【学习笔记】Uncertainty-guided Perturbation for Image Super-Resolution Diffusion Model

🔹背景概念

扩散模型 Diffusion Model随机微分方程 SDE 框架中:

  • 我们对真实数据(如HR高分辨率图像)反复加入高斯噪声;
  • 训练一个模型学会“去噪”(score estimation),即估计从噪声回到数据分布的梯度方向。

超分辨率任务SR中:

  • LR图像(低分辨率)相当于在真实图像分布的低密度区域
  • HR图像(高分辨率)在高密度区域
  • 因此,扩散模型的目标是:学会从LR分布“爬回”HR分布(即生成细节)。

🔹3.1 Noise Levels in Diffusion-based SR — 为什么噪声要“分区间处理”

以往的扩散模型都假设整个图像在每个时刻注入相同水平的噪声 σ(t)(全局同质)。
但作者发现:
不同区域需要不同强度的噪声。

他们做了一个实验:

  1. 计算每个像素的残差 (|y - x|),即上采样后的LR图像 (y) 与对应HR图像 (x) 的差;

    • 平坦区域(天空、墙面)→ 残差小;
    • 纹理/边缘区域(头发、叶子)→ 残差大。
  2. 发现 |y − x| 服从长尾分布,大部分像素差距很小(说明图像大部分区域是平滑的)。

  3. 当他们在训练时采用不同噪声上限 σ_max(比如1.0 vs 2.5):

    • 对平坦区(|y−x|小):几乎不影响输出保真度;
    • 对纹理区(|y−x|大):噪声较大会显著提升感知质量(更锐利、细节更多);
    • 说明“高噪声更适合边缘纹理,低噪声更适合平滑区域”。

结论:
→ 不同区域应使用不同噪声强度:
平坦区(t→0, 高密度)→ 小噪声;
纹理区(低密度)→ 大噪声。


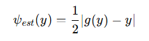
🔹3.2 Uncertainty Estimation — 用“不确定性”量化区域的噪声需求

接下来他们提出了一个衡量每个像素“该不该加大噪声”的指标:不确定性(uncertainty)

思路:

  1. 超分辨率是个病态问题(ill-posed)——特别是在纹理/边缘区域;
  2. 在这些区域,重建误差更大、结果更不确定;
  3. 因此,用重建残差大小来衡量不确定性。

定义:

  • 令 (x_i) 是HR,(y_i) 是对应LR;

  • 超分模型 (g(y_i)) 生成的SR;

  • 残差越大,说明该区域重建不确定性高;

  • 于是定义不确定性估计为:
    在这里插入图片描述
    即:

  • 如果 SR 输出与 LR 差别大 → 说明该处信息缺失严重、需要更高噪声;

  • 如果两者几乎相同 → 区域平滑、置信度高、仅需低噪声。


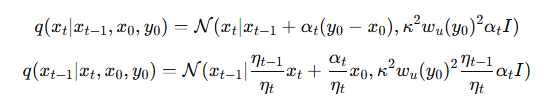
🔹3.3 Uncertainty-guided Noise Weighting (UNW) — 用不确定性指导噪声强度

有了上面的 ψ_est(y),作者设计了一个自适应噪声权重机制

  1. 定义一个噪声权重系数矩阵 ( w_u(y) ),是一个关于不确定性的单调递增函数:
    在这里插入图片描述

    • 不确定性高 → 权重大 → 噪声强;
    • 不确定性低 → 权重小 → 噪声弱。
  2. 然后在扩散的前向过程和反向过程的分布中引入这个权重:
    在这里插入图片描述

    这里的区别就是:噪声协方差项不再是统一的,而是被 (w_u(y_0)) 调制。

  3. 这样在扩散过程中:

    • 平滑区噪声被“抑制”,保持细节;
    • 边缘区噪声被“增强”,促进生成多样性与真实纹理;
    • 整个过程更接近真实分布。

他们称整个方法为 UPSR(Uncertainty-guided Perturbation for SR)


🔹3.4 Network Architecture Modification — 结构优化(提升效率)

原始的扩散模型(如 Stable Diffusion)常用 VQGAN 将图像压缩到潜空间,以降低维度计算。
但:

  • 对SR任务来说,扩散步数较少时,VQGAN的开销反而不划算;
  • 而且LPIPS等感知损失必须在像素域计算,还要多一次解码。

于是他们:

  • 用简单的 PixelUnshuffle 替代VQGAN encoder(快速压缩空间维度);
  • Nearest Neighbor Upsampling 替代decoder;
  • 保留像素空间操作;
  • 大幅降低显存和计算量,且效果不降。

🔹总结流程图(UPSR整体思路)

1️⃣ 输入 LR 图像 y₀
2️⃣ 用预训练 SR 网络 g(·) 生成初步 SR → 得到 g(y₀)
3️⃣ 计算不确定性: ψ_est(y₀) = ½ |g(y₀) - y₀|
4️⃣ 将其输入单调函数得到噪声权重系数: w_u(y₀)
5️⃣ 在扩散前向/反向过程中,使用 w_u 控制噪声注入
6️⃣ 最后用修改后的扩散模型 fθ 生成最终 HR 图像


🔹核心思想总结一句话

传统扩散SR使用全局统一噪声;UPSR提出基于不确定性自适应调整噪声水平,使平坦区少噪声、纹理区多噪声,从而在保持保真度的同时提升感知质量。

评论
添加红包

请填写红包祝福语或标题

红包个数最小为10个

红包金额最低5元

当前余额3.43前往充值 >
需支付:10.00
成就一亿技术人!
领取后你会自动成为博主和红包主的粉丝 规则
hope_wisdom
发出的红包
实付
使用余额支付
点击重新获取
扫码支付
钱包余额 0

抵扣说明:

1.余额是钱包充值的虚拟货币,按照1:1的比例进行支付金额的抵扣。
2.余额无法直接购买下载,可以购买VIP、付费专栏及课程。

余额充值