红黑树
我们前面介绍了2-3树,可以看到2-3树能保证在插入元素之后,树依然保持平衡状态,它的最坏情况下所有子结点 都是2-结点,树的高度为lgN,相比于我们普通的二叉查找树,最坏情况下树的高度为N,确实保证了最坏情况下的 时间复杂度,但是2-3树实现起来过于复杂,所以我们介绍一种2-3树思想的简单实现:红黑树。
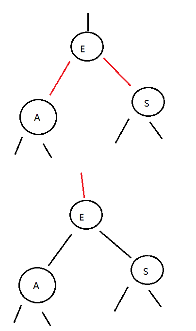
红黑树主要是对2-3树进行编码,红黑树背后的基本思想是用标准的二叉查找树(完全由2-结点构成)和一些额外的信 息(替换3-结点)来表示2-3树。我们将树中的链接分为两种类型:
**红链接:**将两个2-结点连接起来构成一个3-结点; **黑链接:**则是2-3树中的普通链接。
确切的说,我们将3-结点表示为由由一条左斜的红色链接(两个2-结点其中之一是另一个的左子结点)相连的两个2- 结点。这种表示法的一个优点是,我们无需修改就可以直接使用标准的二叉查找树的get方法。
1 红黑树的定义
从链接的角度来看,红黑树有以下三个特性
- 红链接均为左链接;
- 没有任何一个结点同时和两条红链接相连; (左倾红黑树)《算法4》
- 该树是完美黑色平衡的,即任意空链接到根结点的路径上的黑链接数量相同;

从结点的角度来看,红黑树有以下五个特性:
-
节点是红色或黑色。
-
根节点是黑色。
-
所有叶子都是黑色。
-
每个红色节点的两个子节点都是黑色。(从每个叶子到根的所有路径上不能有两个连续的红色节点)
-
从任一节点到其每个叶子的所有路径都包含相同数目的黑色节点。

2 结点API设计
因为每个结点都只会有一条指向自己的链接(从它的父结点指向它),我们可以在之前的Node结点中添加一个布 尔类型的变量color来表示链接的颜色。如果指向它的链接是红色的,那么该变量的值为true,如果链接是黑色 的,那么该变量的值为false。
| 类名 | Node<Key,Value> |
|---|---|
| 构造方法 | Node(Key key, Value value, Node left, Node right,boolean color):创建Node对象 |
| 成员变量 | 1.public Node left:记录左子结点 2.public Node right:记录右子结点 3.public Key key:存储键 4.public Value value:存储值 5.public boolean color:由其父结点指向它的链接的颜色 |
3 平衡化
在对红黑树进行一些增删改查的操作后,很有可能会出现红色的右链接或者两条连续红色的链接,而这些都不满足 红黑树的定义,所以我们需要对这些情况通过旋转进行修复,让红黑树保持平衡。
3.1 左旋
当某个结点的左子结点为黑色,右子结点为红色,此时需要左旋。
**前提:**当前结点为h,它的右子结点为x;
左旋过程:
- 让x的左子结点变为h的右子结点
- 让h成为x的左子结点
- 让h的color属性变为x的color属性值
- 让h的color属性变为RED

3.2 右旋
当某个结点的左子结点是红色,且左子结点的左子结点也是红色,需要右旋
**前提:**当前结点为h,它的左子结点为x;
右旋过程:
- 让x的右子结点成为h的左子结点:
- 让h成为x的右子结点:
- 让x的color变为h的color属性值
- 让h的color为RED;

3.3 向单个2-结点插入新键
一棵只含有一个键的红黑树只含有一个2-结点。插入另一个键后,我们马上就需要将他们旋转。
- 如果新键小于当前结点的键,我们只需要新增一个红色结点即可,新的红黑树和单个3-结点完全等价。

- 如果新键大于当前结点的键,那么新增的红色结点将会产生一条红色的右链接,此时我们需要通过左旋,把 红色右链接变成左链接,插入操作才算完成。形成的新的红黑树依然和3-结点等价,其中含有两个键,一条红 色链接。

3.4 向底部的2-结点插入新键
用和二叉查找树相同的方式向一棵红黑树中插入一个新键,会在树的底部新增一个结点(可以保证有序性),唯一 区别的地方是我们会用红链接将新结点和它的父结点相连。如果它的父结点是一个2-结点,那么刚才讨论的两种方 式仍然适用。

3.5 变色
当一个结点的左子结点和右子结点的color都为RED时,也就是出现了临时的4-结点,此时只需要把左子结点和右子结点的颜色变为BLACK,同时让当前结点的颜色变为RED即可。

3.6 向一棵双键树(即一个3-结点)中插入新键
这种情况有可以分为三种子情况:
- 新键大于原树中的两个键

- 新键小于原树中的两个键

- 新键介于原树中两个键之间

3.7 根节点的颜色总是黑色
之前我们介绍结点API的时候,在结点Node对象中color属性表示的是父结点指向当前结点的连接的颜色,由于根 结点不存在父结点,所以每次插入操作后,我们都需要把根结点的颜色设置为黑色。
3.8 向树底部的3-结点插入新键
假设在树的底部的一个3-结点下加入一个新的结点。前面我们所讲的3种情况都会出现。指向新结点的链接可能是 3-结点的右链接(此时我们只需要转换颜色即可),或是左链接(此时我们需要进行右旋转然后再转换),或是中链 接(此时需要先左旋转然后再右旋转,最后转换颜色)。颜色转换会使中间结点的颜色变红,相当于将它送入了父结 点。这意味着父结点中继续插入一个新键,我们只需要使用相同的方法解决即可,直到遇到一个2-结点或者根结点 为止。

3.9 代码实现
API 设计
| 类名 | RedBlackTree<Key,Value> |
|---|---|
| 构造方法 | RedBlackTree():创建RedBlackTree对象 |
| 成员方法 | 1.private boolean isRed(Node x):判断当前结点的父指向链接是否为红色 2.private Node rotateLeft(Node h):左旋调整 3.private Node rotateRight(Node h):右旋调整 4.private void flipColors(Node h):颜色反转,相当于完成拆分4-结点 5.public void put(Key key, Value val):在整个树上完成插入操作 6.private Node put(Node h, Key key, Value val):在指定树中,完成插入操作,并返回添加元素后新的树 7.public Value get(Key key):根据key,从树中找出对应的值 8.private Value get(Node x, Key key):从指定的树x中,找出key对应的值 9.public int size():获取树中元素的个数 |
| 成员变量 | 1.private Node root : 记录根结点 2.private int N:记录树中元素的个数 3.private static final boolean RED:红色链接标识 4.private static final boolean BLACK:黑色链接标识 |
代码实现
public class RedBlackTree<Key extends Comparable<Key>, Value> {
private Node<Key, Value> root;
private int n;
/**
* 红色标识
*/
private static final boolean RED = true;
private static final boolean BLACK = false;
public RedBlackTree() {
n = 0;
}
/**
* 判断当前节点的父指向链接是否为红色
*
* @return
*/
private boolean isRed(Node<Key, Value> node) {
if (node == null) {
return false;
}
// 非空节点
return node.color == RED;
}
/**
* 左旋调整
*
* @param h
* @return
*/
private Node<Key, Value> rotateLeft(Node<Key, Value> h) {
// 找出h的右节点
Node<Key, Value> hRight = h.right;
// 找出右节点的左子节点
Node<Key, Value> lhRight = hRight.left;
// 让当前节点h的右子节点的左子节点成为当前结点的右子节点
h.right = lhRight;
// 让当前结点h成为右子节点的左子节点
hRight.left = h;
// 让当前节点h的color变成右子节点的color
hRight.color = h.color;
// 让当前节点h的color变为red
h.color = RED;
return hRight;
}
/**
* 右旋调整
*
* @param h
* @return
*/
private Node<Key, Value> rotateRight(Node<Key, Value> h) {
// 获取当前节点h的左子节点
Node<Key, Value> hLeft = h.left;
// 找出当前节点h的左子节点的右子节点
Node<Key, Value> rhLeft = hLeft.right;
// 让当前节点h的左子节点的右子节点成为当前节点的左子节点
h.left = rhLeft;
// 让当前节点成为左子节点的右子节点
hLeft.right = h;
// 让当前节点h的color值变为左子节点的color值
hLeft.color = h.color;
// 让当前节点h的color变为RED
h.color = RED;
return hLeft;
}
/**
* 颜色反转,相当于完成拆分4-节点
*
* @param h
*/
private void flipColors(Node<Key, Value> h) {
// 当前节点的color变为RED
h.color = RED;
h.left.color = BLACK;
h.right.color = BLACK;
}
/**
* 获取树中元素的个数
*
* @return
*/
public int size() {
return n;
}
public Value get(Key key) {
return get(root, key);
}
/**
* 从指定的树x中找到key对应的值
*
* @param x
* @param key
* @return
*/
private Value get(Node<Key, Value> x, Key key) {
if (x == null) {
return null;
}
int cmp = key.compareTo(x.key);
if (cmp < 0) {
return get(x.left, key);
} else if (cmp > 0) {
return get(x.right, key);
} else {
return x.value;
}
}
/**
* 在整个树上完成插入操作
*
* @param key
* @param value
*/
public void put(Key key, Value value) {
root = put(root, key, value);
root.color = BLACK;
}
/**
* 在指定的树中,完成插入操作,并返回添加元素后的新树
*
* @param h
* @param key
* @param value
* @return
*/
private Node<Key, Value> put(Node<Key, Value> h, Key key, Value value) {
if (h == null) {
// 标准的插入操作,和父节点用红链接相连
n++;
return new Node<>(null, null, key, value, RED);
}
// 比较要插入的键和当前节点的键
int cmp = key.compareTo(h.key);
// 当前插入的key小于当前节点的key
if (cmp < 0) {
// 继续寻找左子树插入
h.left = put(h.left, key, value);
} else if (cmp > 0) {
// 当前插入的key大于当前节点的key
// 继续寻找节点的右子树插入
h.right = put(h.right, key, value);
} else {
// key相等,直接替换
h.value = value;
}
// 如果当前节点的右连接是红色,左链接是黑色,需要左旋
if (isRed(h.right) && !isRed(h.left)) {
h = rotateLeft(h);
}
// 如果当前结点的左子节点和左子节点的左子节点都是红色,就需要右旋
if (isRed(h.left) && isRed(h.left.left)) {
h = rotateRight(h);
}
// 如果当前结点的左链接和右连接都是红色,则需要变色
if (isRed(h.left) && isRed(h.right)) {
flipColors(h);
}
// 返回当前节点
return h;
}
private static class Node<Key, Value> {
public Node<Key, Value> left;
public Node<Key, Value> right;
public Key key;
public Value value;
/**
* 如果指向它的链接是红色的,那么该变量的值为true,
* 如果链接是黑色 的,那么该变量的值为false
*/
public boolean color;
public Node(Node<Key, Value> left, Node<Key, Value> right, Key key, Value value, boolean color) {
this.left = left;
this.right = right;
this.key = key;
this.value = value;
this.color = color;
}
}
}
class Test15 {
public static void main(String[] args) {
RedBlackTree<Integer, String> tree = new RedBlackTree<>();
tree.put(4, "二哈");
tree.put(1, "张三");
tree.put(3, "李四");
tree.put(5, "王五");
System.out.println(tree.size());
}
}

3413

被折叠的 条评论
为什么被折叠?



