3.1 什么是总线?总线传输有何特点?为了减轻总线的负载,总线上的部件都应具备什么特点?
答:
什么是总线:
在计算机中,一条由多个部分共用的公共数据传输线称为"总线",这种连接方式为"总线连接",和总线连接相对的"分散连接",各部件之间单独连线.
总线传输特点:
- 更加灵活,可以更加方便的增加设备.
- 同一时间内只允许一个设备向总线发出讯息,其他的设备都能接受信息,实现了信息共享,但是如果同时由多个设备向总线发送信息,将会导致信号冲突,数据无效.
部件的特点:
- 高效的数据传输,避免长时间占用总线影响总进程.
- 一定的自主工作能力,部件应该能独立完成一些简单的操作,尽可能减少对总线的访问次数.
- 缓存能力,缓存能力的提高也能减少部件对于总线的访问次数.
3.2总线如何分类?什么是系统总线?系统总线又分为几类,它们各有何作用,是单向的,还是双向的,它们与机器字长、存储字长、存储单元有何关系?
分类:
按照数据传输方式:并行传输总线和串行传输总线
按照适用范围:计算机总线、测控总线、网络通信总线等
按照连接部件不同:片内总线、系统总线、通信总线
系统总线是什么:
CPU、主存、IO设备各大部件之间的信息传输线。这些设备通常安装在主板或插件板上,所以又称作板间总线或板级总线。
系统总线又可以分为数据总线、地址总线、控制总线,其中数据总线是CPU和部件之间的双向传输线,地址总线是由CPU输出到部件的单向传输线,而控制总线对于部件来说是单向的,它们只需要接收从CPU发送出来的信号,但是对于CPU来说也可认为控制总线是双向的,因为控制总线还有“监视”的作用,CPU需要通过控制总线查询设备处于何种状态。
机器字长是计算机中一次能够处理的二进制数据位数。存储字长是计算机中用于存储数据的一次读写操作的位数。存储单元是计算机中用于存储数据的最小单位,通常是一个字节。总线位数通常和它们相匹配,以追求更好的数据读写效率。
3.3 常用的总线结构有几种?不同的总线结构对计算机的性能有什么影响?
单总线结构、双总线结构、多总线结构。单总线结构所有部件都连接到一条总线上进行数据传输个通信,成本低易于实现,但是会导致数据拥堵;双总线结构可以面向CPU也可以面向主存,前者会影响机器整体进程,因为需要频繁经过CPU进行数据传输,后者是在CPU和主存时间增加一条总线,称作存储总线,减轻了CPU负担,切这样主存和CPU之间传输效率也提高了;多总线结构是在双总线基础上增加了更多的独立总线,大大提高系统拓展性和并行效率。
3.4 为什么要设置总线判优控制?常见的集中式总线控制有几种,各有何特点,哪种方式响应时间最快哪种方式对电路故障最敏感?
因为总线由多个设备共享,同一时间只能有一方进行数据发送,其余部件只能进行数据接收,多个部件同时向总线发送数据会出现冲突,所以规定在使用过程中,主设备享有对总线的控制权,从设备只能响应从总线发送过来的命令,对总线没有控制权,入股从设备想要获得控制权需要通过总线向主设备发送请求,如果同时由多个设备进行请求,这时候就要靠判优控制进行仲裁哪个设备优先获得控制权,通常分为集中式和分布式。
集中式判优仲裁方式有以下几种:
链式查询、计时器定时查询、独立请求方式;链式查询(BS-忙,BR-请求,BG-同意)是BS逐个查询设备是否发起请求,遇到请求就返回给主设备,其中越靠近主设备的从设备优先级越高,结构简单、容易扩充但是对电路故障敏感,实际应用可以增加备用线的条数来降低故障率;计时器定时查询(BS,BR,设备地址线)是在总线部件从BR接收到信号后,在BS为0的情况下,总线控制部件中计数器开始计时,并通过设备地址线向各个设备发送地址信号,当某个请求的占用总线的设备地址和计数值一致时,便获得总线控制权,此时终止计数器查询,计数器值可以从0开始也可以是程序设定的值开始,对电路故障敏感度小于前一种方式,但是相对复杂;独立请求方式中每个设备都有链接总设备的BR和BG,优点是响应速度快灵活性高,缺点是总控程序更复杂,造价高。
3.5 解释概念:总线宽度、总线带宽、总线复用、总线的主设备(或主模块)、总线的从设备(或从模块)、总线的传输周期、总线的通信控制。
- 总线宽度:(p46)总线宽度是指总线上同时可以传输的位数,通常以位数来表示。例如,一个16位总线可以同时传输16位的数据。
- 总线带宽:总线带宽是指总线在单位时间内传输的数据量,通常以每秒传输的位数或字节数来表示。总线带宽与总线宽度、传输速率等因素有关。
- 总线复用:总线复用是指多个设备共享同一个总线分时进行数据传输和通信的过程。通过总线复用,可以减少系统中的总线数量,提高资源利用率。
- 总线的主设备(或主模块):总线的主设备是控制总线访问和数据传输的设备,通常是CPU或其他主控制器。主设备负责协调总线上的数据传输和通信操作。
- 总线的从设备(或从模块):总线的从设备是被主设备控制的设备,通过总线与主设备进行数据交换和通信。从设备可以是存储器、I/O设备等。
- 总线的传输周期:(p59)通常将完成一次总线操作的时间称作总线周期,而总线传输周期是指链接在总线上两个部件完成一次完整且可靠的信息传输时间,以读取过程为例:包括四个时钟周期,1-上升沿发出地址信息,2-上升沿发出读命令,在3来之前返回信息给CPU,3-将数据线上信息送到其内部寄存器中,4-在上升沿撤销读命令输入设备不再向数据总线传输数据,撤销它对数据总线的驱动。
- 总线的通信控制:总线的通信控制是指通过总线控制信号和协议来实现设备之间的数据传输和通信。通信控制包括总线访问的优先级、数据传输的时序、错误检测和纠正等功能,确保数据在总线上的正确传输和处理。
3.6 试比较同步通信和异步通信。
同步通信和异步通信是两种常见的通信方式,它们在工作原理、应用场景和优缺点等方面有所不同。
相同点:
1. 都是用于设备之间进行数据传输和通信的方式。
2. 都可以实现数据的可靠传输。
3. 都可以在一定程度上控制数据的传输速度。不同点:
1. 工作原理不同:同步通信是在发送和接收数据之间建立时钟同步关系,需要通过时钟信号来同步发送和接收数据;异步通信则是通过起始位和停止位来标识数据的开始和结束,不需要时钟信号同步。
2. 数据传输速度:同步通信通常能够实现更高的数据传输速度,而异步通信速度较慢。
3. 实现复杂度:同步通信的实现较复杂,需要处理时钟同步等问题;而异步通信相对简单。
4. 适用场景:同步通信适用于高速数据传输、长距离通信等场景;异步通信适用于简单的短距离通信、低速数据传输等场景。优点:
同步通信:
1. 高效:能够实现高速数据传输。
2. 稳定:通过时钟同步来保证数据的稳定传输。异步通信:
1. 简单:实现相对简单,成本低。
2. 灵活:不受时钟同步的限制,适用于不同速度的设备之间的通信。缺点:
同步通信:
1. 复杂:实现较为复杂,需要处理时钟同步等问题。
2. 速度受限:受到时钟频率的限制,速度可能受到影响。异步通信:
1. 速度较慢:由于不需要时钟同步,速度相对较慢。
2. 不适用于高速数据传输:不适用于高速数据传输和长距离通信。3. 克服了各个模块速度不一致的问题。
3.7 画图说明异步通信中请求与回答有哪几种互锁关系。

3.8 为什么说半同步通信同时保留了同步通信和异步通信的特点?
既有时钟线用于控制,又新增了/WAIT响应信号线允许设备之间的周期不匹配的情况出现。这种模式可靠性高,缺点是由于时钟频率的限制工作速度不是很高。
3.9 分离式通信有何特点?主要用于什么系统?
克服了传输过程中从模块按照指令进行读数据的必要准备这一等待过程;各模块欲占用总线使用权都必须提出申请;在得到总线使用权后,主模块在限定时间内向对方传递信息,采用同步方式,不再接收应答信号;各模块在准备过程都不占用总线,使总线可以接受其他模块的请求;总线不存在空等时间,即“占用即使用”。这种控制方法复杂,所以一般只在大型计算机中使用。
3.10 什么是总线标准?为什么要设置总线标准?目前流行的总线标准有哪些?什么是即插即用,哪些总线有这种特点?
总线标准是一种规范,用于定义计算机硬件设备之间的通信协议和接口。它规定了设备如何进行通信和交换数据,以及如何进行控制和管理。总线标准通常由行业组织或标准化机构制定。这个标准对于两端的模块都是透明的,界面的任意一方只需完成自身对接,无需考虑对方接口和需求,因此按照总线标准设计的接口称为通用接口;既可以对软件设计提供方便,又可以使硬件芯片设计相对独立。
设置总线标准的目的是为了保证不同厂家的设备可以互相兼容,使得设备之间可以进行通信和交换数据。同时,总线标准还可以降低系统的复杂度,提高系统的可靠性和稳定性。
前目流行的总线标准有很多种,常见的有:(p48)
USB(Universal Serial Bus):用于连接计算机和外部设备,支持热插拔和即插即用特性,速度较快,广泛应用于计算机和消费电子产品中。
PCI(Peripheral Component Interconnect):用于连接计算机内部的扩展卡,支持高速数据传输,是计算机主板上的一种重要接口。
SATA(Serial Advanced Technology Attachment):用于连接存储设备,支持高速数据传输和热插拔功能,是现代计算机中常用的存储接口。
Ethernet(以太网):用于连接局域网中的计算机和设备,支持高速数据传输,是现代计算机网络中的重要组成部分。
即插即用是一种特性,用于描述设备的自动识别和配置功能。即插即用设备可以在插入到计算机或其他设备中时,自动进行识别和配置,无需手动设置或安装驱动程序。
目前支持即插即用特性的总线标准有很多种,常见的有:
USB:支持即插即用特性,插入设备后会自动进行识别和配置。
FireWire(IEEE 1394):支持即插即用特性,插入设备后会自动进行识别和配置。
PCI Express:支持热插拔和即插即用特性,插入设备后会自动进行识别和配置。
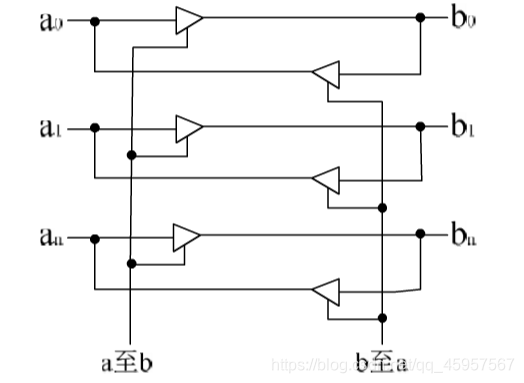
3.11 画一个具有双向传送功能的总线逻辑图。
答:在总线的两段分别配置三态门,就可以使总线具有双向传输功能。

3.12 设数据总线上接有A、B、C、D4个寄存器,要求选用合适的74系列芯片,完成下列逻辑设计:
(1)设计一个电路,在同一时间实现D→A、D→B和D→C寄存器间的传送。
(2)设计一个电路,实现下列操作。
T0时刻完成D→总线。
T1时刻完成总线→A。
T2时刻完成A→总线。
T3时刻完成总线→B。
(1)由T打开三态门将D寄存器中的内容送至总线bus,由cp脉冲同时将总线上的数据打入A,B,C寄存器中。T和cp的时间关系如下图1所示:
(2)三态门1受T0+T1控制,以确保T0时刻D->总线,以及T1时刻总线->接受门1->A。三态门2受T2+T3控制,以确保T2时刻A->总线,以及T3时刻总线->接收门2->B。T0、T1、T2、T3波形图如下图2所示:
(本人电路知识薄弱,此处引用:复习第四天——系统总线习题_画图说明异步通信中请求与回答有哪几种互锁关系-CSDN博客)
其中我不理解的地方进行了整理:
CP脉冲通常指的是时钟脉冲(Clock Pulse),在数字电路中起着非常重要的作用。时钟脉冲用于同步各种数字逻辑元件(如寄存器、计数器、触发器等)的工作,确保它们在正确的时间进行数据传输和处理。时钟脉冲的频率和稳定性对于数字系统的正常运行至关重要。
在数字电路中,CP脉冲的上升沿或下降沿触发元件的动作,比如在上升沿触发的触发器中,当CP脉冲的上升沿到来时,触发器会根据输入信号的状态进行相应的操作,例如存储数据或产生输出。CP脉冲的频率决定了数字电路的工作速度,而CP脉冲的稳定性则决定了数字系统的可靠性和精度。
总之,CP脉冲在数字电路中扮演着非常重要的角色,是数字系统中的“心跳”,用于协调各个元件的工作,确保数字系统的正常运行。
三态门(Tri-state gate)是一种数字逻辑门,具有三种状态:高电平(1)、低电平(0)和高阻态(Z)。在高电平和低电平状态下,三态门的输出会分别输出高电平和低电平;而在高阻态下,输出端不会有有效的电平输出,相当于断开输出端与电路的连接。
三态门通常用于数字电路中的总线控制和数据传输。通过控制三态门的使能端,可以控制输出端的电平状态,从而实现多个输出端连接到同一总线上,但只有一个输出端处于有效状态的情况,避免输出端之间的冲突。这种特性使得三态门在多路数据传输和数据总线控制中得到广泛应用。
常见的三态门包括74系列的芯片,如74LS125、74LS244等。在设计数字电路时,三态门可以用于实现数据的选择、传输和控制,提高电路的灵活性和效率。
3.13 什么是总线的数据传送速率,它与哪些因素有关?
3.14 设总线的时钟频率为8MHz,一个总线周期等于一个时钟周期。如果一个总线周期中并行传送16位数据,试问总线的带宽是多少?
总线的数据传送速率是指在数字系统中,总线能够传输数据的速度,通常以每秒传输的位数或字节数来表示,如Mbps(兆位每秒)或MBps(兆字节每秒)。
总线的数据传送速率受到以下几个因素的影响:
1. 总线的宽度:总线的宽度指的是总线能够同时传输的位数或字节数。例如,一个32位总线可以一次传输32位的数据,比一个16位总线传输速度更快。
2. 总线的时钟频率:总线的时钟频率决定了总线每秒钟能够进行多少次数据传输。通常,总线的速度与时钟频率成正比。
3. 总线的传输协议:不同的总线采用不同的传输协议,协议的设计会影响数据传输的效率和速率。一些高级总线协议会采用更高效的数据传输方式,提高传输速率。
4. 总线的类型:不同类型的总线具有不同的传输速率。例如,PCI总线和PCI Express总线具有不同的数据传输速率。
5. 总线的质量和长度:总线的质量和长度也会影响数据传输速率。较高质量的总线和较短的总线长度通常能够实现更高的数据传输速率。
总线的数据传送速率是设计数字系统时需要考虑的重要因素之一,合理选择总线的宽度、时钟频率和传输协议,以及保证总线的质量和长度,可以提高系统的数据传输效率和速度。
3.15 在一个32位的总线系统中,总线的时钟频率为66MHz,假设总线最短传输周期为4个时钟周期,试计算总线的最大数据传输率。若想提高数据传输率,可采取什么措施?
MBps指的是兆字节每秒(Megabytes per second),是数据传输速度的单位,表示每秒传输的兆字节数。通常用于衡量存储设备或网络传输速度。
一个时钟周期约为1 / 66 = 0.015微秒,
总线传输周期约为0.015 * 4 = 0.06微秒,
总线宽度为32位,也就是4字节,
故总线传输速率为4字节 / 0.06微秒 为 66.66MBps.
3.16 在异步串行传送系统中,字符格式为:1个起始位、8个数据位、1个校验位、2个终止位。若要求每秒传送120个字符,试求传送的波特率和比特率。
波特率(Baud rate)和比特率(Bit rate)是两个在通信领域中经常使用的概念,它们有一些区别:
1. 比特率(Bit rate):比特率是指单位时间内传输的比特数量,通常用bps(比特每秒)来表示。比特率是指数据传输速率,即在数字通信中,每秒钟传输的比特数。比特率是指实际数据的传输速率,不包括传输过程中的控制信息等。
2. 波特率(Baud rate):波特率是指单位时间内信号变化的次数,通常用波特(Baud)来表示。波特率是指调制解调器每秒钟传输的信号变化次数,它表示了调制解调器每秒钟可以发送的符号数量。波特率通常用来表示模拟信号的传输速率,而不是实际的比特传输速率。
总的来说,比特率是指实际数据传输的速率,而波特率是指信号传输的速率。在数字通信中,波特率通常等于比特率,但在某些模拟通信中,波特率可能会大于比特率,因为一个波特可能表示多个比特的传输。
根据题目可知,一帧为(1+8+1+2 = 12)12位;
故波特率为:12 * 120 = 1440波特;
十二位中有效数据为8位,传送一个字符需要12位,又求出波特率为1440,
所以比特率为1440 * (8/12) = 960bps;



1213

被折叠的 条评论
为什么被折叠?



