
题目如上图



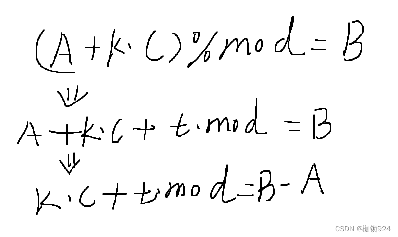
由题意可知

显然这是一个扩展欧几里得
那么我们另k为x,t为y,C为a,mod为b,B-A为c。
这样就出现了这样的式子:
ax+by=c,显然是扩展欧几里得的式子。
那么接下来就直接求解。
#include<bits/stdc++.h>
#include<iostream>
using namespace std;
typedef long long ll;
#define N 100005
int a[N];
int T;
ll gcd(ll a,ll b){
return b == 0 ? a : gcd(b,a%b);
}
ll edgcd(ll a,ll b,ll &x,ll &y){
if(b == 0){
x = 1;
y = 0;
return a;
}
ll res = edgcd(b,a%b,x,y);
ll tmp = x;
x = y;
y = tmp - a/b*y;
return res;
}
void sol() {
while(true){
ll a,b,c,k;
ll x1 = 0,y1 = 0;
cin >> a >> b >> c >> k;
if(!a && !b && !c && !k) break;
ll mod = (ll)1 << k;
ll A = c,B = mod,C = b-a;
if(C < 0) C += mod;
ll d = edgcd(A,B,x1,y1);
if(C%d != 0){
cout << "FOREVER\n";
continue;
}
ll tmp1 = C/d;
x1 = (x1 * tmp1) % mod;
ll tmp = B/d;
x1 = (x1 % tmp + tmp) % tmp;
cout << x1 << '\n';
}
}
int main() {
ios::sync_with_stdio(false);
sol();
//if(!res) cout << "Impossible\n";
//else cout << res << '\n';
return 0;
}
然后就是另一题,题目如下

这道题的题意大致为让你求这些数的最小公倍数,然后保证任何一支队伍第一个来都能整除,如果超过1000000就输出“Too much money to pay!”。
知道求最小公倍数了显然就比较简单。
lcm(a,b)=(a*b)/gcd(a,b)。
然后按照这个公式算,就可以写代码了。
#include<bits/stdc++.h>
#include<iostream>
using namespace std;
typedef long long ll;
#define N 100005
int a[N];
int T;
ll gcd(ll a,ll b){
return b == 0 ? a : gcd(b,a%b);
}
void sol() {
while(true){
int n;
cin >> n;
if(!n) break;
for(int i = 0;i < n;i++) cin >> a[i];
int res = 1;
bool ju = false;
for(int i = 0;i < n;i++){
res = res*a[i]/gcd(res,a[i]);
if(res >= 1000000){
ju = true;
break;
}
}
if(ju) cout << "Too much money to pay!\n";
else cout << "The CEO must bring " << res << " pounds.\n";
}
}
int main() {
ios::sync_with_stdio(false);
sol();
return 0;
}
本文解析了扩展欧几里得算法的应用及最小公倍数的计算方法,提供了具体的代码实现。
172

被折叠的 条评论
为什么被折叠?



