一、多重继承

Python支持多重继承,一个子类可以有多个“直接父类”。这样,就具备了“多个父类”的特点。但是由于,这样会被“类的整体层次”搞的异常复杂,尽量避免使用。
class A:
def aa(self):
print("aa")
class B:
def bb(self):
print("bb")
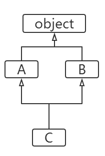
class C(B,A):
def cc(self):
print("cc")
c = C()
c.cc()
c.bb()
c.aa()
类结构为:

二、MRO方法解析顺序
Python支持多继承,如果父类中有相同名字的方法,在子类没有指定父类名时,解释器将“从左向右”按顺序搜索。
MRO(Method Resolution Order):方法解析顺序。 我们可以通过mro()方法获得“类的层次结构”,方法解析顺序也是按照这个“类的层次结构”寻找的。
class A:
def aa(self):
print("aa")
def say(self):
print("say AAA!")
class B:
def bb(self):
print("bb")
def say(self):
print("say BBB!")
class C(B,A):
def cc(self):
print("cc")
c = C()
print(C.mro()) #打印类的层次结构
c.say() #解释器寻找方法是“从左到右”的方式寻找,此时会执行B类中的say()
执行结果:
[main.C'>, main.B'>, main.A'>, ] say BBB!
三、super()获得父类定义
在子类中,如果想要获得父类的方法时,我们可以通过super()来做。
super()代表父类的定义,不是父类对象。
❤️想调用父类的构造方法:
super(子类名称,self).__init__(参数列表)
class A:
def __init__(self):
print("A的构造方法")
def say(self):
print("A: ",self)
print("say AAA")
class B(A):
def __init__(self):
super(B,self).__init__() #调用父类的构造方法
print("B的构造方法")
def say(self):
#A.say(self) 调用父类的say方法
super().say() #通过super()调用父类的方法
print("say BBB")
b = B()
b.say()
运行结果:
A: <__main__.B object at 0x007A5690>
say AAA
say BBB
四、多态

多态(polymorphism)是指同一个方法调用由于对象不同可能会产生不同的行为。
比如:现实生活中,同一个方法,具体实现会完全不同。 比如:同样是调用人“吃饭”的方法,中国人用筷子吃饭,英国人用刀叉吃饭,印度人用手吃饭。
关于多态要注意以下2点:
- 多态是方法的多态,属性没有多态。
- 多态的存在有2个必要条件:继承、方法重写
#多态
class Animal:
def shout(self):
print("动物叫了一声")
class Dog(Animal):
def shout(self):
print("小狗,汪汪汪")
class Cat(Animal):
def shout(self):
print("小猫,喵喵喵")
def animalShout(a):
a.shout() #传入的对象不同,shout方法对应的实际行为也不同。
animalShout(Dog())
animalShout(Cat())
五、特殊方法和运算符重载
Python的运算符实际上是通过调用对象的特殊方法实现的。
a = 20
b = 30
c = a+b
d = a.__add__(b)
print("c=",c)
print("d=",d)
运算结果:
c= 50
d= 50
常见的特殊方法统计如下:
| 方法 | 说明 | 例子 |
|---|---|---|
__init__ | 构造方法 | 对象创建和初始化:p = Person() |
__del__ | 析构方法 | 对象回收 |
__repr__,__str__ | 打印,转换 | print(a) |
__call__ | 函数调用 | a() |
__getattr__ | 点号运算 | a.xxx |
__setattr__ | 属性赋值 | a.xxx = value |
__getitem__ | 索引运算 | a[key] |
__setitem__ | 索引赋值 | a[key]=value |
__len__ | 长度 | len(a) |
每个运算符实际上都对应了相应的方法,统计如下:
| 运算符 | 特殊方法 | 说明 |
|---|---|---|
+ | __add__ | 加法 |
- | __sub__ | 减法 |
< <= == | __lt__ __le__ __eq__ | 比较运算符 |
> >= != | __gt__ __ge__ __ne__ | 比较运算符 |
| ^ & | __or__ __xor__ __and__ | 或、异或、与 |
<< >> | __lshift__ __rshift__ | 左移、右移 |
* / % // | __mul__ __truediv__ __mod__ __floordiv__ | 乘、浮点除、模运算(取余)、整数除 |
** | __pow__ | 指数运算 |
我们可以重写上面的特殊方法,即实现了“运算符的重载”。
#测试运算符的重载
class Person:
def __init__(self,name):
self.name = name
def __add__(self, other):
if isinstance(other,Person):
return "{0}--{1}".format(self.name,other.name)
else:
return "不是同类对象,不能相加"
def __mul__(self, other):
if isinstance(other,int):
return self.name*other
else:
return "不是同类对象,不能相乘"
p1 = Person("高淇")
p2 = Person("高希希")
x = p1 + p2
print(x)
print(p1*3)
运算结果:
高淇--高希希
高淇高淇高淇
本文详细介绍了Python中的多重继承,包括MRO(Method Resolution Order)的解析顺序,如何使用super()获取父类定义,多态的概念及其实现条件,以及特殊方法和运算符重载的原理。通过对这些概念的理解,读者能更好地掌握Python的继承机制。
2442

被折叠的 条评论
为什么被折叠?



