灰色系统理论及其应用系列博文:
一、灰色关联度分析法(GRA)_python
二、灰色预测模型GM(1,1)
三、灰色预测模型GM(1,n)
四、灰色预测算法改进1—背景值Z
五、灰色预测改进2—三角残差拟合
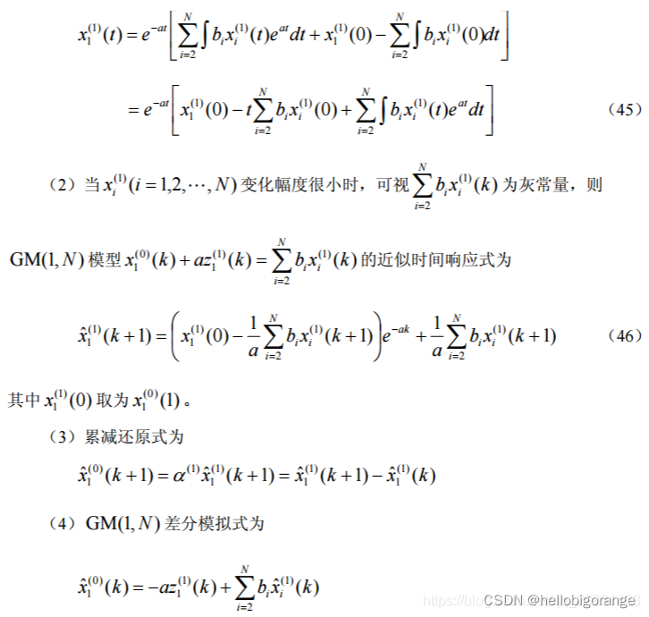
一、GM(1,n)算法




二、示例
注:数据均来自论文《基于灰色系统理论的贵阳市城市用水总量预测》
2.1 数据:

data.csv
年份,城区人口,建成区面积,供水总量,用水人口,人口综合用水
灰色预测GM(1,7)模型在城市用水总量预测中的应用
该博客介绍了如何使用灰色预测模型GM(1,7)来预测城市用水总量,具体展示了从数据读取、模型建立到结果分析的完整过程。通过实际数据,计算了模型的响应式、关键参数,并得出预测结果,验证了模型的预测效果。"
124089629,9864987,Chromium下一代渲染架构:RenderingNG详解,"['前端开发', '浏览器引擎', '渲染引擎', '性能优化', 'Chromium']
灰色系统理论及其应用系列博文:
一、灰色关联度分析法(GRA)_python
二、灰色预测模型GM(1,1)
三、灰色预测模型GM(1,n)
四、灰色预测算法改进1—背景值Z
五、灰色预测改进2—三角残差拟合




注:数据均来自论文《基于灰色系统理论的贵阳市城市用水总量预测》

data.csv
年份,城区人口,建成区面积,供水总量,用水人口,人口综合用水
1万+
2万+

被折叠的 条评论
为什么被折叠?