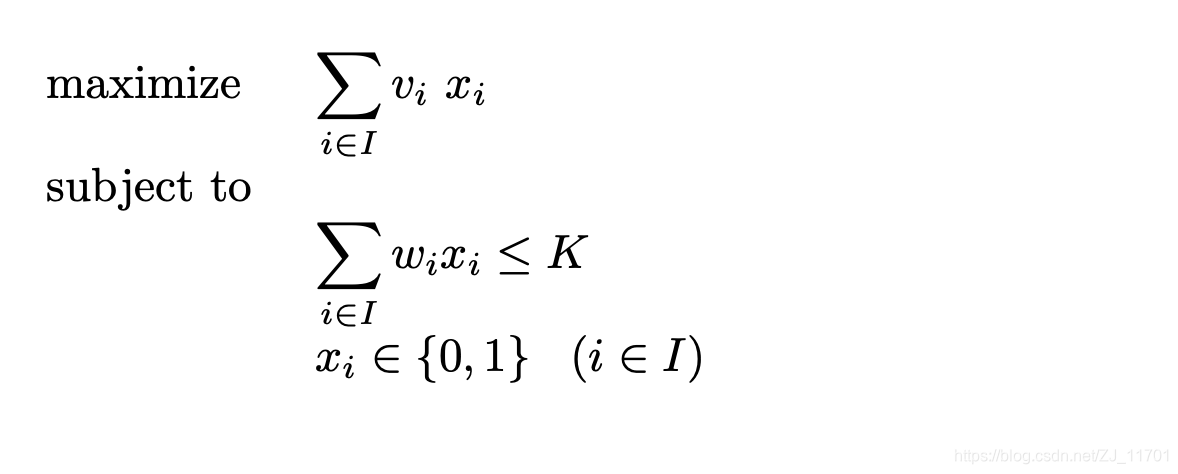
Take 1-D knapsack problem as an example:
How to model an optimization problem
- Choose some decision variables
- Express the problem constraints in terms of these variables
- Express the objective function
In 1-D knapsack


The difficulty comes from the exponential growth of search space:
Suppose there are 50 items to pick, then we have 2502^{50}250 choices. If we use 1 milisecond to check if a solution is valid, it needs 1,285,273,866 centuries.
So We have to somehow narrow the search space …
本文以一维背包问题为例,探讨如何将优化问题建模,包括选择决策变量、表达问题约束及目标函数。面对指数级增长的搜索空间,文章讨论了如何有效缩小搜索范围。
511

被折叠的 条评论
为什么被折叠?



