题解:[CSP-J2019 江西] 道路拆除

题解:[CSP-J2019 江西] 道路拆除

题意:

总路径数量-A国首都(即点1)到 s 1 s_1 s1 s 2 s_2 s2的综合最短路的答案

思路:

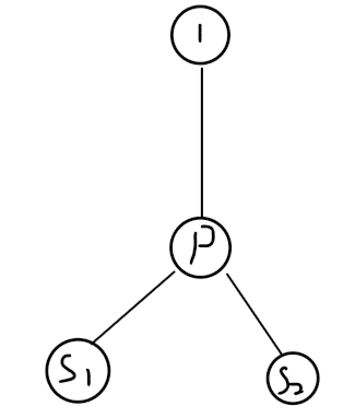
如果要求A国首都(即点1)到 s 1 s_1 s1 s 2 s_2 s2的综合最短路,那么答案一定呈一个 Y Y Y字型(如下图)

读图可知: 1 − p 1-p 1p的距离每多1, s 1 s_1 s1 p p p s 2 s_2 s2 p p p的距离就少1。

这时就可以让 1 − p 1-p 1p的距离尽可能大,可以想到枚举 p p p点,时间复杂度: O ( N ) O(N) O(N)

可以考虑分别从点 1 1 1, s 1 s_1 s1, s 2 s_2 s2三点分别做一次 B F S BFS BFS,最后遍历 p p p点找到最优解。
屏幕截图 20251009 211245png

c o d e : code: code:(不喜勿喷)

#include<bits/stdc++.h>
using namespace std;
#define endl '\n'
#define itn int
#define N 3100
#define MAX 100000000
int n,m,s1,s2,t1,t2;
vector<int>a[N];//存图
vector<int>book1(N,MAX);//记录1为起点的答案
vector<int>books1(N,MAX);//记录s1为起点的答案
vector<int>books2(N,MAX);//记录s2为起点的答案
int vis[N];//记录是否走过
int main(){
    ios::sync_with_stdio(false);
    cin.tie(0);
    cout.tie(0);
    cin>>n>>m;
    for(int i=1;i<=m;i++){
        int u,v;
        cin>>u>>v;
        a[u].push_back(v);
        a[v].push_back(u);
    }
    cin>>s1>>t1>>s2>>t2;
    queue<int>q;
    q.push(1);//不要忘记初始化!!!
    vis[1]=1;
    book1[1]=0;
    //第一遍BFS
    while(!q.empty()){
        int u=q.front();
        q.pop();
        for(int v:a[u]){
            if(!vis[v]){
                vis[v]=1;
                q.push(v);
                book1[v]=book1[u]+1;
            }
        }
    }
    memset(vis,0,sizeof vis);//清空!!!
    q.push(s1);
    vis[s1]=1;
    books1[s1]=0;
    //第二遍
    while(!q.empty()){
        int u=q.front();
        q.pop();
        for(int v:a[u]){
            if(!vis[v]){
                vis[v]=1;
                q.push(v);
                books1[v]=books1[u]+1;
            }
        }
    }
    memset(vis,0,sizeof vis);//清空
    q.push(s2);
    books2[s2]=0;
    vis[s2]=1;
    //第三遍
    while(!q.empty()){
        int u=q.front();
        q.pop();
        for(int v:a[u]){
            if(!vis[v]){
                vis[v]=1;
                q.push(v);
                books2[v]=books2[u]+1;
            }
        }
    }
    int mins=MAX;
    for(int i=1;i<=n;i++){
        int anss=book1[i]+books1[i]+books2[i];
        //符合时间才计算
        if(book1[i]+books1[i]<=t1&&book1[i]+books2[i]<=t2)mins=min(mins,anss);
    }
    if(mins>=MAX){//不要忘记-1
        cout<<-1;
        return 0;
    }
    cout<<m-mins;
    return 不要直接复制!!!;
}
对不起,由于我是一个文本交互的模型,我无法提供图像内容或直接链接到具体的题解或解决方案。但是,我可以帮你理解CSP-J2019公交换乘问题的基本概念和解决策略,这通常涉及到数据结构、图论以及算法设计。 CSP-J2019中的公交换乘问题可能是一个典型的旅行商问题(Traveling Salesman Problem, TSP)变种,或者是寻找最优路径的问题,其中涉及到公交网络中不同站点之间的最短路径或最少换乘次数。解决此类问题通常需要使用动态规划、贪心算法或者一些启发式搜索算法,比如A*搜索或Dijkstra算法。 如果你需要了解题目的基本思路,可能会这样操作: 1. 建立一个图,节点代表公交站点,边代表两个站点之间的路线及其长度或换乘次数。 2. 对于每个节点,计算从起点到所有其他节点的最短路径,形成一个邻接矩阵或邻接表。 3. 使用动态规划方法,例如记忆化搜索,尝试所有可能的路径,每次选择当前未访问节点中距离最近的一个,直到遍历完所有节点并回到起点,记录下总的距离或换乘次数。 4. 为了优化,可以考虑使用启发式搜索策略,如用估算的总距离作为启发信息,优先探索看起来更优的路径。 如果你对具体解法有疑问,或者想了解某个步骤的详细操作,请告诉我,我会尽力解释。至于详细的题解,建议你查阅相关的代码库、论坛帖子或在线教程,它们通常会有文字描述和步骤示例。
评论
添加红包

请填写红包祝福语或标题

红包个数最小为10个

红包金额最低5元

当前余额3.43前往充值 >
需支付:10.00
成就一亿技术人!
领取后你会自动成为博主和红包主的粉丝 规则
hope_wisdom
发出的红包

打赏作者

bai297

你的鼓励将是我创作的最大动力

¥1 ¥2 ¥4 ¥6 ¥10 ¥20
扫码支付:¥1
获取中
扫码支付

您的余额不足,请更换扫码支付或充值

打赏作者

实付
使用余额支付
点击重新获取
扫码支付
钱包余额 0

抵扣说明:

1.余额是钱包充值的虚拟货币,按照1:1的比例进行支付金额的抵扣。
2.余额无法直接购买下载,可以购买VIP、付费专栏及课程。

余额充值