题目1
(1)找出下图中所示的 NFA 中所有标号为 aabb 的路径。这个 NFA 接受 aabb 吗?
![![[Pasted image 20251012172946.png]]](https://i-blog.csdnimg.cn/direct/f2c6d02c042047f3aaa04d262ba59add.png)
所有标号为 aabb 的路径:0 -> 1 -> 2 -> 3
因为有1条标号为 aabb 的路径,所以这个 NFA 接受 aabb 。
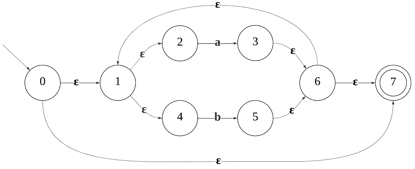
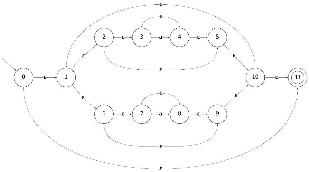
(2)对于下图的 NFA,重复练习(1)。
![![[Pasted image 20251012173013.png]]](https://i-blog.csdnimg.cn/direct/2d36be1b955f47c393d42755db97e93a.png)
记号定义(精确说明每段都包含哪些符号)
先定义若干“路径块”:
- Ae:(e→ε(e+1)mod 4→ε(e+2)mod 4→ε(e+3)mod 4→εe),e∈{0,1,2,3}A_e:(e \xrightarrow{\varepsilon} (e + 1)\mod 4 \xrightarrow{\varepsilon} (e + 2)\mod 4 \xrightarrow{\varepsilon} (e + 3)\mod 4 \xrightarrow{\varepsilon} e),e \in \{0,1,2,3\}Ae:(eε(e+1)mod4ε(e+2)mod4ε(e+3)mod4εe),e∈{0,1,2,3}
—— 一个只含 ε 的完整环,从 e 回到 e(可重复任意次)。 - Bu→v:(u→εv)B_{u \xrightarrow{} v}: (u \xrightarrow{\varepsilon} v)Buv:(uεv)
—— 一个只含 ε 的从 u 到 v 的串。 - C0:(0→a1)C_0:(0 \xrightarrow{a} 1)C0:(0a1)
—— 从 0 出发消耗一个 a。 - C3:(3→a0)C_3:(3 \xrightarrow{a} 0)C3:(3a0)
—— 从 3 出发消耗一个 a。 - D1:(1→b2)D_1:(1 \xrightarrow{b} 2)D1:(1b2)
—— 从 1 出发消耗一个 b。 - D2:(2→b3)D_2:(2 \xrightarrow{b} 3)D2:(2b3)
—— 从 2 出发消耗一个 b。
说明:
上面这些块可以在必要时通过额外的 A 或 B(即插入若干 ε 串或 ε 环)在任意位置重复或衔接,从而表示“空串循环的可能”。
形式化的路径集合
字符串aabb必须顺序消耗 4 个带符号的边:第 1 个 a、第 2 个 a、第 1 个 b、第 2 个 b。
对每一位有两种选择(第 i 个 a 可以用C0C_0C0或C3C_3C3,第 j 个 b 可以用D1D_1D1或D2D_2D2)。
在任意两段消耗块之间都可以插入任意次的 ε 环(用AeA_eAe表示)并用合适的 ε 串连接(用Bu→vB_{u\xrightarrow{} v}Buv表示)。
因此,所有接受aabb的路径可写成如下形式的集合:
P={Ae1p0Bu1→v1 X1 Ae2p1Bu2→v2 X2 Ae3p2Bu3→v3 Y1 Ae4p3Bu4→v4 Y2 Ae5p4Bu5→v5}p0,p1,p2,p3,p4∈N, X1,X2∈{C0,C3}, Y1,Y2∈{D1,D2}对每个 Bui→vi 的取值分类讨论:Bu1→v1:u=0,{v=0,X1=C0;v=3,X1=C3.Bu2→v2:u={1,X1=C0;0,X1=C3;v={0,X2=C0;3,X2=C3.Bu3→v3:u={1,X2=C0;0,X2=C3;v={1,Y1=D1;2,Y1=D2.Bu4→v4:u={2,Y1=D1;3,Y1=D2;v={1,Y2=D1;2,Y2=D2.Bu5→v5:u={2,Y2=D1;3,Y2=D2;v=3. \begin{aligned} &\mathcal{P} = \left\{ A_{e_1}^{p_0} B_{u_1 \xrightarrow{} v_1}\, X_1\, A_{e_2}^{p_1} B_{u_2 \xrightarrow{} v_2}\, X_2\, A_{e_3}^{p_2} B_{u_3 \xrightarrow{} v_3}\, Y_1\, A_{e_4}^{p_3} B_{u_4 \xrightarrow{} v_4}\, Y_2\, A_{e_5}^{p_4} B_{u_5 \xrightarrow{} v_5} \right\}\\ &p_0,p_1,p_2,p_3,p_4 \in \mathbb{N},\ X_1,X_2 \in \{C_0, C_3\},\ Y_1,Y_2 \in \{D_1, D_2\}\\ &\text{对每个 } B_{u_i \xrightarrow{} v_i} \text{ 的取值分类讨论:}\\ &B_{u_1 \xrightarrow{} v_1}:\quad u = 0, \quad \begin{cases} v = 0, & X_1 = C_0;\\ v = 3, & X_1 = C_3. \end{cases} \\[6pt] &B_{u_2 \xrightarrow{} v_2}:\quad u = \begin{cases} 1, & X_1 = C_0;\\ 0, & X_1 = C_3; \end{cases} \quad v = \begin{cases} 0, & X_2 = C_0;\\ 3, & X_2 = C_3. \end{cases} \\[6pt] &B_{u_3 \xrightarrow{} v_3}:\quad u = \begin{cases} 1, & X_2 = C_0;\\ 0, & X_2 = C_3; \end{cases} \quad v = \begin{cases} 1, & Y_1 = D_1;\\ 2, & Y_1 = D_2. \end{cases} \\[6pt] &B_{u_4 \xrightarrow{} v_4}:\quad u = \begin{cases} 2, & Y_1 = D_1;\\ 3, & Y_1 = D_2; \end{cases} \quad v = \begin{cases} 1, & Y_2 = D_1;\\ 2, & Y_2 = D_2. \end{cases} \\[6pt] &B_{u_5 \xrightarrow{} v_5}:\quad u = \begin{cases} 2, & Y_2 = D_1;\\ 3, & Y_2 = D_2; \end{cases} \quad v = 3. \end{aligned} P={Ae1p0Bu1v1X1Ae2p1Bu2v2X2Ae3p2Bu3v3Y1Ae4p3Bu4v4Y2Ae5p4Bu5v5}p0,p1,p2,p3,p4∈N, X1,X2∈{C0,C3}, Y1,Y2∈{D1,D2}对每个 Buivi 的取值分类讨论:Bu1v1:u=0,{v=0,v=3,X1=C0;X1=C3.Bu2v2:u={1,0,X1=C0;X1=C3;v={0,3,X2=C0;X2=C3.Bu3v3:u={1,0,X2=C0;X2=C3;v={1,2,Y1=D1;Y1=D2.Bu4v4:u={2,3,Y1=D1;Y1=D2;v={1,2,Y2=D1;Y2=D2.Bu5v5:u={2,3,Y2=D1;Y2=D2;v=3.
这里每一项的含义是: - (Api)(A^{p_i})(Api):表示在该位置插入pip_ipi次完整的 ε 环(允许pi=0p_i = 0pi=0表示不插入);
- (X1,X2)(X_1, X_2)(X1,X2):表示前两个 a 的选择:可以是 C0C_0C0(从 0 读 a)或 C3C_3C3(从 3 读 a);
- (Y1,Y2)(Y_1, Y_2)(Y1,Y2):表示后两个 b 的选择:可以是 D1D_1D1(从 1 读 b)或 D2D_2D2(从 2 读 b)。
因为有标号为 aabb 的路径,所以这个 NFA 接受 aabb 。
(3)将上面两个图的NFA转为DFA。
对于图1:
初始状态:{s0}:q0{q0}→a{s0,s1}:q1{q0}→b{s0}:q0{q1}→a{s0,s1}→ε{s0,s1,s2}:q2{q1}→b{s0,s1}:q1{q2}→a{s0,s1,s2}:q2{q2}→b{s0,s1,s2,s3}:q3{q3}→a{s0,s1,s2}:q2{q3}→b{s0,s1,s2,s3}:q3
\begin{aligned}
&初始状态:\{s_0\}:q_0\\
&\{q_0\}\xrightarrow{a} \{s_0, s_1\} :q_1\\
&\{q_0\}\xrightarrow{b} \{s_0\} :q_0\\
&\{q_1\}\xrightarrow{a} \{s_0, s_1\} \xrightarrow{ε}\{s_0, s_1, s_2\} :q_2\\
&\{q_1\}\xrightarrow{b} \{s_0, s_1\} :q_1\\
&\{q_2\}\xrightarrow{a} \{s_0, s_1, s_2\} :q_2\\
&\{q_2\}\xrightarrow{b} \{s_0, s_1, s_2, s_3\} :q_3\\
&\{q_3\}\xrightarrow{a} \{s_0, s_1, s_2\} :q_2\\
&\{q_3\}\xrightarrow{b} \{s_0, s_1, s_2, s_3\} :q_3\\
\end{aligned}
初始状态:{s0}:q0{q0}a{s0,s1}:q1{q0}b{s0}:q0{q1}a{s0,s1}ε{s0,s1,s2}:q2{q1}b{s0,s1}:q1{q2}a{s0,s1,s2}:q2{q2}b{s0,s1,s2,s3}:q3{q3}a{s0,s1,s2}:q2{q3}b{s0,s1,s2,s3}:q3
得到的DFA为:

对于图2:
初始状态:{s0}:q0{s0}→a{s1}→ε{s0,s1,s2,s3}:q0{s0}→ε{s0,s1,s2,s3}:q0{s1}→b{s2}→ε{s0,s1,s2,s3}:q0{s2}→b{s3}→ε{s0,s1,s2,s3}:q0{s3}→a{s0}→ε{s0,s1,s2,s3}:q0
\begin{aligned}
&初始状态:\{s_0\}:q_0\\
&\{s_0\}\xrightarrow{a}\{s_1\}\xrightarrow{ε}\{s_0, s_1, s_2, s_3\} :q_0\\
&\{s_0\}\xrightarrow{ε} \{s_0, s_1, s_2, s_3\}: q_0\\
&\{s_1\}\xrightarrow{b}\{s_2\}\xrightarrow{ε}\{s_0, s_1, s_2, s_3\}: q_0\\
&\{s_2\}\xrightarrow{b}\{s_3\}\xrightarrow{ε}\{s_0, s_1, s_2, s_3\}: q_0\\
&\{s_3\}\xrightarrow{a}\{s_0\}\xrightarrow{ε}\{s_0, s_1, s_2, s_3\}: q_0
\end{aligned}
初始状态:{s0}:q0{s0}a{s1}ε{s0,s1,s2,s3}:q0{s0}ε{s0,s1,s2,s3}:q0{s1}b{s2}ε{s0,s1,s2,s3}:q0{s2}b{s3}ε{s0,s1,s2,s3}:q0{s3}a{s0}ε{s0,s1,s2,s3}:q0
得到的DFA为:
![![[Blank diagram (13) 1.png]]](https://i-blog.csdnimg.cn/direct/1429f6fbcef542abbe876f9139ada156.png)
题目2
将下列正则表达式转换成 DFA。
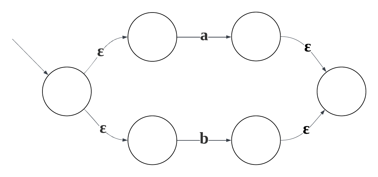
(1)(a|b)*
根据Thompson算法将正则表达式逐步转换成NFA:
e -> a|b:
![![[Blank diagram (4).png|400]]](https://i-blog.csdnimg.cn/direct/9c2780f1832a43328d7f08cf82c2d027.png)
e -> (a|b)*:

利用子集构造算法将NFA转为DFA:
初始状态:{s0}:q0{q0}→ε{s0,s1,s2,s4,s7}:q0{q0}→a{s3}→ε{s1,s2,s3,s4,s6,s7}:q1{q0}→b{s5}→ε{s1,s2,s4,s5,s6,s7}:q2{q1}→a{s3}→ε{s1,s2,s3,s4,s6,s7}:q1{q1}→b{s5}→ε{s1,s2,s4,s5,s6,s7}:q2{q2}→a{s3}→ε{s1,s2,s3,s4,s6,s7}:q1{q2}→b{s5}→ε{s1,s2,s4,s5,s6,s7}:q2
\begin{aligned}
&初始状态:\{s_0\}:q_0\\
&\{q_0\}\xrightarrow{ε}\{s_0, s_1, s_2, s_4, s_7\}:q_0\\
&\{q_0\}\xrightarrow{a}\{s_3\}\xrightarrow{ε}\{s_1, s_2, s_3, s_4, s_6, s_7\}:q_1\\
&\{q_0\}\xrightarrow{b}\{s_5\}\xrightarrow{ε}\{s_1, s_2, s_4, s_5, s_6, s_7\}:q_2\\
&\{q_1\}\xrightarrow{a}\{s_3\}\xrightarrow{ε}\{s_1, s_2, s_3, s_4, s_6, s_7\}:q_1\\
&\{q_1\}\xrightarrow{b}\{s_5\}\xrightarrow{ε}\{s_1, s_2, s_4, s_5, s_6, s_7\}:q_2\\
&\{q_2\}\xrightarrow{a}\{s_3\}\xrightarrow{ε}\{s_1, s_2, s_3, s_4, s_6, s_7\}:q_1\\
&\{q_2\}\xrightarrow{b}\{s_5\}\xrightarrow{ε}\{s_1, s_2, s_4, s_5, s_6, s_7\}:q_2\\
\end{aligned}
初始状态:{s0}:q0{q0}ε{s0,s1,s2,s4,s7}:q0{q0}a{s3}ε{s1,s2,s3,s4,s6,s7}:q1{q0}b{s5}ε{s1,s2,s4,s5,s6,s7}:q2{q1}a{s3}ε{s1,s2,s3,s4,s6,s7}:q1{q1}b{s5}ε{s1,s2,s4,s5,s6,s7}:q2{q2}a{s3}ε{s1,s2,s3,s4,s6,s7}:q1{q2}b{s5}ε{s1,s2,s4,s5,s6,s7}:q2

(2)(a*|b*)*
根据Thompson算法将正则表达式逐步转换成NFA:
e -> a*

e -> b*
![![[Pasted image 20251215202759.png|450]]](https://i-blog.csdnimg.cn/direct/b49e3d7b23d644cc9abd58c2b589396e.png)
e -> a*|b*
![![[Pasted image 20251215203553.png]]](https://i-blog.csdnimg.cn/direct/3680747375f74d168d9f94f9ee030013.png)
e -> (a*|b*)*
![![[Pasted image 20251215203923.png]]](https://i-blog.csdnimg.cn/direct/ed560be27f964bfca063f5f43b694c4e.png)
利用子集构造算法将NFA转为DFA:
初始状态:{s0}:q0{q0}→ε{s0,s1,s2,s3,s6,s7,s11}:q0{q0}→a{s4}→ε{s1,s2,s3,s4,s5,s6,s7,s10,s11}:q1{q0}→b{s8}→ε{s1,s2,s3,s6,s7,s8,s9,s10,s11}:q2{q1}→a{s4}→ε{s1,s2,s3,s4,s5,s6,s7,s10,s11}:q1{q1}→b{s8}→ε{s1,s2,s3,s6,s7,s8,s9,s10,s11}:q2{q2}→a{s4}→ε{s1,s2,s3,s4,s5,s6,s7,s10,s11}:q1{q2}→b{s8}→ε{s1,s2,s3,s6,s7,s8,s9,s10,s11}:q2
\begin{aligned}
&初始状态:\{s_0\}:q_0\\
&\{q_0\}\xrightarrow{ε}\{s_0, s_1, s_2, s_3, s_6, s_7, s_{11}\}:q_0\\
&\{q_0\}\xrightarrow{a}\{s_4\}\xrightarrow{ε}\{s_1, s_2, s_3, s_4, s_5, s_6, s_7, s_{10}, s_{11}\}:q_1\\
&\{q_0\}\xrightarrow{b}\{s_8\}\xrightarrow{ε}\{s_1, s_2, s_3, s_6, s_7, s_8, s_9, s_{10}, s_{11}\}:q_2\\
&\{q_1\}\xrightarrow{a}\{s_4\}\xrightarrow{ε}\{s_1, s_2, s_3, s_4, s_5, s_6, s_7, s_{10}, s_{11}\}:q_1\\
&\{q_1\}\xrightarrow{b}\{s_8\}\xrightarrow{ε}\{s_1, s_2, s_3, s_6, s_7, s_8, s_9, s_{10}, s_{11}\}:q_2\\
&\{q_2\}\xrightarrow{a}\{s_4\}\xrightarrow{ε}\{s_1, s_2, s_3, s_4, s_5, s_6, s_7, s_{10}, s_{11}\}:q_1\\
&\{q_2\}\xrightarrow{b}\{s_8\}\xrightarrow{ε}\{s_1, s_2, s_3, s_6, s_7, s_8, s_9, s_{10}, s_{11}\}:q_2\\
\end{aligned}
初始状态:{s0}:q0{q0}ε{s0,s1,s2,s3,s6,s7,s11}:q0{q0}a{s4}ε{s1,s2,s3,s4,s5,s6,s7,s10,s11}:q1{q0}b{s8}ε{s1,s2,s3,s6,s7,s8,s9,s10,s11}:q2{q1}a{s4}ε{s1,s2,s3,s4,s5,s6,s7,s10,s11}:q1{q1}b{s8}ε{s1,s2,s3,s6,s7,s8,s9,s10,s11}:q2{q2}a{s4}ε{s1,s2,s3,s4,s5,s6,s7,s10,s11}:q1{q2}b{s8}ε{s1,s2,s3,s6,s7,s8,s9,s10,s11}:q2
![![[Blank diagram (9).png|400]]](https://i-blog.csdnimg.cn/direct/1941146bf0b04052a5211c264f32b897.png)
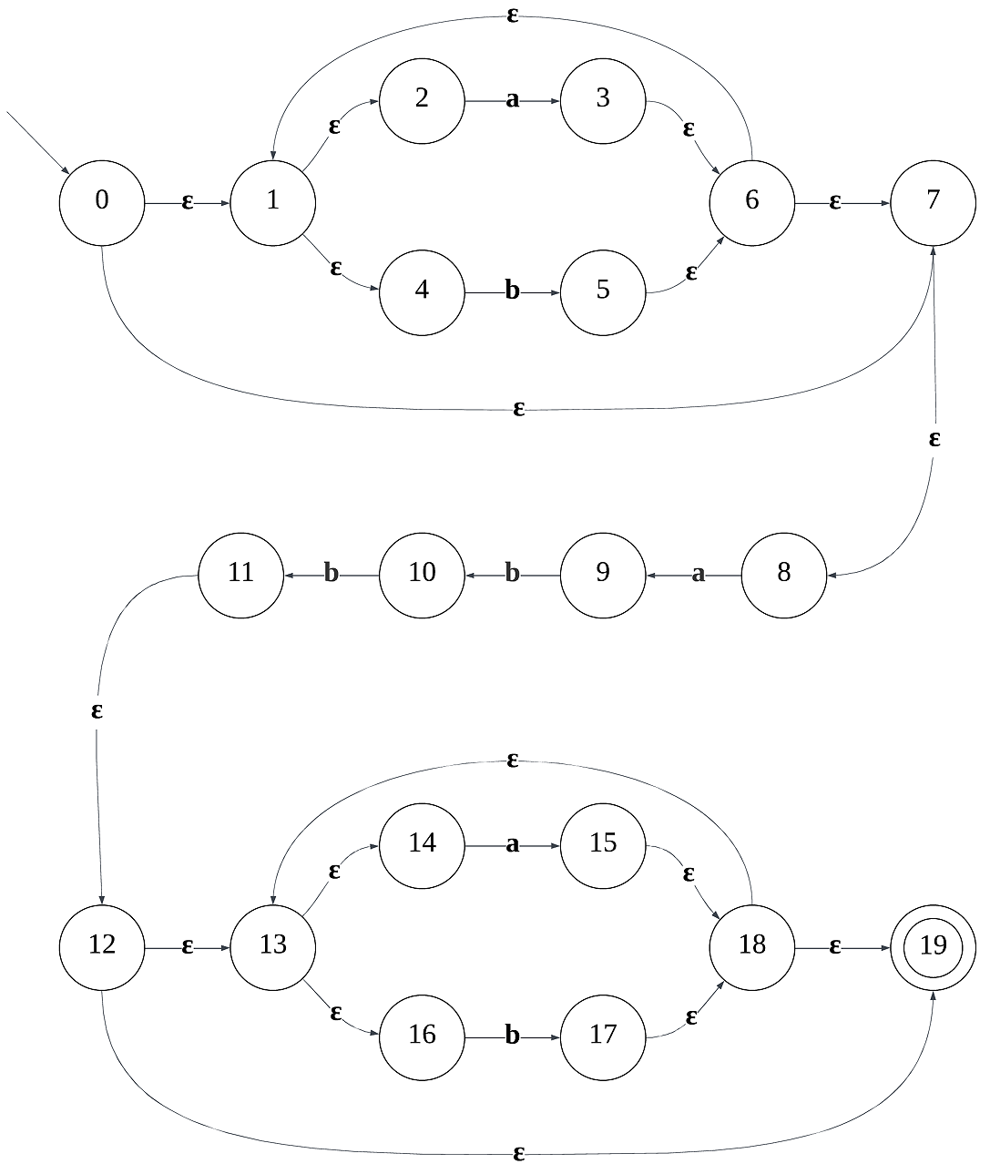
(3)(a|b)* abb(a|b)*
e -> (a|b)*:
![![[Blank diagram (11).png|1000]]](https://i-blog.csdnimg.cn/direct/4c77b722534b42ce87fd1a8e091279ef.png)
e -> (a|b)*abb(a|b)*:
![![[Blank diagram (10).png|1000]]](https://i-blog.csdnimg.cn/direct/73484144f38441a3b9c8f7bb007f10ce.png)
利用子集构造算法将NFA转为DFA:
初始状态:{s0}:q0{q0}→ε{s0,s1,s2,s4,s7,s8}:q0{q0}→a{s3,s9}→ε{s1,s2,s3,s4,s6,s7,s8,s9}:q1{q0}→b{s5}→ε{s1,s2,s4,s5,s6,s7,s8}:q2{q1}→a{s3,s9}→ε{s1,s2,s3,s4,s6,s7,s8,s9}:q1{q1}→b{s5,s10}→ε{s1,s2,s4,s5,s6,s7,s8,s10}:q3{q2}→a{s3,s9}→ε{s1,s2,s3,s4,s6,s7,s8,s9}:q1{q2}→b{s5}→ε{s1,s2,s4,s5,s6,s7,s8}:q2{q3}→a{s3,s9}→ε{s1,s2,s3,s4,s6,s7,s8,s9}:q1{q3}→b{s5,s11}→ε{s1,s2,s4,s5,s6,s7,s8,s11,s12,s13,s14,s16,s19}:q4{q4}→a{s3,s9,s15}→ε{s1,s2,s3,s4,s6,s7,s8,s9,s13,s14,s15,s16,s18,s19}:q5{q4}→b{s5,s17}→ε{s1,s2,s4,s5,s6,s7,s8,s13,s14,s16,s17,s18,s19}:q6{q5}→a{s3,s9,s15}→ε{s1,s2,s3,s4,s6,s7,s8,s9,s13,s14,s15,s16,s18,s19}:q5{q5}→b{s5,s10,s17}→ε{s1,s2,s4,s5,s6,s7,s8,s10,s13,s14,s16,s17,s18,s19}:q7{q6}→a{s3,s9,s15}→ε{s1,s2,s3,s4,s6,s7,s8,s9,s13,s14,s15,s16,s18,s19}:q5{q6}→b{s5,s17}→ε{s1,s2,s4,s5,s6,s7,s8,s13,s14,s16,s17,s18,s19}:q6{q7}→a{s3,s9,s15}→ε{s1,s2,s3,s4,s6,s7,s8,s9,s13,s14,s15,s16,s18,s19}:q5{q7}→b{s5,s11,s17}→ε{s1,s2,s4,s5,s6,s7,s8,s11,s12,s13,s14,s16,s17,s18,s19}:q8{q8}→a{s3,s9,s15}→ε{s1,s2,s3,s4,s6,s7,s8,s9,s13,s14,s15,s16,s18,s19}:q5{q8}→b{s5,s17}→ε{s1,s2,s4,s5,s6,s7,s8,s13,s14,s16,s17,s18,s19}:q6
\begin{aligned}
&初始状态:\{s_0\}:q_0\\
&\{q_0\}\xrightarrow{ε}\{s_0, s_1, s_2, s_4, s_7, s_8\}:q_0\\
&\{q_0\}\xrightarrow{a}\{s_3, s_9\}\xrightarrow{ε}\{s_1, s_2, s_3, s_4, s_6, s_7, s_8, s_9\}:q_1\\
&\{q_0\}\xrightarrow{b}\{s_5\}\xrightarrow{ε}\{s_1, s_2, s_4, s_5, s_6, s_7, s_8\}:q_2\\
&\{q_1\}\xrightarrow{a}\{s_3, s_9\}\xrightarrow{ε}\{s_1, s_2, s_3, s_4, s_6, s_7, s_8, s_9\}:q_1\\
&\{q_1\}\xrightarrow{b}\{s_5, s_{10}\}\xrightarrow{ε}\{s_1, s_2, s_4, s_5, s_6, s_7, s_8, s_{10}\}:q_3\\
&\{q_2\}\xrightarrow{a}\{s_3, s_9\}\xrightarrow{ε}\{s_1, s_2, s_3, s_4, s_6, s_7, s_8, s_9\}:q_1\\
&\{q_2\}\xrightarrow{b}\{s_5\}\xrightarrow{ε}\{s_1, s_2, s_4, s_5, s_6, s_7, s_8\}:q_2\\
&\{q_3\}\xrightarrow{a}\{s_3, s_9\}\xrightarrow{ε}\{s_1, s_2, s_3, s_4, s_6, s_7, s_8, s_9\}:q_1\\
&\{q_3\}\xrightarrow{b}\{s_5, s_{11}\}\xrightarrow{ε}\{s_1, s_2, s_4, s_5, s_6, s_7, s_8, s_{11}, s_{12}, s_{13}, s_{14}, s_{16}, s_{19}\}:q_4\\
&\{q_4\}\xrightarrow{a}\{s_3, s_9, s_{15}\}\xrightarrow{ε}\{s_1, s_2, s_3, s_4, s_6, s_7, s_8, s_9, s_{13}, s_{14}, s_{15}, s_{16}, s_{18}, s_{19}\}:q_5\\
&\{q_4\}\xrightarrow{b}\{s_5, s_{17}\}\xrightarrow{ε}\{s_1, s_2, s_4, s_5, s_6, s_7, s_8, s_{13}, s_{14}, s_{16}, s_{17}, s_{18}, s_{19}\}:q_6\\
&\{q_5\}\xrightarrow{a}\{s_3, s_9, s_{15}\}\xrightarrow{ε}\{s_1, s_2, s_3, s_4, s_6, s_7, s_8, s_9, s_{13}, s_{14}, s_{15}, s_{16}, s_{18}, s_{19}\}:q_5\\
&\{q_5\}\xrightarrow{b}\{s_5, s_{10}, s_{17}\}\xrightarrow{ε}\{s_1, s_2, s_4, s_5, s_6, s_7, s_8, s_{10}, s_{13}, s_{14}, s_{16}, s_{17}, s_{18}, s_{19}\}:q_7\\
&\{q_6\}\xrightarrow{a}\{s_3, s_9, s_{15}\}\xrightarrow{ε}\{s_1, s_2, s_3, s_4, s_6, s_7, s_8, s_9, s_{13}, s_{14}, s_{15}, s_{16}, s_{18}, s_{19}\}:q_5\\
&\{q_6\}\xrightarrow{b}\{s_5, s_{17}\}\xrightarrow{ε}\{s_1, s_2, s_4, s_5, s_6, s_7, s_8, s_{13}, s_{14}, s_{16}, s_{17}, s_{18}, s_{19}\}:q_6\\
&\{q_7\}\xrightarrow{a}\{s_3, s_9, s_{15}\}\xrightarrow{ε}\{s_1, s_2, s_3, s_4, s_6, s_7, s_8, s_9, s_{13}, s_{14}, s_{15}, s_{16}, s_{18}, s_{19}\}:q_5\\
&\{q_7\}\xrightarrow{b}\{s_5, s_{11}, s_{17}\}\xrightarrow{ε}\{s_1, s_2, s_4, s_5, s_6, s_7, s_8, s_{11}, s_{12}, s_{13}, s_{14}, s_{16}, s_{17}, s_{18}, s_{19}\}:q_8\\
&\{q_8\}\xrightarrow{a}\{s_3, s_9, s_{15}\}\xrightarrow{ε}\{s_1, s_2, s_3, s_4, s_6, s_7, s_8, s_9, s_{13}, s_{14}, s_{15}, s_{16}, s_{18}, s_{19}\}:q_5\\
&\{q_8\}\xrightarrow{b}\{s_5, s_{17}\}\xrightarrow{ε}\{s_1, s_2, s_4, s_5, s_6, s_7, s_8, s_{13}, s_{14}, s_{16}, s_{17}, s_{18}, s_{19}\}:q_6
\end{aligned}
初始状态:{s0}:q0{q0}ε{s0,s1,s2,s4,s7,s8}:q0{q0}a{s3,s9}ε{s1,s2,s3,s4,s6,s7,s8,s9}:q1{q0}b{s5}ε{s1,s2,s4,s5,s6,s7,s8}:q2{q1}a{s3,s9}ε{s1,s2,s3,s4,s6,s7,s8,s9}:q1{q1}b{s5,s10}ε{s1,s2,s4,s5,s6,s7,s8,s10}:q3{q2}a{s3,s9}ε{s1,s2,s3,s4,s6,s7,s8,s9}:q1{q2}b{s5}ε{s1,s2,s4,s5,s6,s7,s8}:q2{q3}a{s3,s9}ε{s1,s2,s3,s4,s6,s7,s8,s9}:q1{q3}b{s5,s11}ε{s1,s2,s4,s5,s6,s7,s8,s11,s12,s13,s14,s16,s19}:q4{q4}a{s3,s9,s15}ε{s1,s2,s3,s4,s6,s7,s8,s9,s13,s14,s15,s16,s18,s19}:q5{q4}b{s5,s17}ε{s1,s2,s4,s5,s6,s7,s8,s13,s14,s16,s17,s18,s19}:q6{q5}a{s3,s9,s15}ε{s1,s2,s3,s4,s6,s7,s8,s9,s13,s14,s15,s16,s18,s19}:q5{q5}b{s5,s10,s17}ε{s1,s2,s4,s5,s6,s7,s8,s10,s13,s14,s16,s17,s18,s19}:q7{q6}a{s3,s9,s15}ε{s1,s2,s3,s4,s6,s7,s8,s9,s13,s14,s15,s16,s18,s19}:q5{q6}b{s5,s17}ε{s1,s2,s4,s5,s6,s7,s8,s13,s14,s16,s17,s18,s19}:q6{q7}a{s3,s9,s15}ε{s1,s2,s3,s4,s6,s7,s8,s9,s13,s14,s15,s16,s18,s19}:q5{q7}b{s5,s11,s17}ε{s1,s2,s4,s5,s6,s7,s8,s11,s12,s13,s14,s16,s17,s18,s19}:q8{q8}a{s3,s9,s15}ε{s1,s2,s3,s4,s6,s7,s8,s9,s13,s14,s15,s16,s18,s19}:q5{q8}b{s5,s17}ε{s1,s2,s4,s5,s6,s7,s8,s13,s14,s16,s17,s18,s19}:q6
![![[Blank diagram (27).png|620]]](https://i-blog.csdnimg.cn/direct/4f7d326613c14fecb207cd7c6d7a4bc1.png)
120

被折叠的 条评论
为什么被折叠?



