Joint Embedding Learning and Low-Rank Approximation: A Framework for Incomplete Multiview Learning (TCYB2019)
论文链接:https://ieeexplore.ieee.org/abstract/document/8920218
1 论文主要贡献
提出了一种用于不完整多视图学习的框架:Joint Embedding Learning and Low-Rank Approximation (JELLA),是目前比较流行的不完整多视图学习方法的一般形式,同时利用 JELLA 可以快速将一些多视图学习方法转化为不完整多视图学习方法,有种自适应的思想; 此外在 JELLA 下,为不完整多视图学习(IML)提出了一种 block-diagonal 表示方法。
2 论文主要内容
2.1 Introduction
Multi-view 中两种数据缺失的情况:
• missing-view setting:某些视图整个缺失 ;
• missing variables setting:某些视图中部分变量缺失。
Missing-view setting 与 missing variables setting 共同构成了 incomplete-view setting.
在传统的多视图学习算法中,通常有两种方法来处理不完整的多视图数据:
• 一种方法是丢弃不完整的示例,这会导致丢失可用信息;
• 另一种方法是用可用样本的平均值填充缺失样本,并通过传统的矩阵完成算法补充 缺失变量。这样可以保存一些有用的信息,但是仍然会产生误差
为了处理缺少视图的多视图数据,近年来提出了以下的方法(2.2 中详细介绍):
• Partial multiview clustering (PVC):仅针对 missing-view 的情况,通过 NMF 学习完整表达;
• Multiview learning with incomplete views (MVL-IVs):基于子空间学习的思想,通过 multiview matrix completion 方法恢复不完整样本;
• Incomplete multimodality grouping (IMG):将几何信息合并到表示中,并设计了 IMG 方法。 具体来说,IMG 在公共表示上强加带有自动学习图的流形正则化,以增强 分组可辨性。
• Doubly aligned incomplete multiview clustering (DAIMC):基于加权半 NMF,开发了 DAIMC 算法,同时对齐了样本和基础矩阵。
基于以上四种方法的相似之处,本文提出 JELLA 框架,引入一组低秩矩阵来近似不完整表示。如果没有丢失,则近似矩阵的项将被约束为等于原始数据矩阵的对应项。然后,采用映射函数(例如,线性变换)的概念来从多个视图中学习完整和通用的嵌入。即,通过使 用多个视图的兼容和互补信息,将近似数据矩阵映射到公共表示矩阵。
JELLA 优点:
• 将 PVC、MVL-IVs、IMG、DAIMC 统一到一个框架中;
• 在此框架的指导下,为完整的多视图数据开发的某些先前的多视图算法可以直接适 用于 IML.
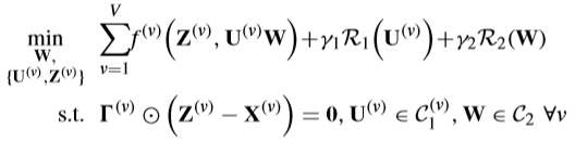
2.2 JELLA

其中, X ( v ) ∈ R d ( v ) × n X^{(v)}\in \mathbb{R}^{d^{(v)}×n} X(v)∈Rd(v)×n 为第 v v v 个视图的原始数据矩阵; Z ( v ) ∈ R d ( v ) × n Z^{(v)}\in \mathbb{R}^{d^{(v)}×n} Z(v)∈Rd(v)×n 为第 v v v 个视图补全后的数据矩阵(秩为 r r r); U ( v ) ∈ R d ( v ) × r U^{(v)}\in \mathbb{R}^{d^{(v)}×r} U(v)∈Rd(v)

本文介绍了一种用于不完整多视图学习的框架:联合嵌入学习和低秩近似(JELLA),该框架能够统一处理多种不完整多视图学习方法,包括Partial Multi-view Clustering (PVC)、Multiview Learning with Incomplete Views (MVL-IVs)等。JELLA通过引入低秩矩阵近似不完整表示,采用映射函数从多个视图中学习完整和通用的嵌入,适用于处理各种类型的多视图数据缺失情况。
最低0.47元/天 解锁文章
1390

被折叠的 条评论
为什么被折叠?



