简介
工作的过程中经常会遇到这样一个问题,在构建模型训练数据时,我们很难保证训练数据的纯净度,数据中往往会参杂很多被错误标记的脏数据,而数据的质量决定了最终模型性能的好坏。如果进行人工二次标记,成本会很高,我们希望能使用一种无监督算法帮我们做这件事,异常检测算法可以在一定程度上解决这个问题。
异常检测分为 离群点检测(outlier detection) 以及 奇异值检测(novelty detection) 两种。
- 离群点检测:适用于训练数据中包含异常值的情况,例如上述所提及的情况。离群点检测模型会尝试拟合训练数据最集中的区域,而忽略异常数据。
- 奇异值检测:适用于训练数据不受异常值的污染,目标是去检测新样本是否是异常值。 在这种情况下,异常值也被称为奇异点。
孤立森林 (Isolation Forest, iForest)是一个基于Ensemble的快速离群点检测方法,具有线性时间复杂度和高精准度,是符合大数据处理要求的State-of-the-art算法。
孤立森林由南京大学周志华教授等人于2008年首次提出,之后又于2012年提出了改进版本。适用于连续数据(Continuous numerical data)的异常检测,与其他异常检测算法通过距离、密度等量化指标来刻画样本间的疏离程度不同,孤立森林算法通过对样本点的孤立来检测异常值。具体来说,该算法利用一种名为孤立树(iTree)的二叉搜索树结构来孤立样本。由于异常值的数量较少且与大部分样本的疏离性,因此,异常值会被更早的孤立出来,也即异常值会距离iTree的根节点更近,而正常值则会距离根节点有更远的距离。 此外,相较于LOF,K-means等传统算法,孤立森林算法对高纬数据有较好的鲁棒性。其可以用于网络安全中的攻击检测,金融交易欺诈检测,疾病侦测,和噪声数据过滤等。
举个例子:

对于如何查找哪些点是否容易被孤立,iForest使用了一套非常高效的策略。假设我们用一个随机超平面来切割数据空间, 切一次可以生成两个子空间(想象拿刀切蛋糕一分为二)。之后我们再继续用一个随机超平面来切割每个子空间,循环下去,直到每子空间里面只有一个数据点为止。直观上来讲,我们可以发现那些密度很高的簇是可以被切很多次才会停止切割,但是那些密度很低的点很容易很早的就停到一个子空间了。上图里面黑色的点就很容易被切几次就停到一个子空间,而白色点聚集的地方可以切很多次才停止。
算法
怎么来切这个数据空间是iForest的设计核心思想,本文仅介绍最基本的方法。由于切割是随机的,所以需要用Ensemble的方法来得到一个收敛值(蒙特卡洛方法),即反复从头开始切,然后平均每次切的结果。iForest 由 t 个 iTree 组成,每个 iTree 是一个二叉树结构。
该算法大致可以分为两个阶段:
- 第一个阶段我们需要训练出 t 颗孤立树,组成孤立森林。
- 随后我们将每个样本点带入森林中的每棵孤立树,计算平均高度,之后再计算每个样本点的异常值分数。
第一阶段:
(1)从训练数据中随机选择Ψ个点样本点作为样本子集,放入树的根节点。
(2)随机指定一个维度(特征),在当前节点数据中随机产生一个切割点 p(切割点产生于当前节点数据中指定维度的最大值和最小值之间)。
(3)以此切割点生成了一个超平面,然后将当前节点数据空间划分为2个子空间:把指定维度里小于 p 的数据放在当前节点的左子节点,把大于等于 p 的数据放在当前节点的右子节点。
(4)在子节点中递归步骤(2)和(3),不断构造新的孩子节点,直到子节点中只有一个数据(无法再继续切割)或子节点已到达限定高度。
(5)循环(1)至(4),直至生成 t 个孤立树iTree。
第二阶段:
获得t个iTree之后,iForest 训练就结束,然后我们可以用生成的iForest来评估测试数据了。对于每一个数据点 xi,令其遍历每一颗孤立树(iTree),计算点 xi 在森林中的平均高度好h(xi),对所有点的平均高度做归一化处理。
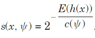
异常值分数的计算公式如下所示:

其中:

H(i) 是调和数,可以通过 ln(i) + 0.5772156649(欧拉常数)来估算。分值越小表示数据越为异常。
代码示例:
from sklearn.ensemble import IsolationForest
X = [[-1.1], [0.3], [0.5], [100]]
clf = IsolationForest(random_state=0).fit(X)
clf.predict([[0.1], [0], [90]])
输出:array([ 1, 1, -1])
补充:
-
iForest具有线性时间复杂度。因为是ensemble的方法,所以可以用在含有海量数据的数据集上面。通常树的数量越多,算法越稳定。由于每棵树都是互相独立生成的,因此可以部署在大规模分布式系统上来加速运算。
-
iForest不适用于特别高维的数据。由于每次切数据空间都是随机选取一个维度,建完树后仍然有大量的维度信息没有被使用,导致算法可靠性降低。高维空间还可能存在大量噪音维度或无关维度(irrelevant attributes),影响树的构建。对这类数据,建议使用子空间异常检测(Subspace Anomaly Detection)技术。此外,切割平面默认是axis-parallel的,也可以随机生成各种角度的切割平面,详见“On Detecting Clustered Anomalies Using SCiForest”。
-
iForest仅对Global Anomaly敏感,即全局稀疏点敏感,不擅长处理局部的相对稀疏点 (Local Anomaly)。目前已有改进方法发表于PAKDD,详见“Improving iForest with Relative Mass”。
-
iForest推动了重心估计(Mass Estimation)理论发展,目前在分类聚类和异常检测中都取得显著效果,发表于各大顶级数据挖掘会议和期刊(如SIGKDD,ICDM,ECML)。
1320

被折叠的 条评论
为什么被折叠?



