16.1 目标规划的数学模型
16.1.1 概念
- 正、负偏差变量
- 绝对(刚性)约束和目标约束
- 优先因子(优先等级)与权系数
- 目标规划的目标函数
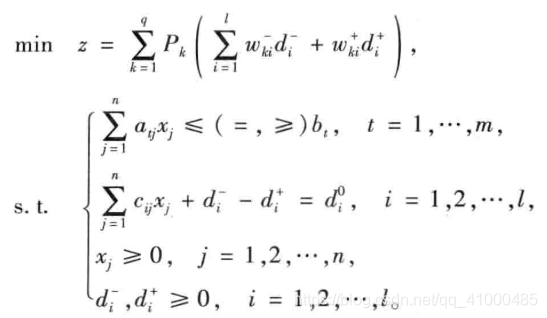
16.1.2 一般数学模型

16.2 求解目标规划的序贯算法
根据优先级的先后次序,将目标规划问题分解成一系列的单目标规划问题,然后再依次求解。
需要用到Lingo程序。
16.3 多目标规划的Matlab解法
使用fgoalattain函数
M函数
function F=Fun(x);
F=[-100*x(1)-90*x(2)-80*x(2)-70*x(4)
3*x(2)+2*x(4)];
a=[-1 -1 0 0
0 0 -1 -1
3 0 2 0
0 3 0 2];
b=[-30 -30 120 48]';
c1=[-100 -90 -80 -70];
c2=[0 3 0 2];
[x1,g1]=linprog(c1,a,b,[],[],zeros(4,1))
[x2,g2]=linprog(c2,a,b,[],[],zeros(4,1))
g3=[g1;g2];
[x,fval]=fgoalattain('Fun',rand(4,1),g3,abs(g3),a,b,[],[],zeros(4,1))
%这里权重weight=目标goal的绝对值
可能每次运行的结果都是不一样的,不过差异不大
下面使用匿名函数求解:
clc,clear
a=[-1 -1 0 0
0 0 -1 -1
3 0 2 0
0 3 0 2];
b=[-30 -30 120 48]';
c1=[-100 -90 -80 -70];
c2=[0 3 0 2];
fun=@(x) [c1;c2]*x;
[x1,g1]=linprog(c1,a,b,[],[],zeros(4,1))
[x2,g2]=linprog(c2,a,b,[],[],zeros(4,1))
g3=[g1;g2];
[x,fval]=fgoalattain(fun,rand(4,1),g3,abs(g3),a,b,[],[],zeros(4,1))
16.4 目标规划模型的实例
均需使用Lingo软件实现,由于对其不熟悉,此处便不予详解。
本文深入探讨了目标规划的概念,包括正负偏差变量、绝对约束与目标约束、优先因子等,并介绍了目标规划的数学模型及求解算法。此外,还详细讲解了使用Matlab的fgoalattain函数进行多目标规划的方法。
3005





