多层无线传感器网络的低能耗动态聚类方案
1. 引言
无线传感器网络(WSNs)主要用于感知和处理监测区域内的信息[1,2]。通常,传感器模块、处理器模块、无线通信模块和能量供应模块构成一个传感器节点。传感器模块的主要功能是感知周围环境的数据,并对感知到的数据进行处理。无线通信模块用于向基站或其他节点发送和接收感知数据。能量供应模块通过具有有限能量的电池为传感器节点提供能量[3–6]。根据传感器节点的通信能力、计算能力、感知能力和初始能量等特征,无线传感器网络可分为同质和异构无线传感器网络。同质无线传感器网络由具有相同通信能力、计算能力、感知能力和初始能量的传感器组成,例如共享单车;而异构无线传感器网络则由在这些能力上各不相同的传感器组成,例如智慧城市和智能家居[7]。在这两种类型的无线传感器网络中,无线传感器都具有有限的计算能力、存储容量和能量。由于设计上的限制,传感器无法具备复杂计算能力和大容量存储,且在远程或危险区域更换十分不便[8,9]。当一个节点’的能量耗尽时,网络将停止工作。因此,能量是限制无线传感器网络寿命的主要因素,应采用低能耗聚类方案来延长网络寿命。
在无线传感器网络中,簇结构由簇头和成员节点组成。簇头收集并聚合数据由簇内成员节点感知。然后,聚合数据通过簇头传输到基站。聚类无线传感器网络可应用于具有良好可扩展性的大规模自组织网络。如果某些节点被放置在远离基站的无人看守的森林、山区或沙漠地区,这些节点可以通过多跳方式基于聚类无线传感器网络与基站通信[6],而通信将消耗大量能量。然而,现有的多层聚类方案在选择簇头时仅考虑节点的剩余能量,而忽略了与传感器分布相关的通信开销,而通信开销应在低能耗网络聚类中被视为一个关键因素。
无线传感器网络中有许多不同的聚类方案,包括静态聚类方案和动态聚类方案。基于静态聚类的网络一旦形成,其拓扑结构保持不变。一些剩余能量较低的节点可能被选为簇头,这可能导致网络寿命缩短。静态聚类网络中的簇头负载较重且能耗较高。动态聚类方案在轮数变化时持续调整簇头,以确保簇头的能量消耗和负载保持均衡。
低能耗自适应聚类层次(LEACH)[10]是同构无线传感器网络中一种典型的聚类方案,通过在每轮中随机选择簇头来平衡无线传感器网络中节点的能耗。分布式节能聚类策略(DEEC)[7]应用于异构无线传感器网络,它为剩余能量较多的节点分配更高的概率以被选为簇头。[7,11,12]。近年来,在组网方案中考虑了更多因素,以更好地适应不同的应用场景。Hendrarini 和 Asvial 提出了博弈论算法,通过改进 DEEC [13] 来优化传感器网络。他们认为,簇成员节点与簇头之间的距离以及簇头到基站的距离会影响网络的稳定性。尽管该方法可以提高网络性能,但不适用于具有复杂计算的大规模无线传感器网络。Singh、Malik 和 Kumar 提出了一种三级异构无线传感器网络模型以延长网络寿命[14], ,该模型通过实施 DEEC 协议进行计算。虽然网络的总能量和寿命得到了提升,但在偏远地区部署较为困难。
无线传感器网络(WSNs)中的无线传感器具有有限的计算能力、存储容量和能量。传感器无法具备复杂的计算能力和大容量存储。在远程且危险的监测区域,传感器节点难以更换。此外,随着物联网(IoT)的快速发展,无线传感器网络在节点多样化、复杂性、动态适用性和节点密度方面呈现出新的特征[2,3,8,9,15]。在这些新的应用场景中,组网策略应具备更好的容错性和更优的服务质量性能。因此,需要具备低能耗和降低计算成本的动态聚类方案。
模糊逻辑用于解决一些边界不清晰的问题[16]。其主要思想是模仿人类的思维方式,进行模糊综合判断以获得准确结果[17]。通过直觉、感官和经验来确定输入参数。输入规则以条件语句的形式表示,并制定相应的规则映射到输出空间。将模糊逻辑应用于动态聚类方案,主要得益于其具有一些特性,例如计算简单、操作方便、良好的容错性和鲁棒性。在不确定条件下,所提出的聚类方案的结果将比概率模型更加准确。
因此,本文提出了一种基于模糊逻辑的低能耗动态聚类方案,以延长网络寿命。在簇头选择过程中,除了节点的初始能量外,还自适应地考虑了节点周围存活节点的数量(节点密度指数)以及节点与基站之间的距离。
本文组织如下:在第2节中介绍了无线传感器网络的聚类模型;在第3节中提出了基于模糊逻辑的同质和异构无线传感器网络的低能耗动态聚类方案;第4节展示了实验结果;第5节 给出了本研究的一些结论。
2. 无线传感器网络的聚类模型
2.1. 网络拓扑设置
本节讨论了同质和异构无线传感器网络在多跳网络拓扑下的模型。如图1所示,N个传感器节点随机分布在M × M的监测区域内。基站位于远离监测区域的位置,用于收集和处理更大范围内节点的感知数据。感知节点的数据可以通过多跳路由协议经由簇头或其他簇头节点中继至基站。
为同构无线传感器网络设计的具有相同能力的节点。所有节点的初始能量均设置为E。同构无线传感器网络的设置如下:
(1) 所有节点(包括簇头)具有相同的通信能力、计算能力、感知能力和初始能量。(2) 监测区域内节点的数据通过本区域的簇头以单跳方式传输到基站,或通过其他簇的簇头以多跳中继方式传输到基站。(3) 所有传感器节点具有唯一的ID,可用于识别信号源,且节点位置固定,不具有移动性。(4) 任意两个节点之间的距离可根据信号强度进行估计,并可调整传输功率。
在网络拓扑相似的情况下,异构无线传感器网络由具有不同通信能力、计算能力、感知能力和初始能量的传感器组成。设所有节点的初始能量在以下范围内随机分布[E0,E0(1+ αmax)],其中E0为最小值,E0(1+ αmax)为节点初始能量的最大值。节点ni的初始能量设置为E0(1+ αi),其中αi表示初始能量高于E0的节点所占比例。每个节点表示为ni,i= 1, 2,…, N。
以下是几个定义:
(1) 节点的初始能量表示为Einitial,能耗表示为Ei − loss。节点的剩余能量为Eresidual=Einitial − Ei − loss。(2) 节点ni的通信半径表示能与其他节点通信的最大距离,用Ri表示。(3) 节点nx与节点ny之间的距离计算为Dn x −ny = ̅̅̅̅̅̅̅̅̅̅̅̅̅̅̅̅̅̅̅̅̅̅̅̅̅̅̅̅̅̅ ∑ n x − n y 2 √ (x y )。节点ni与基站之间的距离表示为Di,则簇内到基站的最大距离表示为Dmax。(4) 节点ni的邻居节点是指该节点与其他节点之间的距离小于通信半径Ri的节点。邻居节点的数量为Ni,ni的最大邻居节点数为Nmax。(5) 节点的相对密度定义为在簇的最小半径内,其邻居节点数量与其他节点的最大邻居节点数量之比,如公式(1)所示。公式(2)给出了覆盖区域M和簇数量k下簇的最小半径。
$$ Rρ= \frac{Ni}{Nmax} $$ (1)
$$ ropt= \sqrt{\frac{M}{πk}} $$ (2)
(6) 节点到基站的相对距离可根据距离Di和最大距离Dmax进行计算,如公式(3)所示。
$$ Rd= \frac{Di}{Dmax} $$ (3)
2.2. 无线传感器网络的能量模型
传感器节点的能耗模型考虑了节点在传输或接收数据时的能量消耗以及传输信道中的能量损耗,这些都与节点之间的距离相关,如图2[18]所示。
在图2中,k表示传输数据的比特数,d表示传输距离。节点在发送或接收1比特数据时将消耗Eelec能量。数据的编码模式、调制、滤波和频谱特性决定了Eelec. εfs的值,其中εamp分别为自由空间信道模型下功率放大器的能量损耗系数,以及多径衰落模型下功率放大器的能量损耗系数。当d小于d0,时,无线传感器网络的信道被视为理想信道,此时能量损耗系数设为εfs= 10pJ/bit/m2;类似地,当 d大于d0,时,多径衰落模型的能量损耗系数设为εamp= 0.0013pJ/bit/m4。因此,节点向其他节点发送或接收数据时的能耗可总结为公式(4),其中ET X − elec表示数据发射器中的能量损耗,ET X − amp表示发射放大器所消耗的能量。对于公式(5)中的接收节点,ERX − elec(k)是接收器[19]的能量消耗。因此,网络的总能耗Eloss可写为公式(6),其中Ei − loss表示节点ni的能量损耗。
$$ ET X(k, d)= ET X − elec(k)+ ET X − amp(k, d)= \begin{cases} k× Eelec+ k× εf s × d^2, & d ≤ d0 \ k× Eelec+ k× εamp × d^4, & d> d0 \end{cases} $$ (4)
$$ ER X(k)= ER X − elec(k)= k × Eelec $$ (5)
$$ Eloss=\sum_{i=1}^{n} Ei− loss $$ (6)
2.3. 同构无线传感器网络的LEACH
LEACH[10]是同构无线传感器网络中一种典型的聚类方案。它定义了“轮次”的概念。在每一轮中,随机选择若干节点作为当前轮次的簇头节点。簇头节点广播消息,其他节点根据接收到的信号强度选择加入附近的簇。每一轮分为两个步骤——簇构建和网络运行。在簇构建过程中,进行簇头选择并构建簇。在网络运行阶段,簇内节点将感知数据传输给簇头,由簇头进行数据聚合。随后,簇头将聚合数据包发送至基站。当节点没有消息需要发送时,其保持在睡眠状态,这也能降低网络中的能耗。每轮结束后,开始新一轮的簇头选择。该过程的流程图如图3所示。对于簇头选择,每个传感器节点生成一个介于0和1之间的随机数。如果该随机数小于th e thresholdT(ni),该节点被选中选为簇头。该阈值的计算如公式(7)所示,
$$ T(ni)= \begin{cases} \frac{popt}{1 − popt(r \mod 1/popt)} , & ni ∈ G \ 0, & ni ∉ G \end{cases} $$ (7)
在公式(7)中,p opt等于网络中簇的数量除以所有节点的数量,而r表示轮数。之前轮次中未被选为簇头的节点被放入一个固定集合中,如G所示。
LEACH 保证每个节点ni至少在ri= 1/p op t轮次内成为一次簇头。为了防止簇头节点在下一轮被重新选中,其阈值将被设为0。因此,网络中各节点的能量消耗得到了良好的均衡,网络寿命得以延长。
2.4. 异构无线传感器网络的DEEC
异构无线传感器网络包含具有不同初始能量、计算能力、感知能力和通信能力的传感器节点。由于异构无线传感器网络中节点的能量消耗并不完全相同,因此提出了DEEC,使得剩余能量较高的节点有更大的概率被选为簇头,该算法不仅考虑了节点的初始能量,还研究了剩余能量对簇头选择的影响。该算法使簇头的选择更加合理[7,11,12]。
网络的总初始能量Etotal可通过公式(8)计算。在公式(9)中,E(r)表示第r轮时网络的平均能量,用于簇头选择。在DEEC中,E(r) 被用作每个节点的参考能量。剩余能量Ei(r)大于E(r)的节点具有更高的概率被选为簇头。节点ni被选为簇头的概率pi可通过公式(10)计算。pi是节点ni的簇头轮换次数ri的倒数,表示节点ni在ri轮次中被选为簇头的平均概率。相应的阈值T(ni)在公式(11)中表示,其中 G为最近若干轮次[9]中未被选为簇头的节点集合。在第r轮进行簇头选择时,每个节点被分配一个0到1之间的随机数。若该随机数小于T(ni),则节点ni成为簇头。
$$ Etotal=\sum_{i=1}^{N} E0(1+αi)= E0(N+\sum_{i=1}^{N} αi) $$ (8)
$$ E(r)= \frac{1}{N}\sum_{i=1}^{N} Ei(r) $$ (9)
$$ pi = popt\left[1 − \frac{E(r) − Ei(r)}{E(r)}\right] = popt \frac{Ei(r)}{E(r)} $$ (10)
$$ T(ni) = \begin{cases} \frac{pi}{1 − pi(r \mod 1/pi)}, & \text{if } ni ∈ G \ 0, & \text{otherwise} \end{cases} $$ (11)
pop t 是平均概率pi 的参考值,该值决定了节点n i 的旋转周期ri和阈值T(ni )。在同构网络中,所有节点具有相同的初始能量和相同 的pop t 值。对于节点初始能量不同的异构无线传感器网络,每个节点的参考值popt 应根据其初始能量而不同。针对原始参考值pop t 设置 加权概率,并在公式(12)中计算新的popt new。因此,在多级能量异构网络[9]中,公式(10)中的popt 可用加权参考概率popt new替代。 pi 可重写为公式(13)。
$$ popt\ new= \frac{poptN(1+ αi)}{N+\sum_{i=1}^{N} αi} $$ (12)
$$ pi= \frac{poptN(1+ αi)Ei(r)}{(N+\sum_{i=1}^{N} αi)E(r)} $$ (13)
3. 无线传感器网络聚类的重要因素
3.1. 影响网络性能的重要因素
随着物联网技术的快速发展,无线传感器网络的应用需要增强节点多样化、不同的节点密度,并适应动态变化的场景。除了传统聚类算法中的节点剩余能量外,还引入了多个与网络结构相关的因素,以制定一种有效且可行的无线传感器网络低能耗动态聚类方案。
(1) 节点初始能量
在异构无线传感器网络中,节点的初始能量动态不同;这应被视为聚类的一个关键因素。假设网络中的节点数量和数据包数量是固定的,且成员传感器将数据发送到
簇头使用相同的能耗。节点的初始能量越高,每轮结束后节点中剩余的能量就越多。此外,当节点具有更多初始能量时,可以观察到更长的网络寿命。
(2) 节点密度
簇头的功能是收集和聚合成员节点的感知数据。一旦节点密度增加,簇内成员节点的数量将增加,这意味着簇头需要更多能量来处理更多的数据。因此,节点密度会极大地影响网络中簇头的能耗。当一个区域中分布的节点越多时,能量消耗得越快。
(3) 各节点到基站的距离
从公式(1)给出的能耗模型可以看出,当节点传输数据时,其能耗与传输距离d有关。如果各节点到基站的距离较大,则簇头向基站传输数据所消耗的能量会增加。因此,簇头与基站之间的距离会影响能耗。簇头与基站之间的距离越小,消耗的能量就越低。
3.2. 性能分析
从前一节可以得出,在制定网络聚类方法时,应考虑节点的初始能量、密度以及每个节点到基站的距离,以确保更长的网络寿命。
本节进行实验仿真,以评估所提出的因素对网络性能指标(如)的影响
网络的存活节点数量和剩余能量。
(1) 考虑节点初始能量
在同构无线传感器网络的LEACH协议中,所有节点具有相同的特性,包括初始能量。节点数量设置为100,基站坐标设置为 (50,150)。为了展示不同节点能量的影响,在保持其他参数不变的情况下,网络节点的初始能量水平分别设置为:0.5 J、0.6 J、0.7 J、 0.8 J、0.9 J和1.0 J。每种初始能量设置下实验运行2000次,结果取平均值。实验结果如图4所示。
基于异构无线传感器网络的DEEC协议,实验通过改变网络中节点的初始能量分布范围来进行,同时保持网络范围和基站位置不变。节点数量设置为100。异构网络中节点的初始能量分布范围分别设为0.5–1.0 J、0.6–1.1 J、0.7–1.2 J和0.8–1.3 J。针对不同节点能量,实验运行3000次,结果取平均值,如图5所示。
可以看出,无论在同质还是异质网络中应用哪种聚类算法,初始节点能量越高,每轮存活的节点越多。此外,节点的剩余能量越多,网络寿命越长。
(2) 考虑节点的密度
基于同构无线传感器网络的LEACH协议,将节点数量设置为100、200和300,以评估节点密度对聚类性能的影响。基站的坐标设置为(50,150)。节点的初始能量设置为0.5 J。在不同节点密度下进行2000次实验,结果取平均值,如图6所示。
基于异构无线传感器网络的DEEC协议,节点初始能量设置为0.5–1.0 J。节点数量设置为100、200、300、400 和 500。实验在不同节点密度下运行3000次,结果取平均值,如图7所示。
当网络的初始能量保持不变时,节点的更高密度会增加网络的总能耗,尤其是对于同质网络。其原因可能是节点数量的增加导致需要处理的数据量增加,从而需要更多的能量用于数据传输和聚合。同时,这也导致存活节点数量更快下降。
(3) 考虑节点到基站的距离
基于同构无线传感器网络的LEACH协议,基站的坐标设置为(0,0)、(50,50)、(50,100)和(50,150)。节点的初始能量设置为0.5 J。实验运行 2000次,结果取平均值,如图8所示。
对于异构无线传感器网络的DEEC协议,节点初始能量设置为0.5–1.0 J,节点数量设置为100。基站的坐标设置为(0,0)、(50,50)、 (50,100)和(50,150)。实验运行3000次,结果取平均值,如图9所示。
可以看出,当基站远离网络时,相同轮次中更少节点存活,且网络的剩余能量更低,表明能耗增加。当簇头在向基站传输数据的过程中消耗更多能量时,网络中的节点能耗增加,从而降低网络寿命。
本节表明,初始能量、节点密度以及节点到基站的距离对同质和异质网络的网络性能指标(如剩余能量和存活节点数量)具有显著影响。当节点的初始能量增加时,网络在相同轮次中的剩余能量将增加,存活节点数量也会增加,从而延长网络寿命。随着节点密度的增加,
网络中的能耗和存活节点数量迅速下降。因为在初始能量相同的情况下,节点规模增加会导致网络中传输的数据量增大,从而消耗更多能量,导致节点死亡。基站距离越远,剩余能量和存活节点数量越低。簇头与基站之间的距离越大,数据传输的能耗越高。
多层无线传感器网络的低能耗动态聚类方案(续)
4. 基于模糊逻辑的低能耗动态聚类方案
模糊逻辑使用方便,能够满足复杂动态应用场景的需求,具有更好的容错性和鲁棒性,从而提升服务质量性能[20]。本节提出了一种基于模糊逻辑的新型低能耗动态聚类方案,适用于同质和异构无线传感器网络,综合考虑了节点初始能量、节点周围存活节点数量(节点密度指数)以及节点与基站之间的距离。
4.1. 簇头选择
以异构无线传感器网络为例,其广泛应用于物联网应用中。通常在DEEC中,簇头的选择基于节点的剩余能量。每个节点的能量消耗通过从节点到簇头的数据传输来评估。通过定义T(ni),如果节点具有较高的剩余能量水平,则它们更有可能被选为簇头。
本文中,通过结合节点相对密度以及节点到基站距离对聚类的影响,应用模糊逻辑方案来提升DEEC的性能。所提出的方法设置了三个隶属度等级和九条逻辑规则。用于计算节点被选为簇头的概率的方案。将概率高于平均值的节点选为簇头,以平衡能耗并延长网络寿命。
图10 提供了所提出的模糊逻辑聚类方案中簇头选择的流程图。可以看出,簇头是动态选择的。首先,每个节点在0–1区间内生成一个随机数。如果该随机数小于阈值 T(ni),则该节点将被选为临时簇头。然后,根据两个因素计算每个节点被选为簇头的概率。一个是相对密度,另一个是节点到基站的相对距离。它们可根据 公式(1)–(3)计算。每个节点被选为簇头的概率可利用该模糊逻辑方案进行计算。
然后,节点将概率值广播给所有邻居节点。概率高于平均值的节点被选为簇头,并向网络中的其他节点广播其被选中的消息。其他节点根据从每个簇头接收到的信号强度来决定是否加入该簇头。还应注意的是p opt 被设置为DEEC中取值的两倍,以使所提出的聚类方案中的簇的数量与DEEC协议中的簇的数量保持一致。
当网络开始运行时,簇头节点利用数据融合技术收集并汇聚来自其他节点的数据,随后将数据传输至基站。所提出的聚类方案在簇头选择时考虑了节点的相对密度以及节点到基站的相对距离,能够降低低密度且远离基站的节点被选为簇头的概率。同时使簇结构更加合理,使得每个簇包含中等数量的节点。因此,该动态聚类方案能够减少网络中的能耗,有效延长网络寿命。
4.2. 模糊设计
基于模糊逻辑的低能耗动态聚类方案的第一步是模糊化输入参数。输入通过模糊化将参数从特定值映射到模糊集合,如图11所示。节点的相对密度和节点到基站的相对距离是主要输入参数,节点被选为簇头的概率则作为输出指标。
由于节点相对密度表示簇内节点的密度,如果节点密度较高,成员节点向簇头传输数据时消耗的能量会更少。从图12可以看出,节点相对密度的隶属函数在标准单位下被划分为三个等级:低、中和高,区间为[0, 1]。
节点到基站的距离表示可能被选为簇头的节点与基站之间的距离。节点与基站之间的距离越大,传输数据所消耗的能量就越多。在图13中,节点到基站的相对距离的隶属函数被划分为近、适中和远三类。所提出的聚类方案考虑了节点到基站的相对距离的影响,以避免选择远离基站的节点作为簇头。
模糊逻辑系统的输出表示节点被选为簇头的概率。在图14中,为了实现实时决策,隶属度被设置为三角分布,已将其划分为七个等级,即非常小(VS)、小(S)、较小(RS)、中(M)、较大(RB)、大(B)和非常大(VB)。
簇头的选择基于DEEC和模糊推理规则,该规则将节点的相对密度、节点到基站的相对距离以及节点的剩余能量映射为节点成为簇头的概率。表1 显示了模糊推理规则。
| 规则 | 条件 | 结论 |
|---|---|---|
| 1 | 如果(密度低)且(距离远) | 则(概率为极小) |
| 2 | 如果(密度低)且(距离适中) | 则(概率为小) |
| 3 | 如果(密度低)且(距离近) | 则(概率为较小) |
| 4 | 如果(密度高)且(距离近) | 则(概率为极大) |
| 5 | 如果(密度高)且(距离适中) | 则(概率为高) |
| 6 | 如果(密度高)且(距离远) | 则(概率为低高概率) |
| 7 | 如果(密度为中)且(距离远) | 则(概率为较小) |
| 8 | 如果(密度为中)且(距离适中) | 则(概率为中等) |
| 9 | 如果(密度为中)且(距离近) | 则(概率为低高概率) |
有必要通过去模糊化处理输出模糊集,以获得一个具有代表性和精确的值。本文采用质心法,其基本原理是计算输出模糊集隶属函数曲线与坐标轴所围成封闭区域的重心,并将重心坐标对应的值作为输出的精确解。节点被选为簇头的概率如公式(14)所示,其中 μprobability(x)为节点被选为簇头的隶属函数。
$$ \text{probability} = \frac{\sum x \mu_{\text{probability}}(x)}{\sum \mu_{\text{probability}}(x)} $$ (14)
图15 展示了一个特定的簇头选择案例,其中节点与基站之间的相对距离为0.28,节点的相对密度为0.76。根据所提方案,该节点被选为簇头的概率输出为0.688。
5. 结果与讨论
5.1. 所提聚类方案在异构无线传感器网络中的性能
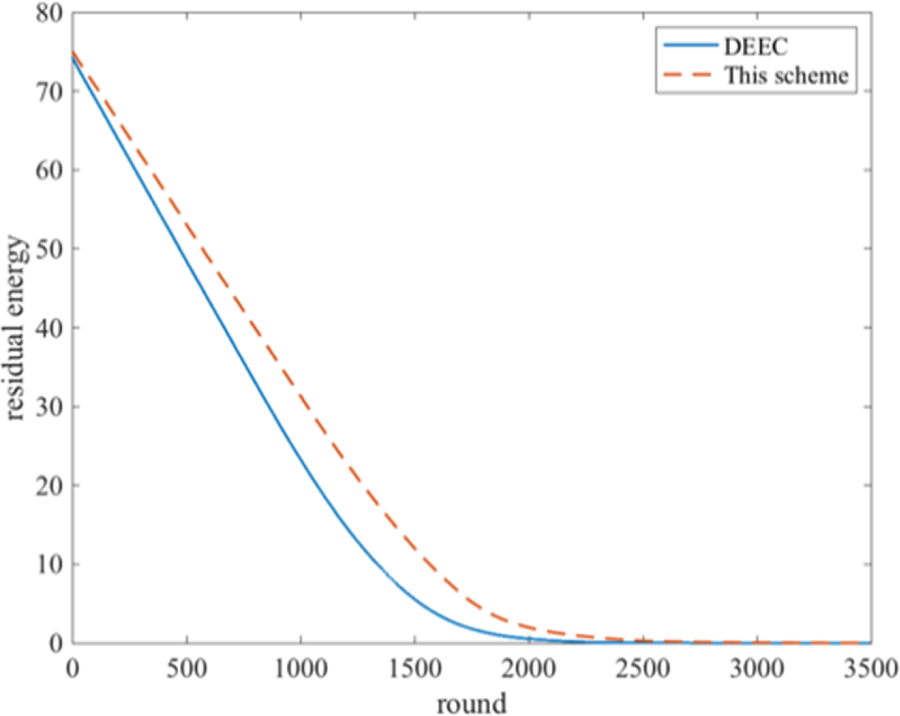
对于异构无线传感器网络,分析并比较了DEEC和所提模糊逻辑聚类方案的仿真结果。一百个传感器节点随机分布在100 × 100 m²区域内。基站位于(50, 150),远离传感器节点。实验使网络运行3500轮,并固定能耗模型。
(1) 存活节点数量的分析结果
在图16中,对比了DEEC和所提模糊逻辑聚类方案的存活节点情况,发现当网络运行相同轮数时,所提方案中的存活节点数量高于DEEC协议。
当网络中有1%、10%、50%和100%的节点死亡时,通过十次实验比较了DEEC方案和应用模糊逻辑的所提方案的轮数。如图17 所示,在DEEC中,当1%、10%、50%和100%的节点死亡时,实验中的平均轮数分别为844、1044、1444和2708轮。而当有1%、10%、50%和100%的节点死亡时,采用所提方案进行聚类的网络分别已运行1040、1252、1647和3402轮。这表明网络寿命更长。在 图18中,基于所提方案和DEEC协议的聚类网络初始能量设置为相同值。采用所提方案进行聚类的网络具有更长的寿命。通过十次实验,将不同方案中第一个死亡节点出现的轮数汇总于表2中。可以看出,网络寿命得到了显著延长。
表2 异构无线传感器网络中第一个死亡节点的轮数比较。
| 实验 | DEEC | 所提方案 |
|---|---|---|
| 1 | 846 | 1045 |
| 2 | 905 | 1036 |
| 3 | 807 | 1038 |
| 4 | 848 | 1052 |
| 5 | 794 | 1034 |
| 6 | 889 | 1042 |
| 7 | 906 | 1037 |
| 8 | 809 | 1034 |
| 9 | 822 | 1039 |
| 10 | 814 | 1043 |
| 平均值 | 844 | 1040 |
(2) 剩余能量比较
DEEC与所提模糊逻辑聚类方案的剩余能量比较如图19所示。可以看出,在每一轮中,所提方案的剩余能量均高于DEEC方案。采用所提聚类方案的网络能耗更加均衡,网络生存时间得以延长。
图20展示了模糊逻辑聚类方案中输入参数与输出指标之间的关系。可以看出,节点相对密度以及节点与基站之间的相对距离对簇头选择概率有显著影响,如图20所示。当节点与基站之间的距离较短且节点分布较密集时,该节点被选为簇头的概率更高。
5.2. 所提方案在同构无线传感器网络中的性能
对于同构无线传感器网络,通过实验验证了基于模糊逻辑的所提聚类方案与LEACH聚类方案。所提聚类方案综合考虑了节点剩余能量、节点密度以及节点与基站之间的距离,以更好地平衡网络能耗。一百个传感器节点随机分布在100 × 100 m²的区域内。基站位于坐标(50, 150),远离传感器节点区域。此外,簇头选择运行2500次。
(1) 存活节点数量结果对比
存活节点数量的比较如图21所示。可以看出,所提方案中第一个死亡节点出现的轮次晚于LEACH。在相同轮次下,采用所提方案进行簇划分的无线传感器网络中的存活节点数量多于LEACH。
十次实验中节点的平均死亡轮数如图22所示。当使用LEACH协议进行聚类时,1%、10%、50%和100%节点死亡的轮数平均值分别为349、444、956和2031,且所提聚类协议分别为943、1042、1221和1966轮次。所提方案的网络聚类具有更长的网络寿命。表3列出了十次实验中第一个死亡节点出现的平均轮数。所提方案显著延长了网络寿命。
表3 同构无线传感器网络中首个节点死亡轮次的比较。
| 实验 | LEACH | 所提方案 |
|---|---|---|
| 1 | 342 | 937 |
| 2 | 358 | 948 |
| 3 | 339 | 939 |
| 4 | 379 | 929 |
| 5 | 326 | 952 |
| 6 | 378 | 925 |
| 7 | 350 | 944 |
| 8 | 330 | 959 |
| 9 | 370 | 948 |
| 10 | 318 | 949 |
| 平均值 | 349 | 943 |
(2) 剩余能量分析
所提方案采用模糊逻辑与LEACH的剩余能量对比显示在图23中。可以发现,当轮数小于1200时,所提聚类方案的网络运行能耗明显低于LEACH协议的聚类网络能耗。经过500轮次后,所提方案的剩余能量为30.15 焦耳,而LEACH的剩余能量为22.3 焦耳。因此,应用模糊逻辑的聚类方案具有更多的节点剩余能量,以及更长的网络生命周期。
图24 显示了三维模糊逻辑的三个输入变量与作为簇头选择概率之间的关系。从图24(a)中可以看出,节点密度越高且剩余能量越大,其被选为簇头的概率就越高。从图24(b)中可以看出,当节点的剩余能量相同时,随着节点与基站之间距离的增加,其被选为簇头的概率降低;当节点与基站之间的距离相同时,剩余能量越多,被选为簇头的概率越大。从图24(c)中可以看出,在节点密度相同的情况下,距离越低,被选为簇头的概率越大;如果距离保持不变,密度越高,被选为簇头的概率越大。
6. 结论
传统的无线传感器网络聚类方法在簇头选择时通常仅考虑节点剩余能量,而忽略了网络结构和节点密度的差异。本文研究了与网络结构相关且影响网络性能的关键因素。通过对同构无线传感器网络中LEACH协议的聚类模型和能量模型,以及异构无线传感器网络中DEEC协议的分析表明,除了节点的剩余能量外,关键网络节点的相对密度和节点与基站之间的相对距离等因素对提高网络性能具有重要影响。因此,这些因素被作为模糊逻辑方案的输入参数,用于生成节点成为簇头的概率。无论是同质还是异构无线传感器网络,概率越高的该方案的输出值越高,节点越有可能被选为簇头。实验结果表明,所提出的因素在提高存活节点数量和剩余能量方面具有显著效果。所提出的低能耗动态聚类方案能够平衡同质和异质网络中节点的能量消耗,并显著延长网络生命周期。
31

被折叠的 条评论
为什么被折叠?



