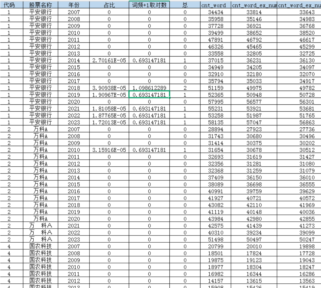
01、数据简介本数据依据C刊《科学学研究》中彭家乐(2024)老师的研究方法,我们对沪深A股上市公司的年报进行了深入的文本分析。为了量化企业受技术封锁影响的程度,我们采用了年报文本中技术封锁相关关键词的总词频占比作为指标。具体步骤如下:关键词确定、数据获取与处理、文本分词与存储、词频统计与指标计算。数据名称:上市公司-企业技术封锁数据数据年份:2007-2023年参考文献:彭家乐,谢伟,李习保 技术封锁与并购-基于文本分析的实证研究02、相关数据代码 股票名称 年份 占比 词频+1取对数 总 cnt_word cnt_word_ex_num cnt_word_ex_num_eng cnt_word cnt_word_ex_num cnt_word_ex_num_eng 总 补充词频 贸易保护主义 抬头 非关税壁垒 贸易壁垒 贸易摩擦 磨擦 禁运 特保 国际制裁 经济制裁 出口管制 反倾销 外汇管制 核危机 禁令 公约 强制性 制裁 法令 保护主义 报告对应会计期间截止日期 文本数据源类型 文本数据源类型 该词汇在全文查找中的词频03、
上市公司-企业技术封锁数据(2007-2023年)
最新推荐文章于 2025-12-16 10:44:31 发布
1419

被折叠的 条评论
为什么被折叠?



