【高等数学】【强化第二章】一元函数微分学:导数与微分、导数应用、极值最值判断

一. 导数与微分

1. 内容要点

1.1. 导数与微分的概念

  • 导数定义的等价形式

在这里插入图片描述

  • 左导数、右导数的概念

 

可微的充要条件:可导

在这里插入图片描述

 

1.2. 导数与微分的几何意义

导数表示斜率、微分表示切线上的增量

在这里插入图片描述

 

1.3. 连续、可导、可微之间的关系:可微与可导之间等价

在这里插入图片描述

 

1.4. 求导公式与求导法则

在这里插入图片描述

 

求导法则

a. 复合函数求导

链式法则

在这里插入图片描述

 

b. 隐函数求导

两种方式

在这里插入图片描述

 

c. 反函数的导数

导数的倒数

在这里插入图片描述

 

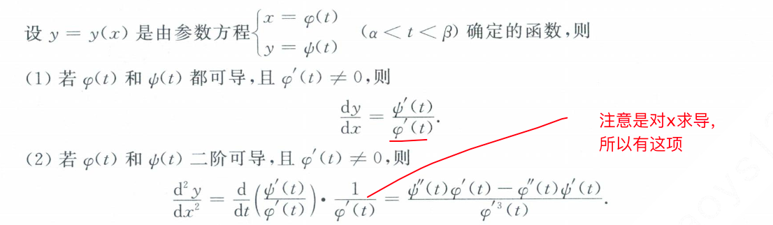
d.参数方程

在这里插入图片描述

 

e. 对数求导法

在这里插入图片描述

 

f. 常见高阶导

在这里插入图片描述

 

2. 题型与做题技巧

题型一:导数与微分的概念

1. 利用导数定义求极限

在这里插入图片描述

评论
添加红包

请填写红包祝福语或标题

红包个数最小为10个

红包金额最低5元

当前余额3.43前往充值 >
需支付:10.00
成就一亿技术人!
领取后你会自动成为博主和红包主的粉丝 规则
hope_wisdom
发出的红包

打赏作者

roman_日积跬步-终至千里

你的鼓励将是我创作的最大动力

¥1 ¥2 ¥4 ¥6 ¥10 ¥20
扫码支付:¥1
获取中
扫码支付

您的余额不足,请更换扫码支付或充值

打赏作者

实付
使用余额支付
点击重新获取
扫码支付
钱包余额 0

抵扣说明:

1.余额是钱包充值的虚拟货币,按照1:1的比例进行支付金额的抵扣。
2.余额无法直接购买下载,可以购买VIP、付费专栏及课程。

余额充值