数据结构题目收录(十)

本文详细介绍了图的基本算法,包括广度优先搜索(BFS)与深度优先搜索(DFS)的原理及应用,探讨了不同存储结构下算法的时间复杂度,并对比了几种典型遍历顺序的特点。

1、下列关于广度优先算法的说法中,正确的是()。

Ⅰ.当各边的权值相等时,广度优先算法可以解决单源最短路径问题
Ⅱ.当个边的权值不等时,广度优先算法可用来解决单源最短路径问题
Ⅲ.广度优先遍历算法类似于树中的后序遍历算法
Ⅳ.实现图的广度优先算法时,使用的数据结构是队列

  • A:Ⅰ、Ⅳ
  • B:Ⅱ、Ⅲ、Ⅳ
  • C:Ⅱ、Ⅳ
  • D:Ⅰ、Ⅲ、Ⅳ
解析

广度优先搜索以起始结点为中心,一层一层地向外层扩展遍历图的顶点,因此无法考虑到边权值,只适合求边权值相等的图的单源最短路径。广度优先搜索相当于树的层序遍历,Ⅲ错误。广度优先搜索需要用到队列,深度优先搜索需要用到栈,Ⅳ正确。

答案:A

2、对一个有n个顶点、e条边的图采用邻接表表示时,进行DFS遍历的时间复杂度为(),空间复杂度为();进行BFS遍历的时间复杂度为(),空间复杂度为()。

  • A:O(n)
  • B:O(e)
  • C:O(n+e)
  • D:O(1)
解析

深度优先遍历时,每个顶点表结点和每个边表结点均查找一次,每个顶点递归调用一次,需要借助一个递归工作栈;
广度优先遍历时,也是每个顶点表结点和每个边表结点均查找一次,每个顶点进入队列一次。
所以都是选C,A。

答案:C、A、C、A

3、对一个有n个顶点、e条边的图采用邻接矩阵表示时,进行DFS遍历的时间复杂度为(),进行BFS遍历的时间复杂度为()。

  • A:O(n2)O(n^2)O(n2)
  • B:O(e)
  • C:O(n+e)
  • D:O(e2)O(e^2)O(e2)
解析

采用邻接矩阵表示时,查找一个顶点所有出边的时间复杂度为O(n),共有n个顶点,故时间复杂度均为O(n2n^2n2)。

答案:A、A

4、如下图所示,在下面的5个序列中,符合深度优先遍历的序列个数是()

在这里插入图片描述

  1. aebfdc
  2. acfdeb
  3. aedfcb
  4. aefdbc
  5. aecfdb
  • A:5
  • B:4
  • C:3
  • D:2
解析

仅1和4正确。
以2为例,遍历到c之后,与c邻接且未被访问的结点为空集,所以应为a的邻接点b或e入栈。
以3为例,因为遍历要按栈退回,所以是先b后c,而不能先c后b。

答案:D

5、用邻接表存储的图的深度优先遍历算法类似于树的(),而其广度优先遍历算法类似于树的()。

  • A:中序遍历
  • B:先序遍历
  • C:后序遍历
  • D:按层次遍历
解析

图的深度优先搜索类似于树的先根遍历,即先访问结点,再递归向外层结点遍历,都采用回溯算法。
图的广度优先搜索类似于树的层序遍历,即一层一层向外层扩展遍历,都需要采用队列来辅助算法的实现。

答案:B、D

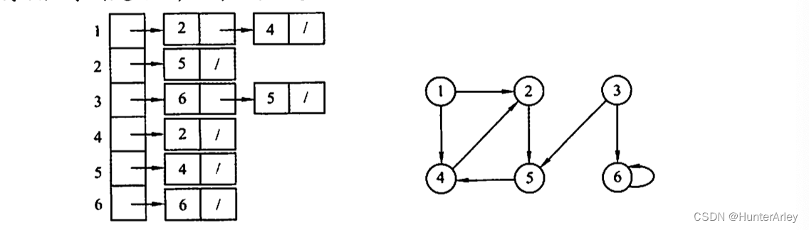
6、一个有向图G的邻接表存储如下图所示,从顶点1出发,对图G调用深度优先遍历所得顶点序列是();按广度优先遍历所得顶点序列是()。

在这里插入图片描述

  • A:125436
  • B:124536
  • C:124563
  • D:362514
解析

DFS(深度优先遍历)序列产生的路径为<1,2>,<2,5>,<5,4>,❤️,6>;
BFS(广度优先遍历)序列产生的路径为<1,2>,<1,4>,<2,5>,❤️,6>。

答案:A、B

7、使用DFS算法递归地遍历一个无环有向图,并在退出递归时输出相应顶点,这样得到的顶点序列是()。

  • A:逆拓扑有序
  • B:拓扑有序
  • C:无序的
  • D:都不是
解析

对一个有向图做深度优先遍历,并未专门判断有向图是否有环(有向回路)存在,无论图中是否有环,都得到一个顶点序列。若无环,在退出递归过程中输出的应是逆拓扑有序序列。
对有向无环图利用深度优先搜索进行拓扑排序的例子如下:如下图所示,退出DFS(深度优先遍历)栈的顺序为efgdcahb,此图的一个拓扑序列为bhacdgfe。该方法的每一步均是先输出当前无后继的结点,即对每个结点v,先递归地求出v的每个后继的拓扑序列。对于一个AOV()网,按此方法输出的序列是一个逆拓扑序列。
在这里插入图片描述

答案:A

8、设无向图G=(V,E)和G’=(V’,E’),若G’是G的生成树,则下列说法中错误的是()。

  • A:G’为G的子图
  • B:G’为G的连通分量
  • C:G’为G的极小连通子图且V=V’
  • D:G’是G的一个无环子图
解析

连通分量是无向图的极大连通子图,其中极大的含义是将依附于连通分量中顶点的所有边都加上,所以连通分量中可能存在回路,这样就不是生成树了。

注意:极大连通子图是无向图(不一定连通)的连通分量,极小连通子图是连通无向图的生成树。极小和极大是在满足连通的前提下,针对边的数目而言的。极大连通子图包含连通分量的全部边;极小连通子图(生成树)包含连通图的全部顶点,且使其连通的边数最少。

答案:B

9、对有n个顶点、e条边且使用邻接表存储的有向图进行广度优先遍历,其算法的时间复杂度是()。

  • A:O(n)
  • B:O(e)
  • C:O(n+e)
  • D:O(ne)
解析

广度优先遍历需要借助队列实现。采用邻接表存储方式对图进行广度优先遍历时,每个顶点均需入队一次(顶点表遍历),故时间复杂度为O(n),在搜索所有顶点的邻接点的过程中,每条边至少访问一次(出边表遍历),所以时间复杂度为O(e),算法总的时间复杂度为O(n+e)。

答案:C

10、平均查找速度而言,下列几种查找速度从慢至快的关系是____。

  • A:顺序 折半 哈希 分块
  • B:顺序 分块 折半 哈希
  • C:分块 折半 哈希 顺序
  • D:顺序 哈希 分块 折半
解析

顺序查找的时间复杂度为O(n)O(n)O(n)
分块查找的时间复杂度为O(log2n)O(log_{2}n)O(log2n)到O(n)之间
二分查找的时间复杂度为O(log2n)O(log_{2}n)O(log2n)
哈希查找的时间复杂度为O(1)

答案:B

学海无涯苦作舟

这里写图片描述

...... ( B )3. 有8个结点的无向图最多有 条边。 A.14 B. 28 C. 56 D. 112 ( C )4. 有8个结点的无向连通图最少有 条边。 A.5 B. 6 C. 7 D. 8 ( C )5. 有8个结点的有向完全图有 条边。 A.14 B. 28 C. 56 D. 112 ( B )6. 用邻接表表示图进行广度优先遍历时,通常是采用 来实现算法的。 A.栈 B. 队列 C. 树 D. 图 ...... 二、填空题(每空1分,共20分) 1. 图有 邻接矩阵 、 邻接表 等存储结构,遍历图有 深度优先遍历广度优先遍历 等方法。 2. 有向图G用邻接表矩阵存储,其第i行的所有元素之和等于顶点i的 出度 。 3. 如果n个顶点的图是一个环,则它有 n 棵生成树。 4. n个顶点e条边的图,若采用邻接矩阵存储,则空间复杂度为 O(n2) 。 5. n个顶点e条边的图,若采用邻接表存储,则空间复杂度为 O(n+e) 。 ....... 1. 【严题集7.1①】已知如图所示的有向图,请给出该图的: 每个顶点的入/出度; 邻接矩阵; 邻接表; 逆邻接表。 2. 【严题集7.7②】请对下图的无向带权图: 写出它的邻接矩阵,并按普里姆算法求其最小生成树; 写出它的邻接表,并按克鲁斯卡尔算法求其最小生成树。 ........ 五、算法设计题(每题10分,共30分) 1. 【严题集7.14③】编写算法,由依次输入的顶点数目、弧的数目、各顶点的信息和各条弧的信息建立有向图的邻接表。 解:Status Build_AdjList(ALGraph &G) //输入有向图的顶点数,边数,顶点信息和边的信息建立邻接表 { InitALGraph(G); scanf("%d",&v); if(v<0) return ERROR; //顶点数不能为负 G.vexnum=v; scanf("%d",&a); if(a<0) return ERROR; //边数不能为负 G.arcnum=a; for(m=0;m<v;m++) G.vertices[m].data=getchar(); //输入各顶点的符号 for(m=1;m<=a;m++) { t=getchar();h=getchar(); //t为弧尾,h为弧头 if((i=LocateVex(G,t))<0) return ERROR; if((j=LocateVex(G,h))nextarc;q=q->nextarc); q->nextarc=p; } p->adjvex=j;p->nextarc=NULL; }//while return OK; }//Build_AdjList 2. 【严题集7.15③】试在邻接矩阵存储结构上实现图的基本操作:DeleteArc(G,v,w)。 (刘提示:删除所有从第i个顶点出发的边的方法是 将邻接矩阵的第i行全部置0 ) ........
评论
添加红包

请填写红包祝福语或标题

红包个数最小为10个

红包金额最低5元

当前余额3.43前往充值 >
需支付:10.00
成就一亿技术人!
领取后你会自动成为博主和红包主的粉丝 规则
hope_wisdom
发出的红包

打赏作者

程序员丶星霖

你的鼓励将是我创作的最大动力

¥1 ¥2 ¥4 ¥6 ¥10 ¥20
扫码支付:¥1
获取中
扫码支付

您的余额不足,请更换扫码支付或充值

打赏作者

实付
使用余额支付
点击重新获取
扫码支付
钱包余额 0

抵扣说明:

1.余额是钱包充值的虚拟货币,按照1:1的比例进行支付金额的抵扣。
2.余额无法直接购买下载,可以购买VIP、付费专栏及课程。

余额充值