GPS测量中信号实时传输误差对定位精度有比较大影响
因为GPS卫星属于中轨道卫星,GPS信号在传播时要经过大气层。因此,信号传输误差主要是由于信号受到电离层和对流层的影响。此外,还有信号传播的多径效应的影响。电离层和对流层的实时传输误差是本实验的一个研究重点。
主要包含了电离层的折射,电离层分布于地球大气层的顶部,约在地面向上70km以上范围。由于原子氧吸收了太阳紫外线的能量,该大气层的温度随高度上升而迅速升高,同时由于太阳和其它天体的各种射线作用,使大部分大气分子发生电离,具有密度较高的带电粒子。电离层中电子的密度决定于太阳辐射强度和大气密度,因而导致电离层的电子密度不仅随高度而异,而且与太阳黑子的活动密切相关。
根据美嵌科技卫星实验中的部分简要说明,具体可以参考实验箱提供的具体描述
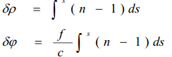
由于折射率的变化而引起的传播路径距离差和相位延迟,一般可写为:

由于电离层延迟主要取决于信号频率和传播路径上的电子总量,因此对于电离层延迟的影响,可以通过以下途径解决:
1)利用电离层模型加以修正:对单频接收机,一般采用由导航电文提供参数的电离层模型或其它适宜的电离层模型对观测量进行改正。目前模型改正的有效性约为75%
2)利用双频观测:电离层延迟是信号频率的函数,对不同频率电磁波信号进行观测,可确定其影响大小,并对观测量加以修正。其有效性不低于95%。
3)利用同步观测值求差:用两台接收机在基线的两端进行同步观测,取其观测量之差。因为当两观测站相距不太远时,卫星至两观测站电磁波传播路径上的大气状况相似,大气状况的系统影响可通过同步观测量的差分而减弱。
下面是根据 美嵌科技 卫星实验箱(MQ-20)提供的采集数据显示

也可以根据提供模拟程序进行模拟计算

也提供了卫星的的方位角和信噪比的模拟参数实验


可以通过实际的采集的数据进行处理。会有更加深刻的理解。
后续会增加信号处理方法和算法的文章说明,欢迎交流和关注。如果有不当描述,欢迎留言说明
1366

被折叠的 条评论
为什么被折叠?



