉前面某个时刻的信息不重要, 比如was时刻的时候会觉得which巴拉巴拉那一些都不重要, 这时候就可以让这个连乘等于0, 把which这一些给过滤掉,而如果感觉某个时刻重要, was时刻感觉cat时刻信息重要, 那么就通过调控各个参数, 使得这里的连乘不是0, 这样cat时刻的信息就对当前was时刻的参数更新起到了帮助。 这里就变成了这样的一个感觉:
∂
L
20
∂
W
x
=
∂
L
20
∂
O
20
∂
O
20
∂
C
20
∂
C
20
∂
W
x
+
∂
L
20
∂
O
20
∂
O
20
∂
C
20
∂
C
20
∂
C
19
∂
C
19
∂
W
x
+
0....
+
0
+
∂
L
20
∂
O
20
∂
O
20
∂
C
20
(
∏
j
=
k
+
1
t
∂
C
j
∂
C
j
−
1
)
∂
C
2
∂
W
x
+
0
\begin{aligned} \frac{\partial L_{20}}{\partial W_{x}}=\frac{\partial L_{20}}{\partial O_{20}} \frac{\partial O_{20}}{\partial C_{20}} \frac{\partial C_{20}}{\partial W_{x}}+\frac{\partial L_{20}}{\partial O_{20}} \frac{\partial O_{20}}{\partial C_{20}} \frac{\partial C_{20}}{\partial C_{19}} \frac{\partial C_{19}}{\partial W_{x}} + 0....+ 0 + \frac{\partial L_{20}}{\partial O_{20}} \frac{\partial O_{20}}{\partial C_{20}}(\prod_{j=k+1}^{t} \frac{\partial C_{j}}{\partial C_{j-1}})\frac{\partial C_{2}}{\partial W_{x}}+ 0\end{aligned}
∂Wx∂L20=∂O20∂L20∂C20∂O20∂Wx∂C20+∂O20∂L20∂C20∂O20∂C19∂C20∂Wx∂C19+0....+0+∂O20∂L20∂C20∂O20(j=k+1∏t∂Cj−1∂Cj)∂Wx∂C2+0
这里也更加看到了门函数的强大功能, 门函数赋予了网络决定梯度消失程度的能力, 以及能够在每一个时间步设置不同的值, 它们的值是当前的输入和隐藏状态的习得函数。 当然这里还有起作用的一个东西就是那一长串里面的加法运算, 这种加法运算不想乘法那么果断(一个0就整体0), 加性的单元更新状态使得导数表现得更加“良性”。
当然这里还有个细节就是LSTM的反向传播并不是只有C这一条路,其实在其他路上依然会有梯度消失或者梯度爆炸的现象发生, 但LSTM只要改善了一条路径上的梯度, 就拯救了总体的远距离的依赖捕捉。至于详细的反向传播算法推导, 下面的链接给出了一篇, 当然下面的numpy实现LSTM的前向传播和反向传播的过程也稍微涉及一点。
5. LSTM前向传播的numpy实现及keras中LSTM层简单介绍
这里分两块, 第一块是用numpy简单的实现一下LSTM的前向传播和反向传播, 这样可以更好的弄清楚上面公式中各个变量的维度变化和LSTM的底层计算原理。 第二块是keras的LSTM层, 会介绍实际中如何使用LSTM。
5.1 LSTM的前向传播的numpy实现
关于LSTM的前向传播,同样我们需要先从单个的单元进行分析

右边是前向传播的公式, 看左边的示意图我们发现, 该单元的输入是xt, a_prev, c_prev, 输出是ct, at, yt_pred。 依然假设每个时间步我们输入10个样本, input_dim是3, units是5, 那我们的输入(3, 10), a_prev是(5, 10), c_prev(5, 10)(这俩其实就和DNN那的输出一样, 输入是(3,10), units是5, 那么输入和第一层之间的W就是(5, 3), 那么WX之后的a就是(5,10)), 下面主要看看每个门中参数的维度:
- 输入门参数: Wf(units, units+input_dim), 这是因为上面先把a_prev和xt罗列了一下, (5, 10)和(3,10)第一维度拼接, 就是(8,10), 所以这里的Wf是(5, 8), 这样两者一乘才是(5,10)。 这里的bf是(5,1), 通过广播之后,得到的输出依然是(5,10)
- 更新门参数: 分析和上面同理, 所以Wi(5, 8), bi(5, 1)
- 输出门参数: Wo(5, 8), bo(5,1)
- C~t: Wc(5,8), bc(5,1)
- 而输出Wy, 这个的维度就是(n_y, units), by(n_y, 1), 因为这个和最终的输出有关了。
- 输出a_t: (5, 10), c_t(5, 10)
所以我们会发现这个Ct的维度是(5, 10), 也就是每个样本在每个神经元都有自己的记忆, 并且互不影响。
基于上面的分析, 就可以实现一步cell的前向传播了:
def lstm_cell_forward(xt, a_prev, c_prev, parametes):
# 得到参数
Wf = parameters["Wf"]
bf = parameters["bf"]
Wi = parameters["Wi"]
bi = parameters["bi"]
Wc = parameters["Wc"]
bc = parameters["bc"]
Wo = parameters["Wo"]
bo = parameters["bo"]
Wy = parameters["Wy"]
by = parameters["by"]
# 得到输入和输出维度
input_dim, m = xt.shape
n_y, units = Wy.shape
# 拼接a和x
concat = np.zeros([units+input_dim, m)
concat[:units, :] = a_prev
concat[units:, :] = xt
# 根据公式前向传播
ft = sigmoid(np.dot(Wf, concat) + bf)
it = sigmoid(np.dot(Wi, concat) + bi)
cct = np.tanh(np.dot(Wc, concat) + bc)
c_t = ft * c_prev + it * cct
ot = sigmoid(np.dot(Wo, concat) + bo)
a_t = ot * np.tanh(ct)
yt_pred = softmax(np.dot(Wy, a_t) + by)
# 存一下结果
cache = (a_t, c_t, a_prev, c_prev, ft, it, cct, ot, xt, parameters)
return a_t, c_t, yt_pred, cache
使用的时候, 按照维度初始化这些参数, 然后传入即可得到一个时间步的输出信息。 有了一个时间步的输出信息, 多个时间步无非就是一个循环:

这里参数的维度没有变化, 但是输入需要加上时间步的信息, 也就变成了3维, (input_dims, m, T_x)。 同理的这里的a, y, c也都变成了3维(units, m, T_x), (n_y, m, T_x), 因为每个时间步都会有a, y, c的输出
def lstm_forward(x, a0, parameters):
caches = []
# 获取输入和输出维度
input_dim, m, T_x = x.shape
n_y, units = parameters['Wy'].shape
# 初始化输入和输出
a = np.zeros((units, m, T_x))
c = np.zeros((units, m, T_x))
y = np.zeros((n_y, m, T_x))
# 初始化开始的a c
a_next = a0
c_next = np.zeros([units, m]) # 初始记忆为0
# 前向传播
for i in range(T_x):
a_next, c_next, yt, cache = lstm_cell_forward(x[:, :, t], a_next, c_next, parameters)
a[:, :, t] = a_next
c[:, :, t] = c_next
y[:, :, t] = yt
caches.append(cache)
caches = (caches, x)
return a, y, c, caches
至于LSTM的反向传播底层, 这里也不多说了,这个比较复杂, 大部分时间都是在求导, 而实际使用的时候, 比如keras,Pytorch, tf等其实都把反向传播给实现了, 我们并不需要自己去写。 所以我们重点需要知道的是在实际中LSTM到底应该怎么用。
下面就拿最简单实用的keras的LSTM举例。
5.2 Keras的LSTM
keras里面搭建一个LSTM网络非常简单, LSTM层的表示如下:
keras.layers.recurrent.LSTM(units, activation='tanh', recurrent_activation='hard_sigmoid', use_bias=True, kernel_initializer='glorot_uniform', recurrent_initializer='orthogonal', bias_initializer='zeros', unit_forget_bias=True, kernel_regularizer=None, recurrent_regularizer=None, bias_regularizer=None, activity_regularizer=None, kernel_constraint=None, recurrent_constraint=None, bias_constraint=None, dropout=0.0, recurrent_dropout=0.0)
这里面有几个核心的参数需要说一下, 其实RNN那个地方也作了铺垫:
- units: 这个指的就是隐藏层神经元的个数, 也是该层的输出维度
- input_dim: 这个是输入数据的特征数量, 当该层作为模型首层时, 就需要指定这个
- return_sequences:布尔值,默认False,控制返回类型。若为True则返回整个序列,否则仅返回输出序列的最后一个输出, 这个也就是说如果是True, 就返回每个时间步的输出, 而False,只返回最后一个时间步的输出。 这个参数来自于LSTM的父类, 这里的输出指的是hidden state里面的值, 也就是上面符号里面的h或者a。
- return_state: 默认为False, 表示是否返回输出之外的最后一个状态, 这个和return_sequences不一样, 最后一个状态, 其实是包含两个值的, 一个是hidden state的值, 一个是cell state的值,也就是h和c。
- return_sequences的True表示返回所有时间步中的h, False表示返回最后一个时间步的h
- return_state的True表示返回最后一个时间步的h和c, False表示不返回。
详细的看下面的keras中的LSTM内部机制代码理解的链接
- timesteps: 这个就是时间序列的长度或者说时间步有多少个。 比如I love China。 时间序列的长度为3, 所以这里的timesteps就是3.
- input_length: 这个其实对应timesteps, 表示输入序列的长度。 当需要在该层后连接Flatten层,然后又要连接Dense层时,需要指定该参数,否则全连接的输出无法计算出来。
LSTM层接收的输入, 是(samples, timesteps, input_dim)的3D张量, 输出的维度, 如果return_sequences=True, 那么就返回(samples, timesteps, units)的3D张量, 否则就是(samples, units)的2D张量。 这个还是举个例子吧: 比如我们输入100个句子, 每个句子有5个单词, 而每个参数是64维词向量embedding了。 那么samples=100, timesteps=5, input_dim=64。

所以, 只要根据规定的输入去构造自己的数据, 然后就可以进行神经网络的搭建, 下面也给出一个小demo:
X = Input(shape=[trainx.shape[1], trainx.shape[2], ])
h = LSTM(
units=10,
activation='relu',
kernel_initializer='random_uniform',
bias_initializer='zeros'
)(X)
Y = Dense(1)(h)
model = Model(X, Y)
上面这个是最简单的一层LSTM网络, 当然也可以搭多层, 多层的话一般前面的层return_sequences为True, 最后一层return_sequences为false。
model = Sequential()
model.add(LSTM(128, input_dim=64, input_length=5, return_sequences=True))
model.add(LSTM(256, return_sequences=False))
就是一个这样的感觉,

6. LSTM 中的激活函数及LSTM的局限
LSTM的3个门使用的是sigmoid的激活函数, 而生成候选记忆时,采用了双曲正切tanh作为激活函数。这两个激活函数都是饱和的,也就是说在输入达到一定值的情况下,输出就不会发生变化了。那么,为啥要使用饱和激活函数呢?
对于门控这里就比较容易理解了,sigmoid的输出结果再0-1之间,正好是符合门控的物理意义。而在生成候选记忆的时候,使用Tanh函数,是因为其输出在-1-1之间,这与大多数场景下特征分布式0中心的吻合。此外,Tanh函数在输入为0附近相比,比sigmoid函数有更大的梯度,通常模型收敛更快。 那么Relu呢?Relu在LSTM里面也没有出现过。原因应该也是上面这个,但是Relu是可以用在普通的RNN里面的。
对于普通RNN里面使用激活函数Relu,这里有个技巧: 当采用Relu作为循环神经网络中隐含层的激活函数时, 只用当 W W W的取值在单位矩阵附近时才能取得比较好的效果,因此需要将 W W W矩阵初始化为单位矩阵。 实验证明, 初始化W为单位矩阵并使用Relu激活函数在一些应用中取得了与LSTM相似的结果,并且学习速度比LSTM更快,是一个值得尝试的小技巧。
在计算门输出的时候,通常还有一种变体操作就是加入了窥孔机制,让记忆
c
t
−
1
c_{t-1}
ct−1也参与到了门控的计算中,此时输入门的更新方式变为了
i
t
=
σ
(
W
i
x
t
+
U
i
h
t
−
1
+
V
i
c
t
−
1
+
b
i
)
i_t=\sigma(W_ix_t+U_ih_{t-1}+V_ic_{t-1}+b_i)
it=σ(Wixt+Uiht−1+Vict−1+bi)
那么LSTM有何不足呢?
- LSTM的门控机制仍然不擅长处理更长序列的记忆和训练任务,仍然会暴露梯度消失
- 容易过拟合,dropout方法通常不能给LSTM模型带来泛化能力的大幅度提升
那么,看看GRU吧。
7. LSTM的变体GRU
GRU是LSTM网络的一种效果很好的变体,2014年提出, 它较LSTM网络的结构更加简单,而且效果也很好,因此也是当前非常流形的一种网络。GRU既然是LSTM的变体,因此也是可以解决RNN网络中的长依赖问题。
首先是看一下GRU内部的一个计算逻辑:

与上面的LSTM相比, 我们会发现这里成了两个门, 一个是
z
t
z_t
zt,这个叫做更新门, 看第四个公式就会发现, 这个门其实组合了LSTM中的输入门和遗忘门,既控制需要从前一时刻的隐藏层
h
t
−
1
h_{t-1}
ht−1中遗忘多少信息, 也控制加入多少当前时刻隐藏层的记忆信息
h
~
t
\tilde h_t
h~t 来得到最后的隐藏层状态
h
t
h_t
ht, 一个是
r
t
r_t
rt, 这个叫做重置门, 用来控制当前时刻的记忆更新需要保留多少之前的记忆。
另一个改变是这里的hidden state和cell state进行了合并, 两者保持了一致, 成了一个输出, 而LSTM那里这俩是不一样的。下面就看看这些公式到底在干啥:
h
~
t
=
tanh
(
W
⋅
[
r
t
∗
h
t
−
1
,
x
t
]
)
h
t
=
(
1
−
z
t
)
∗
h
t
−
1
+
z
t
∗
h
~
t
\tilde{h}_{t}=\tanh \left(W \cdot\left[r_{t} * h_{t-1}, x_{t}\right]\right) \\ h_{t}=\left(1-z_{t}\right) * h_{t-1}+z_{t} * \tilde{h}_{t}
h~t=tanh(W⋅[rt∗ht−1,xt])ht=(1−zt)∗ht−1+zt∗h~t
前两个公式是两个门的计算公式, sigmoid函数, 把这两个门的输出控制到了0-1, 看上面 h ~ t \tilde h_{t} h~t的更新, 这个表示的是当前时刻的新信息, 如果 r t = 1 r_t=1 rt=1, 这个其实就和LSTM的 C ~ t \tilde C_t C~t是一样的了, 也更容易理解, 就是表示当前时刻的信息, 而加了这么一个门之后, 就表示我当时时刻的信息更新,可以自由的选择应该回忆多少前面的信息, 所以变得更加灵活了些, 但依然表示当前时刻的信息。 而后面的隐态更新公式就是在说我当前时刻最后的状态是有多少取决于前面时刻,多少取决于当前时刻信息, 如果明白了LSTM的话,这个地方估计比较好理解。 比如还是那个例子The cat, which…, was hungry! was时刻的时候, 既然要用到cat那里的信息, 那在which…这些中途传播的时候, 直接让 z t z_t zt几乎为0, 那么就得到了 h t = h t − 1 h_t=h_{t-1} ht=ht−1, 就可以把cat那里的状态传到was。并且由于这里时间步之间传递的时候,都是一些这样的等式传递, 即使时间步很长, 但也不太容易梯度消失。 并且由于去掉了输出门,参数也会减少很多。
关于GRU的太多细节, 这里就不多说了,很多都是和LSTM类似,毕竟是基于LSTM改变的一个变体, 与LSTM相比,GRU的优势就是内部少了一个”门控“,参数比LSTM少,因而训练稍快或需要更少的数据来泛化, 达到的效果往往能和LSTM差不多, 但是GRU不如LSTM灵活, 如果有足够的数据, LSTM的强大表达能力可能会产生更好的效果。 至于使用, keras里面也有GRU层可以帮助我们搭建GRU网络。 核心参数和LSTM的基本一样, 可以参考LSTM那里。
6. 总结
这篇文章, 把RNN的两个常用变体LSTM和GRU整理了一遍, 重点放在了LSTM上, 因为GRU可以看成一个LSTM的简化版本,是在LSTM上的改进,有很多思想借鉴了LSTM, 所以LSTM的原理和细节作为了重点整理。 下面简单梳理:
首先, 从RNN的梯度消失和不能捕捉长期依赖开始引出了LSTM, 这个结构就是为了解决RNN的这两个不足, 然后介绍了RNN的内部细节及计算逻辑, LSTM的关键就是引入了可选择性的记忆单元和三个门控, 使得它变得更加灵活,可以自由的管理自己的记忆, 每一步的隐态更新都会衡量过去的信息与当前信息, 通过门控机制更合理的去更新记忆,然后去更新隐藏状态。 有了门控, 有了加性机制,也帮助了LSTM减缓梯度消失, 使得反向传播过程中的连乘现象变得自己可控, 当前时刻的某些参数更新取决于过去哪些时刻让LSTM自己来选择。 最后通过numpy实现了一下LSTM的前向传播过程更好的帮助我们去了解细节,比如各个变量的维度信息。
最后简单介绍了LSTM的一个变体叫做GRU, GRU在LSTM的基础上把遗忘门和输入门进行了合并, 改成了一个更新门, 依赖这一个门就可以自由的选择当前时刻的信息取决于多少过去,多少当前。 然后还加入了一个重置门, 来控制当前时刻的信息更新有多少依赖于前一时刻的隐态, 增加了一定的灵活性, 并且还把cell 和hidden合并成了一个输出。 这个结构使得网络更加容易训练, 参数较少, 但是表达能力不如LSTM强。
参考:
下面这些知识能理解了吗?具体参考见最后一个链接。
“LSTM 能解决梯度消失/梯度爆炸”是对 LSTM 的经典误解。
- 首先需要明确的是,RNN 中的梯度消失/梯度爆炸和普通的 MLP 或者深层 CNN 中梯度消失/梯度爆炸的含义不一样。MLP/CNN 中不同的层有不同的参数,各是各的梯度;而 RNN 中同样的权重在各个时间步共享,最终的梯度 g = 各个时间步的梯度 g_t 的和。 这个其实通过上面的推导应该是能理解了。
- 由 1 中所述的原因,RNN 中总的梯度是不会消失的。即便梯度越传越弱,那也只是远距离的梯度消失,由于近距离的梯度不会消失,所有梯度之和便不会消失。RNN 所谓梯度消失的真正含义是,梯度被近距离梯度主导,导致模型难以学到远距离的依赖关系。
- LSTM 中梯度的传播有很多条路径, c t − 1 → c t = f t ⊙ c t − 1 + i t ⊙ c t ^ c_{t-1} \rightarrow c_{t}=f_{t} \odot c_{t-1}+i_{t} \odot \hat{c_{t}} ct−1→ct=ft⊙ct−1+it⊙ct^这条路径上只有逐元素相乘和相加的操作,梯度流最稳定;但是其他路径(例如 c t − 1 → h t − 1 → i t → c t c_{t-1} \rightarrow h_{t-1} \rightarrow i_{t} \rightarrow c_{t} ct−1→ht−1→it→ct )上梯度流与普通 RNN 类似,照样会发生相同的权重矩阵反复连乘。
- LSTM 刚提出时没有遗忘门,或者说相当于 f t = 1 f_t=1 ft=1, 这时候 c t − 1 → c t c_{t-1} \rightarrow c_{t} ct−1→ct直接相连在短路路径上, d l / d c t dl/dc_t dl/dct可以无损的传递给 d l / d c t − 1 dl/dc_{t-1} dl/dct−1, 从而这条路径上的梯度畅通无阻,不会消失。类似于ResNet的残差连接。
- 但是在其他路径上,LSTM 的梯度流和普通 RNN 没有太大区别,依然会爆炸或者消失。由于总的远距离梯度 = 各条路径的远距离梯度之和,即便其他远距离路径梯度消失了,只要保证有一条远距离路径(就是上面说的那条高速公路)梯度不消失,总的远距离梯度就不会消失(正常梯度 + 消失梯度 = 正常梯度)。因此 LSTM 通过改善一条路径上的梯度问题拯救了总体的远距离梯度。
- 同样,因为总的远距离梯度 = 各条路径的远距离梯度之和,高速公路上梯度流比较稳定,但其他路径上梯度有可能爆炸,此时总的远距离梯度 = 正常梯度 + 爆炸梯度 = 爆炸梯度,因此LSTM 仍然有可能发生梯度爆炸。不过,由于 LSTM 的其他路径非常崎岖,和普通 RNN 相比多经过了很多次激活函数(导数都小于 1),因此 LSTM 发生梯度爆炸的频率要低得多。实践中梯度爆炸一般通过梯度裁剪来解决。
- 对于现在常用的带遗忘门的 LSTM 来说,6 中的分析依然成立,而 5 分为两种情况:其一是遗忘门接近 1(例如模型初始化时会把 forget bias 设置成较大的正数,让遗忘门饱和),这时候远距离梯度不消失;其二是遗忘门接近 0,但这时模型是故意阻断梯度流的,这不是 bug 而是 feature(例如情感分析任务中有一条样本 “A,但是 B”,模型读到“但是”后选择把遗忘门设置成 0,遗忘掉内容 A,这是合理的)。当然,常常也存在 f 介于 [0, 1] 之间的情况,在这种情况下只能说 LSTM 改善(而非解决)了梯度消失的状况。
- 最后,别总是抓着梯度不放。梯度只是从反向的、优化的角度来看的,多从正面的、建模的角度想想 LSTM 有效性的原因。选择性、信息不变性都是很好的视角
1万+

被折叠的 条评论
为什么被折叠?



