前言
一个通信原理课程中使用Matlab生成BPSK波形的实验笔记。
内容
- 设发送二进制信息为10011101,码元速率为1波特,载波 sin(wt),幅值为1,初始相位为0。
- 当载波频率为2Hz,相位(或相位差)0°代表“0”,相位(或相位差)180°代表“1”,利用matlab软件画出BPSK的波形
原理
在二进制数字调制中,当正弦载波的相位随二进制数字基带信号离散变化时,则产生二进制移相键控BPSK信号通常用已调信号载波的0°和180°分别表示二进制数字基带信号的“1”和“0”。
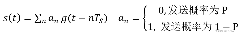
表达式:

Ts 是二进制基带信号时间间隔,g(t) 是持续时间为 Ts 的矩形脉冲;

则BPSK信号为


程序源码
b = [1,0,0,1,1,1,0,1]; % 二进制数据
n = length(b); % b长度
t = 0:.01:n;
x = 1:1:(n+1)*100;
for i = 1:n
if (b(i) == 0)
b_p(i) = -1;
else
b_p(i) = 1;
end
for j = i:.1:i+1
bw(x(i*100:(i+1)*100)) = b_p(i);
end
end
bw = bw(100:end);
f=2; % 载波频率
cost = sin(2*pi*f*t);
st = bw.*-cost;
subplot(3,1,1);plot(t,bw);
title('信号','Fontsize',20);
grid on ; axis([0 n -2 +2])
subplot(3,1,2);plot(t,cost);
title('载波','Fontsize',20);
grid on ; axis([0 n -2 +2])
subplot(3,1,3);plot(t,st);
title('调制信号','Fontsize',20);
grid on ; axis([0 n -2 +2])
结果分析
BPSK波形如下图所示,二进制信息经BPSK调制后的波形在相位上与二进制信息有对应关系,当码元波形由0开始时,表示1,当码元波形由π开始时,表示0。

结语
相移调制就是在01变化时,相位发生变化的一种调制方式,定好初始相位和相移的角度,就能得到调制信号。

该文介绍了如何在Matlab中使用BPSK(二进制相移键控)技术生成波形。通过设定二进制数据、码元速率和载波参数,利用相位差0°和180°分别代表二进制的0和1,最终绘制了调制信号的波形。
8699

被折叠的 条评论
为什么被折叠?



