1 写在前面
该系列为基础群智能优化算法,欢迎私信一起交流问题,更多的改进算法可查看往期的推文。有问题或者需要其他建议的话,非常欢迎后台私信交流,共同进步,如若出现违反学术道德的情况与本博客以及作者无关,所有资料仅做参考。
2 算法基本原理
闪电通常都会把负电荷从雷暴云带到地面。在可见的闪电的前方有一个带负电荷的梯级先导,它快速向下移动到云层的下面,再穿过分布着正电荷的许多小区域的空气,来到地面。云层下方的这些正电荷小区域,是雷暴云的强电场引起地面尖端放电释放出大量离子形成的。带负电荷的梯级先导在寻找电阻最小的前进通道的过程中会发生分叉,这就可见的闪电分叉。闪电优化算法(LAPO)是模拟自上述过程,划分为4个重要阶段。该算法的求解速度很出色,其向下运动阶段类似模拟退火的思路,极大增加了算法的求解速度,局部搜索表现得不足,国内成果相对较少。
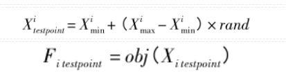
(1)云层的击穿阶段

(2)梯级先导的向下运动阶段

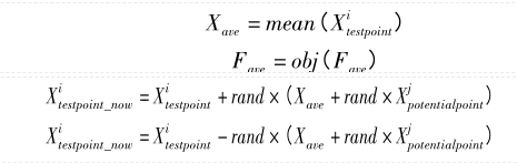
(3)分支消退阶段和从地面(或接地物体)向上的回击阶段
S是一个自适应因子,可以进行改进

本文介绍了MATLAB中的闪电优化算法(LAPO),这是一种受闪电形成过程启发的群智能算法。LAPO由四个关键阶段组成,包括云层击穿、梯级先导向下运动、分支消退和突击跳跃,具有快速求解能力。文章讨论了算法的基本原理,并提到了其在局部搜索中的局限性。此外,还提供了仿真实验和代码获取方式。
最低0.47元/天 解锁文章
1058

被折叠的 条评论
为什么被折叠?



