介绍
不同于内嵌在sklearn框架中的其他算法,xgboost是独立的算法库,因此它有一套不同于sklearn代码的原生代码。大部分时候我们使用原生代码来运行xgboost,因为这套原生代码是完全为集成学习所设计的,不仅可以无缝使用交叉验证、默认输出指标为RMSE,还能够默认输出训练集上的结果帮我们监控模型。然而对于熟悉sklearn的我们来说,这一套代码略有难度,因此许多人也会倾向于使用xgboost自带的sklearn接口来实现算法。
XGBoost自带sklearn接口(sklearn API),通过这个接口,我们可以使用跟sklearn代码一样的方式来实现xgboost,即可以通过fit和predict等接口来执行训练预测过程,也可以调用属性比如coef_等。在XGBoost的sklearn API中,我们可以看到下面五个类:
| 类 | 说明 |
|---|---|
| XGBRegressor() | 实现xgboost回归 |
| XGBClassifier() | 实现xgboost分类 |
| XGBRanker() | 实现xgboost排序 |
| XGBRFClassifier() | 基于xgboost库实现随机森林分类 |
| XGBRFRegressor() | 基于xgboost库实现随机森林回归 |
注释:
其中XGBRF的两个类是以XGBoost方式建树、但以bagging方式构建森林的类,通常只有在我们使用普通随机森林效果不佳、但又不希望使用Boosting的时候使用
class xgboost.XGBRegressor(n_estimators, max_depth, learning_rate, verbosity, objective, booster, tree_method, n_jobs, gamma, min_child_weight, max_delta_step, subsample, colsample_bytree, colsample_bylevel, colsample_bynode, reg_alpha, reg_lambda, scale_pos_weight, base_score, random_state, missing, num_parallel_tree, monotone_constraints, interaction_constraints, importance_type, gpu_id, validate_parameters, predictor, enable_categorical, eval_metric, early_stopping_rounds, callbacks,**kwargs)
class xgboost.XGBClassifier(n_estimators, use_label_encoder, max_depth, learning_rate, verbosity, objective, booster, tree_method, n_jobs, gamma, min_child_weight, max_delta_step, subsample, colsample_bytree, colsample_bylevel, colsample_bynode, reg_alpha, reg_lambda, scale_pos_weight, base_score, random_state, missing, num_parallel_tree, monotone_constraints, interaction_constraints, importance_type, gpu_id, validate_parameters, predictor, enable_categorical, **kwargs)
XGBoost回归的sklearn API实现
# 导入sklearn相关的库
from xgboost import XGBRegressor
from sklearn.model_selection import cross_validate, KFold
from sklearn.model_selection import train_test_split
# 读取train_encode数据集
data = pd.read_csv("train_encode.csv",index_col=0)
# 定义特征数据集和标签数据集
X = data.iloc[:,:-1]
y = data.iloc[:,-1]
# 对数据集进行分割,实例化模型,并对数据集进行训练,查看在测试集上的表现情况
#sklearn普通训练代码三步走:实例化,fit,score
Xtrain,Xtest,Ytrain,Ytest = train_test_split(X,y,test_size=0.3,random_state=1412)
xgb_sk = XGBRegressor(random_state=1412) #实例化模型
xgb_sk.fit(Xtrain,Ytrain)
xgb_sk.score(Xtest,Ytest) #默认指标R2
# 对XGBoost回归器进行5折交叉验证,查看在测试集和训练集上的RMSE表现情况
#sklearn交叉验证三步走:实例化,交叉验证,对结果求平均
xgb_sk = XGBRegressor(random_state=1412) #实例化模型
#定义所需的交叉验证方式
cv = KFold(n_splits=5,shuffle=True,random_state=1412)
result_xgb_sk = cross_validate(xgb_sk,X,y,cv=cv
,scoring="neg_root_mean_squared_error" #负根均方误差
,return_train_score=True
,verbose=True
,n_jobs=-1)
result_xgb_sk
def RMSE(result,name):
return abs(result[name].mean())
RMSE(result_xgb_sk,"train_score")
RMSE(result_xgb_sk,"test_score")
在默认参数下,xgboost模型极度不稳定,并且过拟合的情况非常严重,现有数据量对xgboost来说可能有点不足。在没有调整任何参数的情况下,XGBoost的表现没能胜过梯度提升树,这可能是因为在默认参数下梯度提升树的过拟合程度较轻。我们可以尝试使用之前学过的知识,对XGBoost的参数略微进行调整,例如将最可能影响模型的参数之一:max_depth设置为一个较小的值。
# 实例化深度为5的XGBoost回归器,并对其进行5折交叉验证, 查看测试集和训练集上的RMSE表现情况
xgb_sk = XGBRegressor(max_depth=5,random_state=1412) #实例化
result_xgb_sk = cross_validate(xgb_sk,X,y,cv=cv
,scoring="neg_root_mean_squared_error" #负根均方误差
,return_train_score=True
,verbose=True
,n_jobs=-1)
RMSE(result_xgb_sk,"train_score");RMSE(result_xgb_sk,"test_score")
xgb_sk = XGBRegressor(max_depth=5,random_state=1412).fit(X,y)
# 查看特征重要性
xgb_sk.feature_importances_
# 查看第三棵树的信息
#调出其中一棵树,不过无法展示出树的细节,只能够调出建树的Booster对象
xgb_sk.get_booster()[2]
# 查看一共建立了多少棵树(code)
# 查看一共建立了多少棵树,相当于是n_estimators的取值
xgb_sk.get_num_boosting_rounds()
# 获取每一个参数的取值(code)
xgb_sk.get_params()
XGBoost回归的原生代码实现

注意:
原生代码必须使用XGBoost自定义的数据结构DMatrix,这一数据结构能够保证xgboost算法运行更快,并且能够自然迁移到GPU上运行,类似于列表、数组、Dataframe等结构都不能用于原生代码,因此使用原生代码的第一步就是要更换数据结构。
设置好数据结构后,我们需要以字典形式设置参数。我们往往会使用字典单独呈现参数。准备好参数列表后,我们将使用xgboost中自带的方法
xgb.train或xgb.cv进行训练,训练完毕后,我们可以使用predict方法对结果进行预测。虽然xgboost原生代码库所使用的数据结构是DMatrix,但在预测试输出的数据结构却是普通的数组,因此可以直接使用sklearn中的评估指标,或者python编写的评估指标进行评估。
class xgboost.DMatrix(data, label=None, *, weight=None, base_margin=None, missing=None, silent=False, feature_names=None, feature_types=None, nthread=None, group=None, qid=None, label_lower_bound=None, label_upper_bound=None, feature_weights=None, enable_categorical=False)
function xgboost.train(*params, dtrain, num_boost_round=10, *, evals=None, obj=None, feval=None, maximize=None, early_stopping_rounds=None, evals_result=None, verbose_eval=True, xgb_model=None, callbacks=None, custom_metric=None)
function xgboost.cv(*params, dtrain, num_boost_round=10, nfold=3, stratified=False, folds=None, metrics=(), obj=None, feval=None, maximize=None, early_stopping_rounds=None, fpreproc=None, as_pandas=True, verbose_eval=None, show_stdv=True, seed=0, callbacks=None, shuffle=True, custom_metric=None)
注意:
xgb.train和xgb.cv的第一个参数params就是我们需要使用字典自定义的参数列表;- 第二个参数
dtrain就是DMatrix结构的训练数据;- 第三个参数
num_boost_round其实就等同于sklearn中的n_estimators,表示总共建立多少棵提升树,也就是提升过程中的迭代次数。
# 导入xgboost库
import xgboost as xgb
# 读取train_encode数据集
data = pd.read_csv("train_encode.csv",index_col=0)
# 定义特征数据集和标签数据集
X = data.iloc[:,:-1]
y = data.iloc[:,-1]
# 将上面X和y转化为DMatrix
data_xgb = xgb.DMatrix(X,y)
# 分割训练集和测试集(7-3分),将分割后的数据集转为DMatrix
from sklearn.model_selection import train_test_split
Xtrain,Xtest,Ytrain,Ytest = train_test_split(X,y,test_size=0.3,random_state=1412)
dtrain = xgb.DMatrix(Xtrain,Ytrain)
dtest = xgb.DMatrix(Xtest,Ytest)
注意:
- DMatrix会将特征矩阵与标签打包在同一个对象中,且一次只能转换一组数据。并且,我们无法通过索引或循环查看内部的内容,一旦数据被转换为DMatrix,就难以调用或修改了;
- 数据预处理需要在转换为DMatrix之前做好。如果我们有划分训练集和测试集,则需要分别将训练集和测试集转换为DMatrix。
# 定义所需的参数
params = {"max_depth":5,"seed":1412}
# 利用XGBoost对数据进行训练,建立100棵树
reg = xgb.train(params, data_xgb, num_boost_round=100)
注意:
- XGBoost不需要实例化,
xgb.train函数包揽了实例化和训练的功能,XGBoost在训练时没有区分回归和分类器,它默认是执行回归算;- xgboost不推荐将参数
num_boost_round写在params里,即便现在这样可以运行,但在之后的版本迭代中也会逐渐舍弃这个功能。这既是说,xgboost将参数分为了两大部分,一部分可以通过params进行设置,另一部分则需要在方法xgb.train或者xgb.cv中进行设置。但一般来说,除了建树棵树、提前停止这两个关键元素,其他参数基本都被设置在params当中。
# 利用训练好的模型对数据进行预测,并查看预测数据
y_pred = reg.predict(data_xgb)
# 计算RMSE
from sklearn.metrics import mean_squared_error as MSE
MSE(y,y_pred,squared=False) #RMSE
# 使用交叉验证进行训练
params = {"max_depth":5,"seed":1412}
result = xgb.cv(params,data_xgb,num_boost_round=100
,nfold=5 #补充交叉验证中所需的参数,nfold=5表示5折交叉验证
,seed=1412 #交叉验证的随机数种子,params中的是管理boosting过程的随机数种子
)
result
| train-rmse-mean | train-rmse-std | test-rmse-mean | test-rmse-std | |
|---|---|---|---|---|
| 0 | 141522.721875 | 1318.896997 | 141941.484375 | 6432.947712 |
| 1 | 102183.568750 | 1053.673671 | 103857.753125 | 5778.064364 |
| 2 | 74524.579688 | 728.019143 | 77554.021875 | 5732.164228 |
| 3 | 55214.231250 | 465.428776 | 59894.982031 | 6121.923227 |
| 4 | 41754.467188 | 345.496649 | 47824.114063 | 5734.477932 |
| … | … | … | … | … |
| 95 | 2513.421875 | 206.432972 | 28623.110938 | 7513.194129 |
| 96 | 2476.676709 | 201.605999 | 28624.677344 | 7517.551419 |
| 97 | 2440.533399 | 203.698024 | 28620.468359 | 7523.209246 |
| 98 | 2405.017529 | 210.983203 | 28619.228125 | 7525.503699 |
| 99 | 2362.659668 | 218.221383 | 28623.220313 | 7526.333222 |
100 rows × 4 columns
注意:
- 行数代表迭代次数
- 每一行代表了每次迭代后进行交叉验证的结果的均值,例如索引为0的行就表示迭代了一次时(刚建立第一棵树时),进行5折交叉验证的结果,最后一行的结果也就是当前模型迭代完毕后(建好了全部的
nun_boost_round棵树时)输出的结果,也是之前我们使用sklearn API时得到过的结果:测试集上5折交叉验证结果28623.22
XGBoost分类
原生代码
XGBoost默认会实现回归算法,因此在执行分类的时候,我们需要主动声明算法的类型。xgboost是通过当前算法所使用的损失函数来判断任务类型的,即是通过在params中填写的objective参数来判断任务类型。objective参数中可以输入数十种不同的选项,常见的有:
- 用于回归
- reg:squarederror:平方损失,即12(y−y^)2\frac{1}{2}(y - \hat{y})^221(y−y^)2,其中1/2是为了计算简便;
- reg:squaredlogerror:平方对数损失,即12[log(y^+1)−log(y+1)]2\frac{1}{2}[log(\hat{y} + 1) - log(y + 1)]^221[log(y^+1)−log(y+1)]2(取log放大差距,常用于金融序列数据),其中1/2是为了计算简便。
- 用于分类
- binary:logistic:二分类交叉熵损失,使用该损失时
predict接口输出概率。如果你对该损失不熟悉,你需要学习逻辑回归算法;- binary:logitraw:二分类交叉熵损失,使用该损失时
predict接输出执行sigmoid变化之前的值;- multi:softmax:多分类交叉熵损失,使用该损失时
predict接口输出具体的类别。如果你对该损失不熟悉,你需要学习AdaBoost与GBD;- multi:softprob:多分类交叉熵,适用该损失时
predict接口输出每个样本每个类别下的概率。
除此之外,还有众多用于排序算法、计数算法的损失函数。xgboost几乎适用于所有可微的损失函数,不同的损失函数会影响predict的输出,但却不会影响交叉验证方法xgb.cv的输出。当不填写任何内容时,参数objective的默认值为reg:squarederror
- 导入数据
#导入2个最简单的分类数据集:乳腺癌数据集与手写数字数据集
from sklearn.datasets import load_breast_cancer, load_digits
#二分类数据
X_binary = load_breast_cancer().data
y_binary = load_breast_cancer().target
data_binary = xgb.DMatrix(X_binary,y_binary)
#多分类数据
X_multi = load_digits().data
y_multi = load_digits().target
data_multi = xgb.DMatrix(X_multi, y_multi)
- 设置params,进行训练
# 在乳腺癌数据集训练xgboost分类器,建立100棵树
params1 = {"seed":1412, "objective":"binary:logistic"#任务类型
,"eval_metric":"logloss" #二分类交叉熵损失
}
clf_binary = xgb.train(params1, data_binary, num_boost_round=100)
# 在手写数据集据集训练xgboost分类器,建立100棵树
params2 = {"seed":1412, "objective":"multi:softmax"#任务类型
,"eval_metric":"mlogloss" #多分类交叉熵损失 #"merror"
,"num_class":10}
clf_multi = xgb.train(params2, data_multi, num_boost_round=100)
注意:
- 相比起默认的回归算法,xgboost分类算法所需的参数会更多一些。二分类损失函数一般需要搭配参数
eval_matric,用于设置分类的评估指标。xgboost中默认的二分类指标是对数损失(也就是交叉熵损失logloss);- 对多分类算法来说,除了设置损失函数和评估指标,还需要设置参数
num_class。参数num_class用于多分类状况下、具体的标签类别数量。通常来说,算法应该能够根据标签的情况自主判断实际类别为多少
- 预测与评估
# 利用训练好的二分类和多分类xgboost对数据集进行预测
y_pred_binary = clf_binary.predict(data_binary)
y_pred_multi = clf_multi.predict(data_multi)
# 导入评估指标函数
from sklearn.metrics import accuracy_score as ACC #当返回具体类别时,可以使用准确率
from sklearn.metrics import log_loss as logloss #当返回概率时,则必须使用交叉熵损失
# Loss = -(y * log (p) + (1 - y) * log (1 - p))
# 计算对于两个数据集预测的效果
ACC(y_binary,(y_pred_binary > 0.5).astype(int)) #对二分类计算准确率,则必须先转换为类别
ACC(y_multi, y_pred_multi)
# 查看交叉熵损失
logloss(y_binary,y_pred_binary) #只有二分类输出了概率,因此可以查看交叉熵损失
- 交叉验证
# 用xgboost对手写数字数据集DMatrix进行5折交叉验证,建立100棵树,评估指标采用mlogloss和merror(code)
params3 = {"seed":1412
, "objective":"multi:softmax" #无论填写什么损失函数都不影响交叉验证的评估指标
, "num_class":10}
result = xgb.cv(params3,data_multi,num_boost_round=100
,metrics = ("mlogloss","merror")
# merror:多类别分类问题中的分类错误率
,nfold=5 #补充交叉验证中所需的参数,nfold=5表示5折交叉验证
,seed=1412 #交叉验证的随机数种子,params中的是管理boosting过程的随机数种子
)
result
| train-mlogloss-mean | train-mlogloss-std | train-merror-mean | train-merror-std | test-mlogloss-mean | test-mlogloss-std | test-merror-mean | test-merror-std | |
|---|---|---|---|---|---|---|---|---|
| 0 | 1.228912 | 0.006192 | 0.030746 | 0.002658 | 1.330349 | 0.039377 | 0.122978 | 0.022670 |
| 1 | 0.869281 | 0.005974 | 0.014329 | 0.003948 | 1.009304 | 0.046665 | 0.094041 | 0.022593 |
| 2 | 0.642709 | 0.005521 | 0.008765 | 0.002732 | 0.805701 | 0.050207 | 0.080682 | 0.022009 |
| 3 | 0.484223 | 0.004590 | 0.005147 | 0.001432 | 0.658486 | 0.049434 | 0.070664 | 0.022264 |
| 4 | 0.370331 | 0.004205 | 0.003200 | 0.001362 | 0.552657 | 0.049002 | 0.065101 | 0.018976 |
| … | … | … | … | … | … | … | … | … |
| 95 | 0.003921 | 0.000027 | 0.000000 | 0.000000 | 0.118105 | 0.027968 | 0.038392 | 0.005910 |
| 96 | 0.003908 | 0.000026 | 0.000000 | 0.000000 | 0.118007 | 0.027899 | 0.038392 | 0.005910 |
| 97 | 0.003896 | 0.000026 | 0.000000 | 0.000000 | 0.118073 | 0.027942 | 0.038392 | 0.005910 |
| 98 | 0.003885 | 0.000026 | 0.000000 | 0.000000 | 0.117976 | 0.027911 | 0.038392 | 0.005910 |
| 99 | 0.003874 | 0.000026 | 0.000000 | 0.000000 | 0.117779 | 0.027960 | 0.038392 | 0.005910 |
100 rows × 8 columns
当使用
xgb.train时,我们会将评估指标参数eval_matric写在params中,在使用xgb.cv时,我们却需要将评估指标参数写在xgb.cv当中,在xgb.cv当中,我们需要将评估指标打包成元组,写在参数metrics内部
sklearn API
# 导入XGBoost分类器
from xgboost import XGBClassifier
# 实例化XGBoost分类器,查看分类器的所有参数取值
clf = XGBClassifier()
clf.get_params()
# 实例化多分类XGBoost分类器,类被为10,并对手写数据集数据进行训练,查看预测数值、概率和得分
clf = XGBClassifier(objective="multi:softmax"
, eval_metric="mlogloss" #设置评估指标避免警告
, num_class = 10
# , use_label_encoder=False
)
clf = clf.fit(X_multi,y_multi)
clf.predict(X_multi) #输出具体数值 - 具体的预测类别
clf.predict_proba(X_multi).shape #输出概率值
clf.score(X_multi,y_multi) #虽然设置了评估指标,但score接口还是准确率
XGBoost的参数
| 类型 | 参数 |
|---|---|
| 迭代过程/目标函数 | num_boost_round:集成算法中弱分类器数量,对Boosting算法而言为实际迭代次数 eta:Boosting算法中的学习率,影响弱分类器结果的加权求和过程 objective:选择需要优化的损失函数 base_score:初始化预测结果H0H_0H0的设置 max_delta_step:一次迭代中所允许的最大迭代值 gamma:乘在叶子数量前的系数,放大可控制过拟合 lambda:L2正则项系数,放大可控制过拟合 alpha:L1正则项系数,放大可控制过拟合 |
| 弱评估器结构(DART) | booster:选择迭代过程中的弱评估器类型,包括gbtree,DART和线性模型 sample_type:DART树中随机抽样树的具体方法 rate_drop:DART树中所使用的抛弃率 one_drop:每轮迭代时至少需要抛弃的树的数量 skip_drop:在迭代中不进行抛弃的概率 normalized_type:根据被抛弃的树的权重控制新增树权重 max_depth:允许的弱评估器的最大深度 min_child_weight:(广义上)叶子节点上的最小样本权重/最小样本量 gamma:目标函数中叶子数量TTT的系数,同时也是分枝时所需的最小结构分数增益值 lambda与alpha:正则项系数,同时也位于结构分数的公式中,间接影响模型的剪枝 |
| 弱评估器的训练数据 | sampling_method:对样本进行抽样具体方式 subsample:对样本进行抽样的具体比例 colsample_bytree, colsample_bylevel, colsample_bynode:在建树过程中对特征进行抽样的比例 |
| 提前停止 | xgb.train(): early_stopping_rounds, evals, eval_metric |
| 其他 | params: seed, verbosity, scale_pos_weight, nthread |
-
迭代过程
-
eta:Hk(xi)=Hk−1(xi)+ηfk(xi)H_k(x_i) = H_{k-1}(x_i) + \boldsymbol{\color{red}\eta} f_k(x_i)Hk(xi)=Hk−1(xi)+ηfk(xi)当学习率很大时,H(xi)H(x_i)H(xi)增长得更快,我们所需的
num_boost_round更少,当学习率较小时,H(xi)H(x_i)H(xi)增长较慢,我们所需的num_boost_round就更多,因此boosting算法往往会需要在num_boost_round与eta中做出权衡。在XGBoost当中,num_boost_round的默认值为10,eta的默认值为0.3. -
base_score:第0棵树在xgboost中,我们可以对
base_score输出任何数值,但并不支持类似于GBDT当中输入评估器的操作。当不填写时,该参数的默认值为0.5,即对所有样本都设置0.5为起始值。当迭代次数足够多、数据量足够大时,调整算法的H0(xi)H_0(x_i)H0(xi)意义不大,因此我们基本不会调整这个参数。 -
max_delta_step:代表了每次迭代时被允许的最大ηfk(xi)\eta f_k(x_i)ηfk(xi)当参数
max_delta_step被设置为0,则说明不对每次迭代的ηfk(xi)\eta f_k(x_i)ηfk(xi)大小做限制,如果该参数被设置为正数C,则代表ηfk(xi)≤C\eta f_k(x_i) \leq Cηfk(xi)≤C,否则就让算法执行:Hk(xi)=Hk−1(xi)+CH_k(x_i) = H_{k-1}(x_i) + CHk(xi)=Hk−1(xi)+C
通常来说这个参数是不需要的,但有时候这个参数会对极度不均衡的数据有效。如果样本极度不均衡,那可以尝试在这个参数中设置1~10左右的数。
总结:
参数含义 原生代码 sklearn API 迭代次数/树的数量 num_boost_round
(xgb.train)n_estimators 学习率 eta
(params)learning_rate 初始迭代值 base_score
(params)base_score 一次迭代中所允许的最大迭代值 max_delta_step
(params)max_delta_step -
-
目标函数
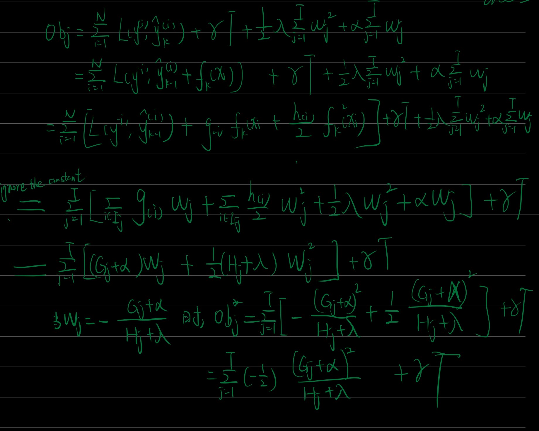
需要注意的是,损失函数可以针对单个样本进行计算,也可以针对整个算法进行计算,但在XGBoost的定义(xgboost向着令目标函数最小化的方向运行 )中,目标函数是针对每一棵树的,而不是针对一个样本或整个算法 。对任意树fkf_kfk来说,目标函数有两个组成部分,一部分是任意可微的损失函数,它控制模型的经验风险。从数值上来说,它等于现在树上所有样本上损失函数之和,其中单一样本的损失为l(yi,yi^)l(y_i,\hat{y_i})l(yi,yi^)。另一部分是控制模型复杂度的Ω(fk)\Omega(f_k)Ω(fk),它控制当前树的结构风险。
Objk=∑i=1Ml(yi,yi^)+Ω(fk)Obj_k = \sum_{i=1}^Ml(y_i,\hat{y_i}) + \Omega(f_k)Objk=∑i=1Ml(yi,yi^)+Ω(fk)
其中MMM表示现在这棵树上一共使用了M个样本,lll表示单一样本的损失函数。当模型迭代完毕之后,最后一棵树上的目标函数就是整个XGBoost算法的目标函数。
-
经验风险:模型对数据学习越深入,损失越小(经验风险越小),模型对数据学习得越浅显,损失越大(经验风险越大)。
-
结构风险:树结构越复杂、模型复杂度越高,过拟合风险越大(结构风险越大);树模型结构越简单、模型复杂度越低、过拟合风险越小(结构风险越小)。
在具体的公式当中,结构风险Ω(fk)\Omega(f_k)Ω(fk)又由两部分组成,一部分是控制树结构的γT\gamma TγT,另一部分则是正则项:
Objk=∑i=1Ml(yi,yi^)+γT+12λ∑j=1Twj2+α∑j=1TwjObj_k = \sum_{i=1}^Ml(y_i,\hat{y_i}) + \boldsymbol{\color{red}\gamma} T + \frac{1}{2}\boldsymbol{\color{red}\lambda}\sum_{j=1}^Tw_j^2 + \boldsymbol{\color{red}\alpha}\sum_{j=1}^Tw_jObjk=i=1∑Ml(yi,yi^)+γT+21λj=1∑Twj2+αj=1∑Twj
- TTT表示当前第kkk棵树上的叶子总数
- wjw_jwj则代表当前树上第jjj片叶子的叶子权重(leaf weights)。叶子权重是XGBoost数学体系中非常关键的一个因子,它实际上就是当前叶子jjj的预测值,这一指标与数据的标签量纲有较大的关系,因此当标签的绝对值较大、wjw_jwj值也会倾向于越大。因此正则项有两个:使用平方的L2正则项与使用绝对值的L1正则项
-
参数
gamma:-
乘在一棵树的叶子总量TTT之前,依照叶子总量对目标函数施加惩罚的系数,默认值为0,可填写任何[0, ∞]之间的数字。因此调大
gamma可以控制过拟合。 -
允许分枝的最低结构分数增益。当分枝时结构增益不足
gamma中设置的值,该节点被剪枝。gamma在剪枝中的作用就相当于sklearn中的min_impurity_decreaseGain=12(ScoreL+ScoreR−ScoreP)−γ=12((∑i∈Lgi)2∑i∈Lhi+λ+(∑i∈Rgi)2∑i∈Rhi+λ−(∑i∈Pgi)2∑i∈Phi+λ)−γ>0\begin{align} Gain &= \frac{1}{2} ( Score_L + Score_R - Score_P ) - \gamma \\ \\ &= \frac{1}{2} \left( \frac{(\sum_{i \in L}g_i)^2}{\sum_{i \in L}h_i + \lambda} + \frac{(\sum_{i \in R}g_i)^2}{\sum_{i \in R}h_i + \lambda} - \frac{(\sum_{i \in P}g_i)^2}{\sum_{i \in P}h_i + \lambda} \right) - \gamma>0 \end{align}Gain=21(ScoreL+ScoreR−ScoreP)−γ=21(∑i∈Lhi+λ(∑i∈Lgi)2+∑i∈Rhi+λ(∑i∈Rgi)2−∑i∈Phi+λ(∑i∈Pgi)2)−γ>0
因此:12((∑i∈Lgi)2∑i∈Lhi+λ+(∑i∈Rgi)2∑i∈Rhi+λ−(∑i∈Pgi)2∑i∈Phi+λ)>γ\frac{1}{2} \left( \frac{(\sum_{i \in L}g_i)^2}{\sum_{i \in L}h_i + \lambda} + \frac{(\sum_{i \in R}g_i)^2}{\sum_{i \in R}h_i + \lambda} - \frac{(\sum_{i \in P}g_i)^2}{\sum_{i \in P}h_i + \lambda} \right) > \gamma21(∑i∈Lhi+λ(∑i∈Lgi)2+∑i∈Rhi+λ(∑i∈Rgi)2−∑i∈Phi+λ(∑i∈Pgi)2)>γ
-
-
参数
alpha与lambda-
乘在正则项之前,依照叶子权重的大小对目标函数施加惩罚的系数,也就是正则项系数。
lambda的默认值为1,alpha的默认值为0,因此xgboost默认使用L2正则化。通常来说,我们不会同时使用两个正则化。因此调大alpha或lambda可以控制过拟合。 -
也位于结构分数中间接影响树的生长和分枝
当使用L2正则化时,结构分数为:
Scorej=(∑i∈jgi)2∑i∈jhi+λ Score_j = \frac{(\sum_{i \in j}g_i)^2}{\sum_{i \in j}h_i + \lambda}Scorej=∑i∈jhi+λ(∑i∈jgi)2
然而,当使用L1正则化时,结构分数为:
Scorej=(∑i∈jgi+α)2∑i∈jhi Score_j = \frac{(\sum_{i \in j}g_i+ \alpha)^2 }{\sum_{i \in j}h_i}Scorej=∑i∈jhi(∑i∈jgi+α)2在XGBoost当中,我们可以同时使用两种正则化,则结构分数为:
Scorej=(∑i∈jgi+α)2∑i∈jhi+λ Score_j = \frac{(\sum_{i \in j}g_i+ \alpha)^2 }{\sum_{i \in j}h_i + \lambda}Scorej=∑i∈jhi+λ(∑i∈jgi+α)2
因此,当lambda越大,结构分数Score会越小,参数gamma的力量会被放大(在obj整个式子的比重会变大),模型整体的剪枝会变得更加严格(后一项是γT\gamma TγT),同时,由于lambda还可以通过目标函数(在原始目标函数中是正则化系数)将模型学习的重点拉向结构风险,因此lambda具有双重扛过拟合能力。
然而,当alpha越大时,结构分数会越大,参数gamma的力量会被缩小,模型整体的剪枝会变得更宽松。然而,alpha还可以通过目标函数将模型学习的重点拉向结构风险,因此alpha会通过放大结构分数抵消一部分扛过拟合的能力(削弱gamma剪枝的效果)。整体来看,alpha是比lambda更宽松的剪枝方式。
-
-
| 参数含义 | 原生代码 | sklearn API |
|---|---|---|
| 乘在叶子节点数量前的系数;允许分枝的最低结构分数增益 | gamma (params) | gamma |
| L2正则项系数;结构分数中间接影响树的生长和分枝 | lambda (params) | reg_lambda |
| L1正则项系数;结构分数中间接影响树的生长和分枝 | alpha (params) | reg_alpha |
在实际控制过拟合的过程中,大家可能经常会发现这几个参数“无效”。比如我们可以看到:
import xgboost as xgb
# 读取train_encode数据集
data = pd.read_csv("train_encode.csv",index_col=0)
# 定义特征数据集和标签数据集
X = data.iloc[:,:-1]
y = data.iloc[:,-1]
#定义一个函数,用来检测模型迭代完毕后的过拟合情况
def overfitcheck(result):
return (result.iloc[-1,2] - result.iloc[-1,0]).min()
# 可视化xgboost在参数空间为max_depth=5, 随机种子为1412, 学习率为0.1, 叶子数量的惩罚项为【0,1】,步长为1,进行5折交叉验证下的100次迭代的折线图
train = []
test = []
gamma = np.arange(0,10,1)
overfit = []
for i in gamma:
params = {"max_depth":5,"seed":1412,"eta":0.1
,"gamma":float(i)
}
result = xgb.cv(params,data_xgb,num_boost_round=100
,nfold=5 #补充交叉验证中所需的参数,nfold=5表示5折交叉验证
,seed=1412 #交叉验证的随机数种子,params中的是管理boosting过程的随机数种子
)
overfit.append(overfitcheck(result))
train.append(result.iloc[-1,0])
test.append(result.iloc[-1,2])
plt.plot(gamma,overfit);

# 可视化gamma与训练集的折线图
plt.plot(gamma,train);

**对于没有上限或下限的参数,我们要关注参数的敏感度。**如果参数值稍稍移动,模型就变化很大,那参数敏感,如果参数值移动很多,模型才能有变化,那参数不敏感。当树的结构相对复杂时,gamma会比敏感,否则gamma可能非常迟钝
分析(从逆命题来思考):如果树结构本身不复杂:即树比较浅,分支较少,增加gamma值可能不会对现有的简单结构产生太大影响,因为即使在更高的gamma值下,当前的分支可能仍然是成本效益上合理的。在这种情况下,gamma的变化对模型影响不大,因此是一个不敏感的参数)。
当原始标签数值很大、且叶子数量不多时,lambda和alpha就会敏感,如果原始标签数值很小,这两个参数就不敏感。因此在使用这些参数之前,最好先对参数的敏感程度有一个探索
y.describe()分析:当原始标签数值很大时,模型需要更精细地调整其预测,以准确反映这些较大的数值。在这种情况下,正则化参数对模型性能的影响会更加显著,因为它们控制着模型的复杂性和拟合能力。如果叶子数量不多,这意味着模型本身较为简单,因此正则化参数的调整会对模型产生较大的影响;另一方面,如果原始标签数值较小,模型不需要非常精细的调整来适应这些数值,因此lambda和alpha的调整可能对模型的性能影响不大。即使增加正则化程度,模型可能仍然能够合理地拟合这些较小的数值。
-
弱评估器结构
-
min_child_weight:任意节点jjj上所允许的最小的∑i∈jhi\sum_{i \in j}h_i∑i∈jhi值如果一个节点上的∑i∈jhi\sum_{i \in j}h_i∑i∈jhi小于该参数中设置的值,该节点被剪枝。
Scorej=(∑i∈jgi)2∑i∈jhi+λ Score_j = \frac{(\sum_{i \in j}g_i)^2}{\sum_{i \in j}h_i + \lambda}Scorej=∑i∈jhi+λ(∑i∈jgi)2其中,hih_ihi是样本iii的损失函数lll在预测值f(xi)f(x_i)f(xi)上的二阶导数,∑i∈jhi\sum_{i \in j}h_i∑i∈jhi就是该节点上所有样本的hih_ihi之和。
在上一节中,假设损失函数为12MSE\frac{1}{2}MSE21MSE,我们推导出任意样本的hi=1h_i = 1hi=1,因此∑i∈jhi\sum_{i \in j}h_i∑i∈jhi应该等于该叶子节点上的总样本量。因为这个原因,hih_ihi在XGBoost原始论文和官方说明中有时被称为“样本权重”(instance weight)。因此,当MSE为损失函数时,参数min_child_weight很类似于sklearn中的min_sample_leaf,即一个节点上所允许的最小样本量。
然而,如果我们使用的损失函数不是MSE,那hih_ihi也就不会等于1了。不过官方依然将hih_ihi称之为样本权重,当损失函数更换时,样本的权重也随之变化。当损失函数不为MSE时,参数min_child_weight时一个节点上所允许的最小样本权重量。
很显然,参数min_child_weight越大,模型越不容易过拟合,同时学习能力也越弱 -
booster:使用哪种弱评估器可以输入"gbtree"、“gblinear"或者"dart”。
输入"gbtree"表示使用遵循XGBoost规则的CART树,我们之前提到的XGBoost在GBDT上做出的改善基本都是针对这一类型的树。这一类型的树又被称为“XGBoost独有树”,XGBoost Unique Tree。
输入"dart"表示使用抛弃提升树,DART是Dropout Multiple Additive Regression Tree的简称。这种建树方式受深度学习中的Dropout技巧启发,在建树过程中会随机抛弃一些树的结果,可以更好地防止过拟合。在数据量巨大、过拟合容易产生时,DART树经常被使用,但由于会随机地抛弃到部分树,可能会伤害模型的学习能力,同时可能会需要更长的迭代时间。
输入"gblinear"则表示使用线性模型,当弱评估器类型是"gblinear"而损失函数是MSE时,表示使用xgboost方法来集成线性回归。当弱评估器类型是"gblinear"而损失函数是交叉熵损失时,则代表使用xgboost来集成逻辑回归。
每一种弱评估器都有自己的params列表,例如只有树模型才会有学习率等参数,只有DART树才会有抛弃率等参数。评估器必须与params中的参数相匹配,否则一定会报错。其中,由于DART树是从gbtree的基础上衍生而来,因此gbtree的所有参数DART树都可以使用。
参数含义 原生代码 sklearn API 选择使用不同的弱评估器 booster
(params)booster
-
DART Booster 介绍
XGBoost 基本上都是组合大量小学习率的回归树。在这种情况, 越晚添加的树比越早添加的树更重要。
特征
Drop Trees是为了解决过拟合
因为随机dropout不使用用于保存预测结果的buffer(保证内存连续)所以训练会更慢
因为随机, 早停可能不够稳定
DART算法和MART(GBDT)算法主要有两个不同点:
- dropout
计算下一棵树要拟合的梯度的时候, 仅仅随机从已经生成的树中选取一部分。假设经过 nnn 次迭代之后当前模型为 M,M=∑i=1nTiM, M=\sum_{i=1}^n T_iM,M=∑i=1nTi, 当中 TiT_iTi 是第 iii 次学习到的树。DART算法首先选择一个随机子集 I⊂{1,…,n}I \subset\{1, \ldots, n\}I⊂{1,…,n}, 创建模型 M^=∑i∈ITi\hat{M}=\sum_{i \in I} T_iM^=∑i∈ITi 。树 TTT 从 {(x,−Lx′(M^(x)))}\left\{\left(x,-L_x^{\prime}(\hat{M}(x))\right)\right\}{(x,−Lx′(M^(x)))} 学习得到, 当中 Lx′()L_x^{\prime}()Lx′() 表示求损失函数的梯度作为下一次的标签, GDBT中使用损失函数的梯度作为下一个树的输入标签。- 归一化
DART和MART第二点不同就是DART添加一棵树时需要先归一化。归一化背后的原理是: 树T是尝试减少 M^\hat{M}M^ 和最优预测器之间的差距, dropped trees也是为了减少这个差距。因此引入 new tree和 dropped trees都是为了达到相同的目标。进一步说, 假设通过 III 建立模型 M^\hat{M}M^ 时drop掉k棵树。因此, DART算法将树 TTT 乘以 1/(k+1)1 / (k+1)1/(k+1), 因为不丢弃k棵树而直接产生新树的话,我们迭代更新出来的提升树所需要计算的负梯度是只需要计算新树所需的k+1倍,为了抵消这个差距,需要乘上一个正则化因子 1/(k+1)1 / (k+1)1/(k+1),对于被丢弃的树要乘k/(k+1)k / (k+1)k/(k+1),是为了保证新的树的引入和不引入的效果一样(使得每棵树的权重都是11+k\frac{1}{1+k}1+k1,使得和为1)。算法流程
- 在第m次训练, 假设 kkk 棵树被dropped。
- 假设 D=∑i∈KFiD=\sum_{i \in \mathbf{K}} F_iD=∑i∈KFi 是dropped trees叶子节点的得分, Fm=ηF~mF_m=\eta \tilde{F}_mFm=ηF~m 是新的树的叶子节点的得分, η\etaη 表示学习率
- 目标函数如下:
Obj=∑j=1nL(yj,y^jm−1−D+ηF~m)+Ω(Fm) \mathrm{Obj}=\sum_{j=1}^n L\left(y_j, \hat{y}_j^{m-1}-D+\eta \tilde{F}_m\right)+\Omega\left(F_m\right) Obj=j=1∑nL(yj,y^jm−1−D+ηF~m)+Ω(Fm)由于dropout 在设定目标函数时引入了随机丢弃,因此如果直接引入 F~m\tilde{F}_mF~m ,则会引起超调。因此引入缩放因子,这称作为归一化
注意:
超调通常指的是在优化过程中,参数更新过于激进导致优化目标函数过度变化,可能会导致学习过程不稳定,甚至发散。在梯度下降中,如果学习率过高,那么参数更新可能会超过最优点,导致损失函数在最优值附近来回震荡或者越过最小值点变得更糟。
DDD 和 FmF_mFm 有相同的目标:缩小预测差距, 使用拉伸系数(scale factor):
y^jm=∑i∉KFi+a(∑i∈KFi+bFm)\hat{y}_j^m=\sum_{i \notin \mathbf{K}} F_i+a\left(\sum_{i \in \mathbf{K}} F_i+b F_m\right)y^jm=∑i∈/KFi+a(∑i∈KFi+bFm)
令 F^=∑i≠KFi\hat{F}=\sum_{i \neq \mathbb{K}} F_iF^=∑i=KFi 。采用归一化的原因是: F~m\tilde{F}_mF~m 试图缩小 M^\hat{M}M^ 到目标之间的 gap;而 D\mathrm{D}D也会试图缩小 M^\hat{M}M^ 到目标之间的gap。如果同时引入随机丟弃的子树集合 D\mathrm{D}D ,以及新的子树 FmF_mFm ,则会引起超调。
归一化算法的类型(
normalize_type)
normalize_type =
tree
新的tree和每一个dropped trees有同样的权重
新的trees的权重为 1 / ( k+k+k+ learning_rate)
dropped trees乘以一个系数 k/(k+\mathrm{k} /(\mathrm{k}+k/(k+ learning_rate )
证明:
a(∑i∈KFi+1kFm)=a(∑i∈KFi+ηkF~m)∼a(1+ηk)D=ak+ηkD=Da=kk+η. \begin{aligned} a\left(\sum_{i \in \mathbf{K}} F_i+\frac{1}{k} F_m\right) & =a\left(\sum_{i \in \mathbf{K}} F_i+\frac{\eta}{k} \tilde{F}_m\right) \\ & \sim a\left(1+\frac{\eta}{k}\right) D \\ & =a \frac{k+\eta}{k} D=D \\ & a=\frac{k}{k+\eta} . \end{aligned} a(i∈K∑Fi+k1Fm)=a(i∈K∑Fi+kηF~m)∼a(1+kη)D=akk+ηD=Da=k+ηk.normalize_type =
forest:
新的树和所有dropped trees的和有相同的权重
新的trees的权重为 1 / ( 1+1+1+ learning_rate )))
dropped trees乘以一个系数 1/(1+1 /(1+1/(1+ learning_rate )))
证明:
a(∑i∈KFi+Fm)=a(∑i∈KFi+ηF~m)∼a(1+η)D=a(1+η)D=Da=11+η. \begin{aligned} a\left(\sum_{i \in \mathbf{K}} F_i+F_m\right) & =a\left(\sum_{i \in \mathbf{K}} F_i+\eta \tilde{F}_m\right) \\ & \sim a(1+\eta) D \\ & =a(1+\eta) D=D \\ & a=\frac{1}{1+\eta} . \end{aligned} a(i∈K∑Fi+Fm)=a(i∈K∑Fi+ηF~m)∼a(1+η)D=a(1+η)D=Da=1+η1.
-
DART 树
在第kkk次迭代中建立新的树时,迭代后的结果等于之前所有k−1{k-1}k−1棵树的结果加新建立的树的结果:
Hk(xi)=Hk−1(xi)+ηfk(xi)H_k(x_i) = H_{k-1}(x_i) + \boldsymbol{\color{red}\eta} f_k(x_i)Hk(xi)=Hk−1(xi)+ηfk(xi)
DART树在每一次迭代前都会随机地抛弃部份树,即不让这些树参与Hk−1(xi)H_{k-1}(x_i)Hk−1(xi)的计算,这种随机放弃的方式被叫做“Dropout”(抛弃)。举例说明,假设现在一共有5棵树,结果分别如下:
k=1 k=2 k=3 k=4 k=5 ηfk(xi)\eta f_k(x_i)ηfk(xi) 1 0.8 0.6 0.5 0.3 当建立第6棵树时,普通提升树的Hk−1(xi)H_{k-1}(x_i)Hk−1(xi) = 1+0.8+0.6+0.5+0.3 = 3.2。对于DART树来说,我们可以认为设置抛弃率
rate_drop,假设抛弃率为0.2,则DART树会随机从5棵树中抽样一棵树进行抛弃。假设抛弃了第二棵树,则DART树的Hk−1(xi)H_{k-1}(x_i)Hk−1(xi) = 1+0.6+0.5+0.3 = 2.4。通过影响Hk−1(xi)H_{k-1}(x_i)Hk−1(xi),DART树影响损失函数、影响整个算法的输出结果H(x)H(x)H(x),以此就可以在每一次迭代中极大程度地影响整个xgboost的方向。在一般的抗过拟合方法当中,我们只能从单棵树的学习能力角度入手花式对树进行剪枝,但DART树的方法是对整体迭代过程进行控制。在任意以“迭代”为核心的算法当中,我们都面临同样的问题,即最开始的迭代极大程度地影响整个算法的走向,而后续的迭代只能在前面的基础上小修小补。在这个过程中,没有任何过抗拟合手段可以从流程上影响到那些先建立的、具有巨大影响力的树,但DART树就可以削弱这些前端树的影响力,大幅提升抗过拟合的能力。
-
参数
rate_drop:每一轮迭代时抛弃树的比例设置为0.3,则表示有30%的树会被抛弃。只有当参数
booster="dart"时能够使用,只能填写[0.0,1.0]之间的浮点数,默认值为0。-
参数
one_drop:每一轮迭代时至少有one_drop棵树会被抛弃可以设置为任意正整数,例如
one_drop= 10,则意味着每轮迭代中至少有10棵树会被抛弃。
当参数one_drop的值高于rate_drop中计算的结果时,则按照one_drop中的设置执行Dropout。例如,总共有30棵树,rate_drop设置为0.3,则需要抛弃9棵树。但one_drop中设置为10,则一定会抛弃10棵树。当one_drop的值低于rate_drop的计算结果时,则按rate_drop的计算结果执行Dropout。(哪个高执行哪个) -
参数
skip_drop:每一轮迭代时可以不执行dropout的概率即便参数
booster=‘dart’,每轮迭代也有skip_drop的概率可以不执行Dropout,是所有设置的概率值中拥有最高权限的参数。该参数只能填写[0.0,1.0]之间的浮点数,默认值为0。当该参数为0时,则表示每一轮迭代都一定会抛弃树。如果该参数不为0,则有可能不执行Dropout,直接按照普通提升树的规则建立新的提升树。
需要注意的是**,skip_drop的权限高于one_drop。即便one_drop中有所设置,例如每次迭代必须抛弃至少10棵树,但只要skip_drop不为0,每轮迭代则必须经过skip_drop的概率筛选**。如果skip_drop说本次迭代不执行Dropout,则忽略one_drop中的设置。 -
参数
sample_type:抛弃时所使用的抽样方法填写字符串"uniform":表示均匀不放回抽样。
填写字符串"weighted":表示按照每棵树的权重进行有权重的不放回抽样。
注意,该不放回是指在一次迭代中不放回。每一次迭代中的抛弃是相互独立的,因此每一次抛弃都是从所有树中进行抛弃。上一轮迭代中被抛弃的树在下一轮迭代中可能被包括。 -
参数
normalize_type:增加新树时,赋予新树的权重当随机抛弃已经建好的树时,可能会让模型结果大幅度偏移,因此往往需要给与后续的树更大的权重,让新增的、后续的树在整体算法中变得更加重要。所以DART树在建立新树时,会有意地给与后续的树更大的权重。我们有两种选择:
填写字符串"tree",表示新生成的树的权重等于所有被抛弃的树的权重的均值。
填写字符串"forest",表示新生成的树的权重等于所有被抛弃的树的权重之和。注意:
算法默认为"tree",当我们的dropout比例较大,且我们相信希望给与后续树更大的权重时,会选择"forest"模式。
注意:两个参数
sample_type与normalize_type都使用了概念“树的权重”,树的权重其实指的是整棵树上所有叶子权重之和** -
DART树的缺点
- 用于微调模型的一些树可能被抛弃,微调可能失效;
- 由于存在随机性,模型可能变得不稳定,因此提前停止等功能可能也会变得不稳定;
- 由于要随机抛弃一些树的结果,在工程上来说就无法使用每一轮之前计算出的Hk−1H_{k-1}Hk−1,而必须重新对选中的树结果进行加权求和,可能导致模型迭代变得略微缓慢。
DART树代码
# xgboost在参数空间为max_depth=5, 随机种子为1412, 学习率为0.1, 采用dart树,均匀不放回抽样,新生成的树的权重等于所有被抛弃的树的权重的均值,每一轮迭代时抛弃树的比例为20%,每一轮迭代时可以不执行dropout的概率为0.5 # 进行5折交叉验证下的100次迭代的数据 data_xgb = xgb.DMatrix(X,y) params_dart = {"max_depth":5 ,"seed":1412, "eta":0.1 ,"booster":"dart","sample_type": "uniform" ,"normalize_type":"tree" ,"rate_drop": 0.2 ,"skip_drop": 0.5} result_dart = xgb.cv(params_dart,data_xgb,num_boost_round=100 ,nfold=5 #补充交叉验证中所需的参数,nfold=5表示5折交叉验证 ,seed=1412 #交叉验证的随机数种子,params中的是管理boosting过程的随机数种子 ) -
-
弱评估器的训练数据
-
样本的抽样
- 参数
subsample:对样本进行抽样的比例,默认为1,可输入(0,1]之间的任何浮点数。例如,输入0.5,则表示随机抽样50%的样本进行建树。
当该参数设置为1时,表示使用原始数据进行建模,不进行抽样。同时,XGBoost中的样本抽样是不放回抽样,因此不像GBDT或者随机森林那样存在袋外数据的问题,同时也无法抽样比原始数据更多的样本量。因此,抽样之后样本量只能维持不变或变少,如果样本量较少,建议保持
subsample=1。- 参数
sampling_method:对样本进行抽样时所使用的抽样方法,默认均匀抽样。
输入"uniform":表示使用均匀抽样,每个样本被抽到的概率一致。如果使用均匀抽样,建议
subsample的比例最好在0.5或以上。
需要注意的是,该参数还包含另一种可能的输入"gradient_based":表示使用有权重的抽样,并且每个样本的权重等于该样本的gi2+λhi2\sqrt{g_i^2 +\lambda h_i^2}gi2+λhi2。但该输入目前还不支持XGBoost当中主流的gbtree等建树方法,因此一般我们不会用到。 - 参数
-
特征的抽样
-
参数
colsample_bytree,colsample_bylevel,colsample_bynode,这几个参数共同控制对特征所进行的抽样。所有形似
colsample_by*的参数都是抽样比例,可输入(0,1]之间的任何浮点数,默认值都为1。对于GBDT、随机森林来说,特征抽样是发生在每一次建树之前。但对XGBoost来说,特征的抽样可以发生在建树之前(由
colsample_bytree控制)、生长出新的一层树之前(由colsample_bylevel控制)、或者每个节点分枝之前(由colsample_bynode控制)。三个参数之间会互相影响,全特征集 >= 建树所用的特征子集 >= 建立每一层所用的特征子集 >= 每个节点分枝时所使用的特征子集。
举例说明:假设原本有64个特征,参数
colsample_bytree等于0.5,则用于建树的特征就只有32个。此时,如果colsample_bylevel不为1,也为0.5,那新建层所用的特征只能由16个,并且这16个特征只能从当前树已经抽样出的32特征中选择。同样的,如果colsample_bynode也不为1,为0.5,那每次分枝之前所用的特征就只有8个,并且这8个特征只能从当前层已经抽样出的16个特征中选择。在实际使用时,我们可以让任意抽样参数的比例为1,可以在某一环节不进行抽样。一般如果特征量太少(例如,10个以下),不建议同时使用三个参数。
-
提前停止
- 提前停止
参数
early_stopping_rounds:位于xgb.train方法当中。如果规定的评估指标不能连续early_stopping_rounds次迭代提升,那就触发提前停止。
- 模型监控与评估
参数
evals:位于xgb.train方法当中,用于规定训练当中所使用的评估指标,一般都与损失函数保持一致,也可选择与损失函数不同的指标。该指标也用于提前停止。
参数verbosity:用于打印训练流程和训练结果的参数。在最早的版本中该参数为silent,后来经过更新变成了今天的verbosity。然而,经过改进之后的verbosity更倾向于帮助我们打印建树相关的信息,而不像原来的silent一样帮助我们展示训练过程中的模型评估信息,因此verbosity现在不那么实用了。我们可以在verbosity中设置数字[0,1,2,3],参数默认值为1。
- 0:不打印任何内容
- 1:表示如果有警告,请打印警告
- 2:请打印建树的全部信息
- 3:我正在debug,请帮我打印更多的信息。
- 样本不均衡
参数
scale_pos_weight:调节样本不均衡问题,类似于sklearn中的class_weight,仅在算法执行分类任务时有效。参数scale_pos_weight的值可以是负样本比正样本的比例,默认为1,因此XGBoost时默认调节样本均衡的。同时,如果你需要手动设置这个参数,通常可以设置为(负样本总量)/(正样本总量)这样的值。
- 并行的线程
参数
nthread:允许并行的最大线程数,类似于sklearn中的n_jobs,默认为最大,因此xgboost在默认运行时就会占用大量资源。如果数据量较大、模型体量较大,可以设置比最大线程略小的线程,为其他程序运行留出空间。
确定XGBoost优化的参数空间
XGBoost各参数对算法的影响:
| 影响力 | 参数 |
|---|---|
| ⭐⭐⭐⭐⭐ 几乎总是具有巨大影响力 | num_boost_round(整体学习能力) eta(整体学习速率) |
| ⭐⭐⭐⭐ 大部分时候具有影响力 | booster(整体学习能力) colsample_by*(随机性) gamma(结构风险 + 精剪枝) lambda(结构风险 + 间接剪枝) min_child_weight(精剪枝) |
| ⭐⭐ 可能有大影响力 大部分时候影响力不明显 | max_depth(粗剪枝) alpha(结构风险 + 精剪枝) subsamples(随机性) objective(整体学习能力) scale_pos_weight(样本不均衡) |
| ⭐ 当数据量足够大时,几乎无影响 | seed base_score(初始化) |
特别注意:
在随机森林中影响力巨大的
max_depth在XGBoost中默认值为6,比GBDT中的调参空间略大,但还是没有太多的空间,因此影响力不足。在GBDT中影响力巨大的
max_features对标XGBoost中的colsample_by*系列参数,原则上来说影响力应该非常大,但由于三个参数共同作用,调参难度较高,在只有1个参数作用时效果略逊于max_features。精剪枝参数往往不会对模型有太大的影响,但在XGBoost当中,
min_child_weight与结构分数的计算略微相关,因此有时候会展现出较大的影响力。故而将这个精剪枝参数设置为4星参数。类似于
objective这样影响整体学习能力的参数一般都有较大的影响力,但XGBoost当中每种任务可选的损失函数不多,因此一般损失函数不在调参范围之内,故认为该参数的影响力不明显。XGBoost的初始化分数只能是数字,因此当迭代次数足够多、数据量足够大时,起点的影响会越来越小。因此我们一般不会对base_score进行调参。
优先会考虑影响力巨大的参数(5星参数),当算力足够/优化算法运行较快的时候,我们可以考虑将大部分时候具有影响力的参数(4星)也都加入参数空间。一般来说,只要样本量足够,我们还是愿意尝试
subsample以及max_depth,如果算力充足,我们还可以加入obejctive这样或许会有效的参数。需要说明的是:
- 一般不会同时使用三个
colsample_by*参数、更不会同时调试三个colsample_by*参数。首先,参数colsample_bylevel较为不稳定,不容易把握,因此**当训练资源充足时,会同时调整colsample_bytree和colsample_bynode。**如果计算资源不足,或者优先考虑节约计算时间,则会先选择其中一个参数、尝试将特征量控制在一定范围内来建树,并观察模型的结果。在这三个参数中,使用bynode在分枝前随机,比使用bytree建树前随机更能带来多样性、更能对抗过拟合,但同时也可能严重地伤害模型的学习能力。- 对于有界且范围区间为1的参数(比如
colsample_bynode,subsamples、eta等),或者有固定选项的参数(比如booster,objective),无需确认参数空间。- 对取值较小的参数(例如树模型的
min_impurity_decrease等),或者通常会向下调整的参数(比如max_depth),一般是围绕默认值向两边展开构建参数空间。- 对于取值可大可小,且原则上可取到无穷值的参数(
num_boost_round,gamma、lambda、min_child_weight等),一般需要绘制学习曲线进行提前探索,或者也可以设置广而稀的参数空间,来一步步缩小范围。
import xgboost as xgb
data_xgb = xgb.DMatrix(X,y)
#定义一个函数,用来检测模型迭代完毕后的过拟合情况
def overfitcheck(result):
return (result.iloc[-1,2] - result.iloc[-1,0]).min()
num_boost_round参数范围搜索
# 可视化xgboost在参数空间为max_depth=5, 随机种子为1412, 学习率为0.1,
# 进行5折交叉验证下进行300次以内的迭代的折线图(包括训练集,测试集和迭代完毕后的过拟合情况)
train = []
test = []
option = np.arange(10,300,10)
overfit = []
for i in option:
params = {"max_depth":5,"seed":1412,"eta":0.1, "nthread":16
}
result = xgb.cv(params,data_xgb,num_boost_round=i
,nfold=5 #补充交叉验证中所需的参数,nfold=5表示5折交叉验证
,seed=1412 #交叉验证的随机数种子,params中的是管理boosting过程的随机数种子
)
overfit.append(overfitcheck(result))
train.append(result.iloc[-1,0])
test.append(result.iloc[-1,2])
plt.plot(option,test)
lot(option,train)
plt.plot(option,overfit)
# 缩小纵坐标范围
plt.ylim(20000,30000);
min_child_weight参数范围搜索
# 可视化xgboost在参数空间为max_depth=5, 随机种子为1412, 学习率为0.1,min_child_weight设置为【0,100】
# 进行5折交叉验证下进行50次以内的迭代的折线图(包括训练集,测试集和迭代完毕后的过拟合情况)(删去下面两格)(code)
train = []
test = []
option = np.arange(0,100,1)
overfit = []
for i in option:
params = {"max_depth":5,"seed":1412,"eta":0.1, "nthread":16
,"min_child_weight":i
}
result = xgb.cv(params,data_xgb,num_boost_round=50
,nfold=5 #补充交叉验证中所需的参数,nfold=5表示5折交叉验证
,seed=1412 #交叉验证的随机数种子,params中的是管理boosting过程的随机数种子
)
overfit.append(overfitcheck(result))
train.append(result.iloc[-1,0])
test.append(result.iloc[-1,2])
plt.plot(option,test)
lot(option,train)
plt.plot(option,overfit)
全部参数的参数空间
| 参数 | 范围 |
|---|---|
num_boost_round | 学习曲线探索,最后定为 (50,200,10) |
eta | 以0.3为中心向两边延展,最后定为 (0.05,2.05,0.05) |
booster | 两种选项 [“gbtree”,“dart”] |
colsample_bytree | 设置为(0,1]之间的值,但由于还有参数bynode,因此整体不宜定得太小,因此定为(0.3,1,0.1) |
colsample_bynode | 设置为(0,1]之间的值,定为 (0.1,1,0.1) |
gamma | 学习曲线探索,有较大可能需要改变,定为 (1e6,1e7,1e6) |
lambda | 学习曲线探索,定为 (0,3,0.2) |
min_child_weight | 学习曲线探索,定为 (0,50,2) |
max_depth | 以6为中心向两边延展,右侧范围定得更大 (2,30,2) |
subsample | 设置为(0,1]之间的值,定为 (0.1,1,0.1) |
objective | 两种回归类模型的评估指标 [“reg:squarederror”, “reg:squaredlogerror”] |
rate_drop | 如果选择"dart"树所需要补充的参数,设置为(0,1]之间的值 (0.1,1,0.1) |
基于TPE对XGBoost进行优化
# 导入日常使用库与算法
import pandas as pd
import numpy as np
import sklearn
import matplotlib as mlp
import matplotlib.pyplot as plt
import time
import xgboost as xgb
# 导入优化算法相关的库
import hyperopt
from hyperopt import hp, fmin, tpe, Trials, partial
from hyperopt.early_stop import no_progress_loss
# 导入train_encode文件
data = pd.read_csv("train_encode.csv",index_col=0)
# 定义特征数据集和标签数据集
X = data.iloc[:,:-1]
y = data.iloc[:,-1]
-
定义目标函数
def hyperopt_objective(params): paramsforxgb = {"eta":params["eta"] ,"booster":params["booster"] ,"colsample_bytree":params["colsample_bytree"] ,"colsample_bynode":params["colsample_bynode"] ,"gamma":params["gamma"] ,"lambda":params["lambda"] ,"min_child_weight":params["min_child_weight"] ,"max_depth":int(params["max_depth"]) ,"subsample":params["subsample"] ,"objective":params["objective"] ,"rate_drop":params["rate_drop"] ,"nthread":14 ,"verbosity":0 ,"seed":1412} result = xgb.cv(params,data_xgb, seed=1412, metrics=("rmse") ,num_boost_round=int(params["num_boost_round"])) return result.iloc[-1,2] -
定义参数空间
param_grid_simple = {'num_boost_round': hp.quniform("num_boost_round",50,200,10) ,"eta": hp.quniform("eta",0.05,2.05,0.05) ,"booster":hp.choice("booster",["gbtree","dart"]) ,"colsample_bytree":hp.quniform("colsample_bytree",0.3,1,0.1) ,"colsample_bynode":hp.quniform("colsample_bynode",0.1,1,0.1) ,"gamma":hp.quniform("gamma",1e6,1e7,1e6) ,"lambda":hp.quniform("lambda",0,3,0.2) ,"min_child_weight":hp.quniform("min_child_weight",0,50,2) ,"max_depth":hp.choice("max_depth",[*range(2,30,2)]) ,"subsample":hp.quniform("subsample",0.1,1,0.1) ,"objective":hp.choice("objective",["reg:squarederror","reg:squaredlogerror"]) ,"rate_drop":hp.quniform("rate_drop",0.1,1,0.1) } -
定义优化函数
def param_hyperopt(max_evals=100): #保存迭代过程 trials = Trials() #设置提前停止 early_stop_fn = no_progress_loss(30) #定义代理模型 params_best = fmin(hyperopt_objective , space = param_grid_simple , algo = tpe.suggest , max_evals = max_evals , verbose=True , trials = trials , early_stop_fn = early_stop_fn ) #打印最优参数,fmin会自动打印最佳分数 print("\n","\n","best params: ", params_best, "\n") return params_best, trials -
训练5次贝叶斯优化器
params_best, trials = param_hyperopt(100) params_best, trials = param_hyperopt(100) params_best, trials = param_hyperopt(100) params_best, trials = param_hyperopt(100) params_best, trials = param_hyperopt(100)根据5次贝叶斯优化器的结果调整参数空间
| 1 | 2 | 3 | 4 | 5 | |
|---|---|---|---|---|---|
| num_boost_round | 200 | 110 | 170 | 110 | 180 |
| booster | 1 | 1 | 0 | 1 | 1 |
| objective | 0 | 0 | 0 | 0 | 0 |
| colsample_bynode | 0.8 | 0.5 | 1.0 | 0.3 | 0.9 |
| colsample_bytree | 0.8 | 1.0 | 0.5 | 1.0 | 0.4 |
| eta | 1.55 | 0.5 | 0.05 | 1.0 | 1.3 |
| gamma | 2e6 | 1e7 | 7e6 | 7e6 | 9e6 |
| lambda | 0.2 | 1.6 | 2.4 | 0 | 1.2 |
| max_depth | 2 | 2 | 9 | 8 | 8 |
| min_child_weight | 0 | 0 | 0 | 2 | 4 |
| rate_drop | 0.2 | 0.7 | 0.7 | 0.4 | 0.1 |
| subsample | 0.9 | 0.7 | 0.6 | 0.7 | 1 |
首先,
objective在所有迭代中都被选为"reg:squarederror",这也是xgboost的默认值,因此不再对该参数进行搜索。同样的。booster参数在5次运行中有4次被选为"dart",因此基本可以确认对目前的数据使用DART树是更好的选择。同时在参考结果时我们就可以不太考虑第三次搜索的结果,因为第三次搜索是给予普通gbtree给出的结果。对于其他参数,我们则根据搜索结果修改空间范围、增加空间密度,一般让范围向选中更多的一边倾斜,并且减小步长。例如
num_boost_round从来没有选到100以下的值,还有一次触顶,两次接近上限,因此可以将原本的范围(50,200,10)修改为(100,300,10)。colsample_bynode的结果均匀地分布在0.3~1之间,可以考虑不更换范围,但缩小步长。colsample_bytree的结果更多偏向于1.0,因此可以考虑提升下限。
-
调整参数空间
param_grid_simple = {'num_boost_round': hp.quniform("num_boost_round",100,300,10) ,"eta": hp.quniform("eta",0.05,2.05,0.05) ,"colsample_bytree":hp.quniform("colsample_bytree",0.5,1,0.05) ,"colsample_bynode":hp.quniform("colsample_bynode",0.3,1,0.05) ,"gamma":hp.quniform("gamma",5e6,1.5e7,5e5) ,"lambda":hp.quniform("lambda",0,2,0.1) ,"min_child_weight":hp.quniform("min_child_weight",0,10,0.5) ,"max_depth":hp.choice("max_depth",[*range(2,15,1)]) ,"subsample":hp.quniform("subsample",0.5,1,0.05) ,"rate_drop":hp.quniform("rate_drop",0.1,1,0.05) } -
调整目标函数
def hyperopt_objective(params): paramsforxgb = {"eta":params["eta"] ,"colsample_bytree":params["colsample_bytree"] ,"colsample_bynode":params["colsample_bynode"] ,"gamma":params["gamma"] ,"lambda":params["lambda"] ,"min_child_weight":params["min_child_weight"] ,"max_depth":int(params["max_depth"]) ,"subsample":params["subsample"] ,"rate_drop":params["rate_drop"] ,"booster":"dart" ,"nthred":14 ,"verbosity":0 ,"seed":1412} result = xgb.cv(params,data_xgb, seed=1412, metrics=("rmse") ,num_boost_round=int(params["num_boost_round"])) return result.iloc[-1,2] -
训练5次贝叶斯优化器
params_best, trials = param_hyperopt(100) params_best, trials = param_hyperopt(100) params_best, trials = param_hyperopt(100) params_best, trials = param_hyperopt(100) params_best, trials = param_hyperopt(100) -
选取损失值最小的一组参数进行验证
def hyperopt_validation(params): paramsforxgb = {"eta":params["eta"] ,"booster":"dart" ,"colsample_bytree":params["colsample_bytree"] ,"colsample_bynode":params["colsample_bynode"] ,"gamma":params["gamma"] ,"lambda":params["lambda"] ,"min_child_weight":params["min_child_weight"] ,"max_depth":int(params["max_depth"]) ,"subsample":params["subsample"] ,"rate_drop":params["rate_drop"] ,"nthred":14 ,"verbosity":0 ,"seed":1412} result = xgb.cv(params,data_xgb, seed=1412, metrics=("rmse") ,num_boost_round=int(params["num_boost_round"])) return result.iloc[-1,2]bestparams = {'colsample_bynode': 0.45 , 'colsample_bytree': 1.0 , 'eta': 0.05 , 'gamma': 13000000.0 , 'lambda': 0.5 , 'max_depth': 6 , 'min_child_weight': 0.5 , 'num_boost_round': 150.0 , 'rate_drop': 0.65 , 'subsample': 0.8500000000000001}# 对训练完得到的最优参数进行验证,打印运行时间 start = time.time() hyperopt_validation(bestparams) end = (time.time() - start) print(end)
参考资料
- 菜菜机器学习实战课程
- https://blog.csdn.net/Yongchun_Zhu/article/details/78745529

7万+





