1、Gantt 图
Gantt图以时间为基准描述项目任务,可以清晰的描述每个任务从何时开始,到何时结束,以及每个任务的并行关系,但是不能反映项目各任务之间的依赖关系,也无法确定整个任务的关键所在。

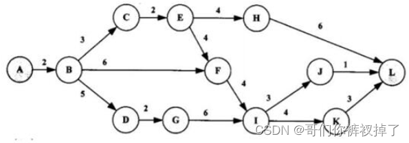
2、PERT图
计划评审技术(Program Evaluation and Review Technique,简称PERT),是一个有向图,是项目管理的一项重要手段和方法。它采用网络图来描述一个项目的任务网络。不仅可以表达子任务的计划安排,还可以在任务计划执行过程中估计任务完成的情况,分析某些子任务完成情况对全局的影响,找出影响全局的区域和关键子任务。以便及时采取措施,确保整个项目的完成。
优点:PERT图可以反映完成每个任务的开始时间、结束时间和完成该任务所需的时间,可以表达任务之间的依赖关系。
缺点:PERT图不能反映任务之间的并行关系。
PERT图四个关键概念:事件,活动,关键路径,松弛时间。
事件:Events,表示某个活动结束的节点,事件本身不消耗时间和资源;
活动:Activities,表示一个事件到另外一个事件的过程;
关键路径:Critical Path,PERT图中花费最长时间的路径,对应项目的最短工期。
松弛时间:Slack time,表示在不影响整个工期的前提下完成该任务有多少时间冗余,如可以推迟多久开始或者延长其完成的时间。关键路径的松弛时间为0。
某事件松弛时间的计算公式(算法1常用):
1)该事件最晚开始时间 - 最早开始时间;
2)最短工期(关键路径所消耗的时间)- 包含该事件的关键路径(包含该事件-Finish节点)所消耗的时间;
优点:PERT图可以反映完成每个任务的开始时间、结束时间和完成该任务所需的时间,可以表达任务之间的依赖关系。
缺点:

文章介绍了Gantt图和PERT图在项目管理中的作用。Gantt图用于展示任务的起止时间及并行关系,但不体现依赖关系;而PERT图不仅能表达任务间的依赖,还能分析关键路径和松弛时间,帮助识别项目的关键环节。文章通过示例解释了如何计算事件的最晚开始时间和松弛时间,并指出PERT图在显示并行关系上的不足。
最低0.47元/天 解锁文章
6629

被折叠的 条评论
为什么被折叠?



