注意:这里是JAVA自学与了解的同步笔记与记录,如有问题欢迎指正说明
目录
前言:
最近到毕业季了,各种毕业需要处理的东西太多了,所以昨天时间又被耽误了没法继续更新文章,今天略得空闲,便更新下今日之内容。
一、关于十字链表
1.特殊情况下邻接表的局限
下图是我们昨日提到的邻接表对于图的表示,这样的邻接表的链表部分连接的基础是以结点的出边为依据的,又名出边邻接表。在已知一个结点后我们通过邻接表的链表部分实现对于出边的访问,这个复杂度视具体的结点边的个数而定。但是在计算入边个数时,这样针对出边的邻接表似乎就显得有些笨拙了。我们需要遍历全部顺序表结构的顶点集然后逐步查看邻边,总的复杂度是确定的\(O(|V|+|E|)\)。但是由于现实问题中,大多数利用有向图时我们都讨论由出边引导的通向性问题;而无向图因为边的对偶特性,没有出边入边之分,所以往往不会担忧这种问题。


但是如果说需要优化这种担忧,我们可以采用以入边为构造基础的入边邻接表。当然这样的方案有点因为芝麻丢了西瓜的味道,因为只考虑入边专门构造个数据结构而丢弃出边引导这种更为普遍的结构的方案有些冗余。因此,一种兼顾出边和入边的数据结构——十字链表出现了。
2.十字链表的结构与特点
今天描述这个数据结构关系时我改变昨日的那种存理论与代码分割的思路,今天我就直接按照今天代码会采用的结构来说明这个结构。在十字链表中,仿照邻接表,对应于有向图中的每条弧有一个结点,对应于每个顶点也有一个结点,但是我们代码为方便我们统一采用一种统一结构:

这里的弧具有4个域,也是十字链表至少需要的参数域数目,其中尾域(row)和头域(column)分别表示弧的弧头与弧尾,但因为在图中其直观的指针指向具有方向性,所以这里以row / column命名从而体现一种直观性。链域nextIn指向弧头相同的下一条弧,简单来说就是指向我们的入边,并且多个入边相连构成入边链表。链域nextOut指向弧尾相同的下一条弧,简单来说就是指向我们的出边,并且多个出边相连构成出边链表。
要理解十字链表这部分不能只靠文字,以图辅助,你就能恍然大悟:


只要去掉链域nextIn,可以发现十字链表就变成了一个完全的出边邻接表(这个重要思想)而补上入边的指针后你就会发现:其实其实十字链表就是在出边邻接表的基础上给每个结点扩充了入边的链域,你可以在观看某个指针域的时候屏蔽其余指针域,这样全体的构造就变得清晰了。画图时,因为出边邻接表已经占据的横向的指针,所以我们在图示的时候入边指针域是纵向示意的,这就构成了指针之间纵横交错的感觉,可能这就是十字链表命名的来源。
同时,因为边结点兼顾出边与入边的两重功能,自然的,结点自身所寄予的数值域空间也不能只是出边所代表的弧尾节点,还需要额外记录弧头以方便入边。
通过十字链表,结点的入边和出边的访问就比较容易实现了,在特定情况采用十字链表能优化特定的问题。
二、十字链表的代码实现
1.基本属性
基本属性与邻接表类似,只需要额外补充一些新的数据域即可。
/**
* An inner class for adjacent node.
*/
class OrthogonalNode {
/**
* The row index.
*/
int row;
/**
* The column index.
*/
int column;
/**
* The next out node.
*/
OrthogonalNode nextOut;
/**
* The next in node.
*/
OrthogonalNode nextIn;
/**
*********************
* The first constructor.
*
* @param paraRow The row.
* @param paraColumn The column.
*********************
*/
public OrthogonalNode(int paraRow, int paraColumn) {
row = paraRow;
column = paraColumn;
nextOut = null;
nextIn = null;
}// Of OrthogonalNode
}// Of class OrthogonalNode
/**
* The number of nodes. This member variable may be redundant since it is always
* equal to headers.length.
*/
int numNodes;
/**
* The headers for each row.
*/
OrthogonalNode[] headers;
2.出边链接
之前在文中提到了十字链表的一个特性:去掉链域nextIn,可以发现十字链表就变成了一个完全的出边邻接表。那么我们可以在构造的前半部分完全无视nextIn域,模仿昨天的邻接表构造方法完成这部分:
numNodes = paraMatrix.length;
// Step 1. Initialize. The data in the headers are not meaningful.
OrthogonalNode tempPreviousNode, tempNode;
headers = new OrthogonalNode[numNodes];
// Step 2. Link to its out nodes.
for (int i = 0; i < numNodes; i++) {
headers[i] = new OrthogonalNode(i, -1);
tempPreviousNode = headers[i];
for (int j = 0; j < numNodes; j++) {
if (paraMatrix[i][j] == 0) {
continue;
} // Of if
// Create a new node.
tempNode = new OrthogonalNode(i, j);
// Link.
tempPreviousNode.nextOut = tempNode;
tempPreviousNode = tempNode;
} // Of for j
} // Of for i
初始化不再赘述, 初始tempPreviousNode变量作为每条入边链的链表头(tempPreviousNode = headers[i];),同时,在遍历中不断迭代,持续作为尾节点的身份出现,以方便每次读取邻接矩阵而生成的新结点能插入到尾节点后以扩展链表。 注意结点创建初始化是以基础结点(也就基于哪个顶点来讨论邻边)为弧头,得到的邻边为弧尾,因此有代码:tempNode = new OrthogonalNode(i, j); 这里记录的弧尾值是后续定义入边的关键。
3.入边链接
入边连接是十字链表构造的一个麻烦点。因为记录入边是个连续的过程,它也是一个链表,所以我们需要有个时刻记录某类编号的上次入边的结点。简单来说,构造了编号为i顶点的入边后,下次再发现了顶点i的入边后我们需要在上次的入边结点后方进一步插入,因此需要记录对应i顶点的上一次连接的入边结点。而i是一系列值,因此可以设置一个十字链表数据项数组tempColumnNodes,初始将其按照Header赋值(最开始无任何入边连接)。
// Step 3. Link to its in nodes. This step is harder.
OrthogonalNode[] tempColumnNodes = new OrthogonalNode[numNodes];
for (int i = 0; i < numNodes; i++) {
tempColumnNodes[i] = headers[i];
} // Of for i
for (int i = 0; i < numNodes; i++) {
tempNode = headers[i].nextOut;
while (tempNode != null) {
tempColumnNodes[tempNode.column].nextIn = tempNode;
tempColumnNodes[tempNode.column] = tempNode;
tempNode = tempNode.nextOut;
} // Of while
} // Of for i
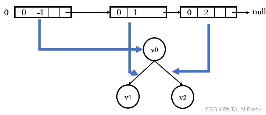
操作前,每个边结点都被一个指针所指(被兄弟边或者弧头顶点所指),并且都指出一个指针(指向兄弟边)
但是要构成一个十字链表还差一个指向别人和别人指向自己的指针。为了同时解决这个问题,我们按照顺序对于每个边结点进行访问,并且在每次访问时,根据边的弧尾顶点值,查询到需要统计入边的结点。就那上面这次针对顶点\(v_0\)的出边遍历,我们就能在访问这两个兄弟边同时通过查询column(弧尾顶点值)域的值得到1与2,这里的含义就是说明\(v_1\)顶点与\(v_2\)顶点的入边需要讨论。
怎么讨论呢,很简单,比如设上图中出边链的最后那个边结点为\(\alpha \);通过查询\(\alpha \)的column(弧尾顶点值)值得到了2,这个2代表了这个弧的弧尾为\(v_2\),故去讨论\(v_2\)的入边。这时的操作是取出\(v_2\)的入边链表的尾节点,并在这个尾节点插入边结点为\(\alpha \),并且设置边结点为\(\alpha \)为新的尾节点。这样有什么好处呢,首先,下一次再有人发现要讨论\(v_2\)的入边时就能直接查询到\(\alpha \)这个新的尾节点并且继续尾插,从而形成一个入边链表的维护;其次,下一次再\(v_2\)讨论便需要去尾插\(\alpha \),这样就顺利补充了\(\alpha \)边结点的额外一个被指向指针和指出指针,解决了我们的担忧。
代码中,通过tempColumnNodes[tempNode.column]查询到顶点编号为tempNode.column的最近一次链入入边链表的尾部,从而链入,链入后由尾插原则,自身变成新尾部。
4.打印操作
/**
*********************
* Overrides the method claimed in Object, the superclass of any class.
*********************
*/
public String toString() {
String resultString = "Out arcs: ";
OrthogonalNode tempNode;
for (int i = 0; i < numNodes; i++) {
tempNode = headers[i].nextOut;
while (tempNode != null) {
resultString += " (" + tempNode.row + ", " + tempNode.column + ")";
tempNode = tempNode.nextOut;
} // Of while
resultString += "\r\n";
} // Of for i
resultString += "\r\nIn arcs: ";
for (int i = 0; i < numNodes; i++) {
tempNode = headers[i].nextIn;
while (tempNode != null) {
resultString += " (" + tempNode.row + ", " + tempNode.column + ")";
tempNode = tempNode.nextIn;
} // Of while
resultString += "\r\n";
} // Of for i
return resultString;
}// Of toString
打印操作中分别打印了每个结点的入边链和出边链。
三、数据测试
测试代码如下:
/**
*********************
* The entrance of the program.
*
* @param args Not used now.
*********************
*/
public static void main(String args[]) {
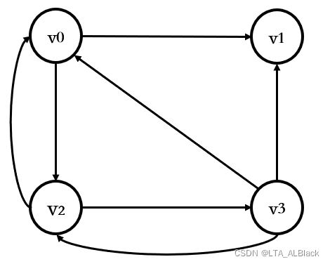
int[][] tempMatrix = { { 0, 1, 0, 0 }, { 0, 0, 0, 1 }, { 1, 0, 0, 0 }, { 0, 1, 1, 0 } };
OrthogonalList tempList = new OrthogonalList(tempMatrix);
System.out.println("The data are:\r\n" + tempList);
}// Of main
图结构如图:

测试结果如下:

总结
十字链表这种结构我接触的确实不算很多,准确来说,确乎是没有用过。第一次接触是在本科的数据结构的课程上。要问我对于这种结构的看法,就像是对于邻接表两种方案(入边/出边)的兼容版本。相比于一次分别创建个出边邻接表和入边邻接表,其灵活利用结点关系实现了数据的复用,避免了冗余。这个方案对于边信息比庞大的图同时又要同时考虑出边和入边的问题具有比较好的对策性。
对于一个算法问题的数据结构改进不一定说选择一个最好的就好了,多结构组合才是更常见的方案。或者像今天所了解的十字链表这样,通过邻接表针对部分问题的局限为思路出发点,对结构不足进行改造而设计出更有针对性的结构。我随便举个组合,比如通过哈希表、链表、顺序表设计出一种复合的兼容\(O(1)\)的查询与\(O(1)\)插入删除线性结构等等。
总之要认识到数据结构并不是独立的,他们就像积木,使用他们的过程就像搭积木,合理搭建出针对自己问题最好的结构才是好的数据结构。
本文探讨了邻接表在处理图问题时的局限,尤其是入边计数效率低下。介绍了十字链表的结构,它是出边邻接表的扩展,便于同时访问出边和入边。通过代码实现展示了基本属性、出边和入边链接,以及打印操作。适用于考虑双向边信息的图算法优化。
4915

被折叠的 条评论
为什么被折叠?



