CSI-RS信号

CSI-RS详解

1.什么是CSI-RS

信道状态信息参考信号(Channel State Information Reference Signal,CSI-RS)是NR中用于下行信道状态信息测量的一类参考信号。
在LTE第一个版本(Release 8)中,下行传输方向的信道状态信息由设备在所谓的小区特定参考信号(Cell-specific Reference Signal,CRS)上测量获得。LTE中,CRS在每个长度为1 ms的子帧内的整个载波带宽上传输,因此CRS可以被认为是一直存在的且可被整个小区覆盖范围内的所有UE接收从而进行信道测量。

LTE Release 10引入了CSI-RS,作为CRS的补充。与CRS不同的是,CSI-RS不再是持续发送,UE只能在网络明确配置了CSI-RS的情况下才能使用其进行信道测量。

LTE引入CSI-RS最初的目的是为了支持4层以上的空分复用。LTE Release 8中,CRS最多只支持4个天线端口(Antenna Port,AP),也就是最多只支持4层空分复用。如果要CRS支持4层以上的空分复用,那么会造成资源的巨大开销和浪费。因此,LTE从Release 10开始引入了CSI-RS。然而,人们很快发现,相比CRS,CSI-RS在信道测量方面更加灵活高效。因此,在LTE的后续版本中,CSI-RS的概念和应用范围得到了进一步拓展,例如对干扰估计和多点传输的支持 。

NR弃用了CRS,但是沿用了CSI-RS并拓展了其应用范围。NR的核心设计原则之一就是尽可能避免所谓的“always on”的信号。因此,NR中没有类似CRS的信号。NR中唯一的“always on”信号是SS/PBCH Block(SSB)。但是相比LTE CRS,SSB只在有限的带宽和更大的周期上传输。SSB也可用于诸如路径损耗、平均信道质量等的测量。但是,由于有限的带宽和低占空比,SSB并不适合精准详细的信道测量,因为信道在时间和频率上是快速变化的。因此,SSB主要用于小区选择、重选及切换等移动性测量和管理,而CSI-RS则主要用于下行CSI的测量和上报,如CQI、RI和PMI等 。
具体地,NR中每个CSI-RS可配置1、2、4、8、12、16、24、32个天线端口(从天线端口3000开始编号),并主要用于以下几个方面:

  • 下行信道状态信息获取:UE把测量的CSI反馈给基站,基站既可以根据CSI实现切换与信道依赖性的调度和链路自适应。例如,确定MCS、RB资源分配,也可以根据CSI实现多用户复用(MU-MIMO)的传输。

  • 波束管理:UE和基站侧波束的赋形权值的获取,用于支持波束管理过程。

  • 精准的时频跟踪:通过设置跟踪参考信号(Tracking Reference Signal,TRS)来实现。

    时间跟踪:UE 接收 TRS 之后,通过对比参考信号的预定时域位置,可以精确地校准自己的时钟,避免由于时钟漂移导致的信号不同步。
    频率跟踪:UE 通过分析 TRS 资源,可以检测到频率偏移(例如由多普勒效应引起的频率漂移),并校正本地的频率偏移,以匹配基站的发射频率。)

  • 移动性管理:通过对本小区和邻小区CSI-RS获取,来完成UE的移动性管理相关的测量要求,这是对基于SSB测量的补充。

  • 速率匹配:通过零功率CSI-RS(Zero-power CSI-RS,ZP CSI-RS)的设置完成PDSCH上RE粒度的速率匹配功能。(通过设置 ZP CSI-RS,系统可以为不同目的预留无线资源,并通过速率匹配功能确保 PDSCH 传输不会受到影响。速率匹配的核心目标是在 PDSCH 上进行 RE 粒度的资源映射时,避免将数据分配到被 ZP CSI-RS 占用的资源单元,从而确保数据传输的正确性和系统资源的高效利用。)

2.CSI-RS生成(TS 38.211)

2.1CSI-RS基本架构(TS 38.211-7.4.1.5)

与DMRS相同,CSI-RS采用基于gold序列的伪随机序列。CSI-RS的参考序列R(m)由如下公式产生:
r ( m ) = 1 2 ( 1 − 2 ⋅ c ( 2 m ) ) + j 1 2 ( 1 − 2 ⋅ c ( 2 m + 1 ) ) r(m) = \frac{1}{\sqrt{2}} \left(1 - 2 \cdot c(2m)\right) + j \frac{1}{\sqrt{2}} \left(1 - 2 \cdot c(2m + 1)\right) r(m)=2 1(12c(2m))+j2 1(12c(2m+1))
其中伪随机序列为:
c i n i t = ( 2 10 ( N symb slot n s , f μ + l + 1 ) ( 2 n ID + 1 ) + n ID ) m o d    2 31 c_{init} = \left(2^{10} \left(N_{\text{symb}}^{\text{slot}} n_{s,f}^{\mu} + l + 1\right) \left(2 n_{\text{ID}} + 1\right) + n_{\text{ID}}\right) \mod 2^{31} cinit=(210(Nsymbslotns,fμ+l+1)(2nID+1)+nID)mod231

l是时隙内OFDM符号索引, n s , f μ n_{s,f}^{\mu} ns,fμ是帧内的时隙号, n ID n_{\text{ID}} nID由高层参数配置(scramblingID)配置,取值范围为0-1023.
产生参考序列r(m),根据如下公式映射到 ( k , l ) ( p , μ ) (k,l)_(p,μ) (k,l)(p,μ)上:
在这里插入图片描述
X:是CSI-RS的天线端口号
μ是子载波间隔配置
k,l分别是CSI-RS在频域和时域上的位置
ρ是CSI-RS在频域上的密度。
β C S I R S β_{CSIRS} βCSIRS是功率缩放因子,对于非零功率CSI-RS(NZP CSI-RS) β C S I R S β_{CSIRS} βCSIRS 应该大于0,由高层参数(powerControlOffsetSS)配置,可以配置为-3dB、0dB、3dB或6dB。
N S C R B N_{SC}^{RB} NSCRB是每个RB的子载波个数。

2.2CSI-RS时频资源映射

CSI-RS在一个时隙,一个 PRB上所占的RE位置
CSI-RS时频资源映射

2.2.1端口数(ports):CSI-RS的天线端口数

  • 由高层参数nrofports通知给UE,可以配置为1、2、4、8、12、16、24、32。
  • CSI-RS天线端口数=CDM组数*CDM尺寸,CSI-RS的天线端口号从3000开始编号。
  • CDM尺寸多少就表示有多少个天线复用多少个RE

2.2.2密度:CSI-RS在频域上的密度

可以配置为3、1或0.5。ρ=3的含义是1个PRB有3个RE用于1个CSI-RS天线端口的发送;ρ=0.5表示每两个PRB有一个RE用于1个CSI-RS天线端口的发送。在Density中需要用另外一个比特指示CSI-RS占用的是奇数PRB还是偶数PRB。

2.2.3CDM类型(CDM-type):CDM类型是一组CSI-RS的复用方式

no CDM,FD-CDM2,CDM4(FD2,TD2),CDM8(FD2,TD4)对应的CDM组尺寸是1、2、4、8,具体含义如下:

2.2.3.1 no CDM

CSI-RS没有复用,一个RE对应1个天线端口,CDM-Type等于no CDM时,序列见表

在这里插入图片描述

2.2.3.2 FD-CDM2

频域上连续两个RE,通过码分复用的方式,用两个正交序列码对应两个CSI-RS天线端口
在这里插入图片描述

2.2.3.3 CDM4(FD2,TD2)

频域上连续两个RE*时域上连续两个RE共计4个RE,通过码分复用的方式,用4个OCC对应4个CSI-RS天线端口
在这里插入图片描述

2.2.3.4(FD2,TD4)

频域上连续两个RE*时域上连续4个RE共计8个RE,通过码分复用的方式,用8个OCC对应8个CSI-RS天线端口。
在这里插入图片描述

2.2.4 ( k − , l − ) (k^-,l^-) (k,l)表示一个CDM组内的CSI–RS的开始频率位置和开始时间位置

举例:
在这里插入图片描述
ROW8中, ( k − , l − ) (k^-,l^-) (k,l)列内有两个CDM组, ( k 0 , l 0 ) (k_0,l_0) (k0,l0), ( k 0 , l 1 ) (k_0,l_1) (k0,l1)分别表示组1和组2的开始频率位置和开始时间位置。
开始频率位置由高层参数通知给UE,该参数是长度为3、4、6或12个bit的位图
开始频率时间由高层参数确定, l 0 l_0 l0的取值为0-13, l 1 l_1 l1的取值为2-12

2.2.5CDM组索引

与组数相对应,按照先频域分配,再时域分配的顺序进行编号。

2.2.6 k ’ , l ’ k^’,l^’ kl

分别表示一个CDM组1个或者2个连续的RE在频域上相对开始频率 k − k^- k的位置和一个CDM组内1个2个或者4个连续RE在在时域上相对开始时间 l − l^- l的位置。

2.2.7CSI-RS天线端口的编号

天线端口编号
s是CDM表中的索引,L是CDM组(CDM-type)的尺寸,N是天线端口数

2.2.8举例说明,以row8为例

一个时隙内,一个PRB上的CSI-RS占用的RE情况
在这里插入图片描述
天线端口数为8,密度为1,CDM4,假设频率开始位置的位图为010010、时域开始位置为3,一个时隙内,一个PRB上的CSI-RS的位置为:
CDM组0为4个天线复用4个RE,CDM组1为4个天线复用4个RE

在这里插入图片描述
CSI-RS实际占用的资源与频域上的PRB数、时域上的CSI-RS周期有关。

2.3 CSI-RSRP,CSI-RSRQ,CSI-RSSI,CSI-SINR测量(TS38.215-5.1)

2.3.1 CSI-RSRP(参考信号接收功率)

定义

携带CSI信号在每个RE上的平均功率
CSI-RSRP(信道状态信息参考信号接收功率)定义为在考虑的测量频带宽度内,配置的CSI-RS时机中,携带CSI参考信号的天线端口的资源元素的功率贡献(以瓦特为单位)的线性平均值。
根据TS 38.211标准,CSI-RSRP的确定应使用在天线端口3000上传输的CSI参考信号。如果CSI-RSRP用于L1-RSRP的测量,则可使用天线端口3000,3001上发送的CSI参考信号来确定CSI-RSRP。(MATLAB 计算RSRP取的是3000和3001端口的CSI-RS)。
对于同频(intra-frequency)CSI-RSRP测量,如果未配置测量间隔(MeasGAP),预计UE不会测量活跃下行带宽部分之外的CSI-RS资源。(RRM测量)。
对于频率范围1,CSI-RSRP的参考点应当是UE的天线连接器。对于频率范围2,应当基于对应于给定接收分支的天线元素的组合信号来测量CSI-RSRP。对于频率范围1和2,如果UE使用接收分集,报告的CSI-RSRP值不应低于任何单个接收分支的相应CSI-RSRP。
RSRP范围:-44dBm~ -140dBm之间,越大越好。

计算

3GPP协议中未给出具体的RSRP的测量公式,常使用的算法是均值法和一些衍生算法

  • 均值法
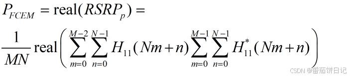
    Matlab中使用的方法(基于LS信道估计)
    假设系统插入P个参考信号,系统在接收端接收的第i个参考信号的频率响应为 H i H_i Hi,则RSRP:
    在这里插入图片描述
    假设系统插入p个参考信号,系统在接收端接收的第i个参考信号为 r i r_i ri,对应发送端的参考信号为 r s i rs_i rsi,天线的个数为ports(1或2)
    首先根据LS(最小二乘法对信道进行估计):
    在这里插入图片描述
    再计算估计的信道的均值,对其进行取模平方运算得到RSRP:
    在这里插入图片描述
    最终推导出RSRP为:
    在这里插入图片描述
    注意 r s i ∗ rs_i^* rsi是没有加功率的参考信号共轭,即经过QPSK调制后的信号
    转换为毫分贝:
    在这里插入图片描述
  • 子集共轭相乘算法
    5G NR系统中测量带宽的变大使得多个信道估计值经历的时间延长(时偏),变化幅度增大,因此对于噪声而言,很多影响因素造成信道误差的结果。如果还使用基于均值的测量算法,那么测量带宽就不能过大,这与5G的带宽要求不匹配。
    将L个参考信号的RE划分成M个N大小的子集集合,进一步降低相邻单个信道估计值计算的影响。将相邻子集进行共轭相乘
    在这里插入图片描述对相邻信道估计值共轭相乘之后,把测量带宽内所有参考信号位置上的信道估计值进行累加计算,进一步消除噪声
    在这里插入图片描述

2.3.2 CSI-RSSI(参考信号强度指示器)

定义

CSI参考信号强度指示器(CSI-RSSI)包括在测量带宽内,从所有源(包括共信道服务和非服务小区、邻信道干扰、热噪声等)的N个资源块中,在测量时间资源的OFDM符号中观察到的总接收功率(以[W]为单位)的线性平均值。CSI-RSSI的测量时间资源对应于包含配置的CSI-RS时机的OFDM符号。(应该取端口号为3000的符号)

计算

假设系统中端口号为3000的CSI-RS参考信号占据m个ofdm符号,系统子载波个数为n, R i j R_{ij} Rij表示CSI-RS占据的第i个OFDM符号,第j个子载波上的接收端的接收信号。
在这里插入图片描述
转换为毫分贝:
在这里插入图片描述

2.3.3CSI-RSRQ(参考信号接收质量)

定义

CSI-RSRQ(信道状态信息参考信号接收质量)定义为N×CSI-RSRP与CSI-RSSI的比率,其中N是CSI-RSSI测量带宽内的资源块数。分子和分母的测量应在相同的资源块集上进行。(N的并不是实际有CSI-RS信号的资源块数量,假如CSI-RS的密度是0.5,10个资源块上有RE,N应为20)。
对于CSI-RSRQ的确定,应使用根据TS 38.211 [4]在天线端口3000上传输的CSI参考信号
对于同频CSI-RSRQ测量,如果未配置测量间隔,预计UE不会测量活跃下行带宽部分之外的CSI-RS资源。
对于频率范围1,CSI-RSRQ的参考点应当是UE的天线连接器。对于频率范围2,应当基于对应于给定接收分支的天线元素的组合信号来测量CSI-RSSI,其中用于CSI-RSSI的组合应与CSI-RSRP测量中使用的组合相同。对于频率范围1和2,如果UE使用接收分集,报告的CSI-RSRQ值不应低于任何单个接收分支的相应CSI-RSRQ。

计算

RSSI测量带宽内的RB数为N,即为系统带宽内的RB总数,则RSRQ为:
在这里插入图片描述
转换为分贝:
在这里插入图片描述

2.3.4CSI-SINR(参考信号信干噪比)

定义

CSI信噪比和干扰比(CSI-SINR)定义为携带CSI参考信号的资源元素的功率贡献(以[W]为单位)的线性平均值除以在同一频带内携带CSI参考信号的资源元素的噪声和干扰功率贡献(以[W]为单位)的线性平均值。
根据TS 38.211 [4]标准,在天线端口3000上传输的CSI参考信号应用于CSI-SINR的确定。
对于同频CSI-SINR测量,如果没有配置测量间隙,UE不期望测量活跃下行带宽部分之外的CSI-RS资源。
对于频率范围1,CSI-SINR的参考点应该是UE的天线连接器。对于频率范围2,CSI-SINR应基于对应于给定接收分支的天线元素组合信号进行测量。对于频率范围1和2,如果UE使用接收分集,报告的CSI-SINR值不应低于任何单个接收分支的相应CSI-SINR。

计算
  • 基于CSI-IM信号计算
    在某些时隙发送 ZP CSI-RS用来计算噪声,CSI-IM可能和CSI-RS信道资源一起配置下去,也可能单独配置下去

  • 基于空闲子载波计算sinr
    SINR = 有效信号功率/噪声+干扰功率
    有效信号功率即为RSRP
    噪声+干扰功率:将CSI-RS信号之外的空闲RE取出来计算功率当做噪声+干扰功率

  • 最大似然比计算sinr
    假设接收端的信号可以用如下公式表示:
    在这里插入图片描述其中 x I ( n ) = √ ( p s ) s I ( n ) + √ ( p v ) v I ( n ) x_I (n)=√(p_s ) s_I (n)+√(p_v ) v_I (n) xI(n)=(ps)sI(n)+(pv)vI(n)为接收信号的实部。 x Q ( n ) = √ ( p s ) s Q ( n ) + √ ( p v ) v Q ( n ) x_Q (n)=√(p_s ) s_Q (n)+√(p_v ) v_Q (n) xQ(n)=(ps)sQ(n)+(pv)vQ(n)为接收信号的虚部。
    P s P_s Ps为发射信号功率, p v p_v pv为噪声信号功率,即 σ 2 σ^2 σ2 s I ( n ) s_I (n) sI(n), v I ( n ) v_I (n) vI(n), s Q ( n ) s_Q (n) sQ(n), v Q ( n ) v_Q (n) vQ(n) 为归一化的信号。
    不考虑干扰的情况,假设未知参数为信号功率 P s P_s Ps和噪声功率 σ 2 σ^2 σ2,则最大似然测量法得到的 P s P_s Ps σ 2 σ^2 σ2的估计值为使得接收信号的联合概率密度最大化的 P s P_s Ps σ 2 σ^2 σ2
    假设发射信号和噪声信号是相互独立的,因此N个接收信号的联合条件概率密度可以用如下公式表示:
    在这里插入图片描述
    对上述公式两边同时取自然对数,并对 P s P_s Ps σ 2 σ^2 σ2求偏导,令其为零得到如下公式:
    在这里插入图片描述最后得到SINR的最大似然估计值:
    在这里插入图片描述
    这种方法需要用c语言的NLopt (Nonlinear Optimization Library)库,在工程中会带来一定的风险,不考虑使用

3.参考资料

[1] 5G系统观(4.5.1)
[2] 5G NR物理层规划与设计(5.4)
[3] 5G/NR - CSI RS
[4] MATLAB : https://ww2.mathworks.cn/help/5g/ug/5g-nr-csi-rs-measurements.html
[5] openairinterface5g-develop-openair1-PHY(nr-csi-rs.c)
[6] TD_LTE-A下行链路信道质量测量关键技术研究_叶代雄(电子科技大学)
[7] TS 38.211
[8] TS 38.215
[9]5G NR RSRP测量算法研究

03-08
### CSI-RS概述 信道状态信息参考信号CSI-RS)是在5G新无线电(NR)技术中用于获取下行链路信道特性的关键机制之一[^1]。长期演进(LTE)中的小区特定参考信号(CRS)不同,CSI-RS提供了更灵活多样的功能和支持。 #### 功能特点 - **多样化用途**:除了传统的信道估计外,还支持波束管理、干扰测量等多种应用场景。 - **灵活性增强**:可以根据网络需求动态调整发送模式和位置安排,从而提高资源利用率并减少开销。 - **性能优化**:通过精确的信道质量反馈来辅助基站进行自适应调制编码方案的选择以及预编码矩阵指示等操作。 #### 基本配置要素 为了实现上述特性,CSI-RS涉及以下几个方面的重要参数设置: - **生成CSI-RS信号及其索引**:这一步骤决定了具体如何构建这些特殊的导频序列,并赋予它们唯一的标识以便于后续处理过程识别不同的天线端口组合情况[^3]。 ```python def generate_csi_rs_signal(index): # 这里是一个简化版的例子,实际应用会更加复杂 signal = f"CSI-RS Signal with Index {index}" return signal ``` - **资源分配策略**:考虑到效率最大化的要求,在频率维度上合理规划物理资源块的数量;而在时间轴方向,则依据业务流量特征设定合适的重复周期长度[^2]。 #### 测量指标定义 针对接收到的CSI-RS数据包,可以计算出若干反映无线环境状况的关键量化值,如CSI-RSRP(Reference Signal Received Power)、CSI-RSRQ(Reference Signal Received Quality)、CSI-SINR(Signal to Interference plus Noise Ratio),以此评估当前连接的质量水平并指导进一步的动作决策流程。
评论
添加红包

请填写红包祝福语或标题

红包个数最小为10个

红包金额最低5元

当前余额3.43前往充值 >
需支付:10.00
成就一亿技术人!
领取后你会自动成为博主和红包主的粉丝 规则
hope_wisdom
发出的红包
实付
使用余额支付
点击重新获取
扫码支付
钱包余额 0

抵扣说明:

1.余额是钱包充值的虚拟货币,按照1:1的比例进行支付金额的抵扣。
2.余额无法直接购买下载,可以购买VIP、付费专栏及课程。

余额充值