目录
1.1 dB的诞生背景
dB是英文“decibel”的简写,其中deci表示十分之一,Bel表示“贝”。Decibel,分贝就是十分之一贝。 “贝”是“贝尔”的简称,是以杰出科学家Alexander Graham Bell的名字来命名的单位。贝尔在1876年获得了电话发明的专利,并在电话的应用和发展上做出了巨大的突破。Bel并不是国际单位制(System International)的单位,但是受到国际单位制的规则影响,用人名表示的单位符号的首字母要大写,所以我们看到dB中B应为大写。由于“Bel”这个单位比较大,使用不方便,更常用的是十分之一贝尔,即分贝。

今天在音频工程和声学领域中,工程师、音响师几乎每天都会用到dB这个词。比如“将1000Hz衰减3dB”,“把推子推高3dB”,或者“这款音箱灵敏度是98dB SPL”,可以说dB在音频行业中是个无处不在的单位。而关于dB的讨论也是一个历久常新的话题,因为每一位从业者都会经历一个“搞懂dB是什么”的阶段,尤其是在声学领域,dB经常用作为表征声压级SPL(Sound Pressure Level)的大小。声压的单位是帕斯卡,Pa,声压的参考值是20μPa,这个值表示人耳在1000Hz处的平均可听阈值,或者是人耳在1000Hz处可被感知的平均最小声压波动值。声音是叠加在大气压之上的声压波动,大气压为1.01325×10^5Pa。相比于大气压,声压幅值波动非常小。人耳可听的声压幅值波动范围为2×10^-5Pa~20Pa,这个声压幅值波动区间很大,二者的比值达到了10^6。似乎从线性角度来说这个声压幅值的波动区间,很不方便。数字位数一多,读起来都头痛,要仔细逐一数一数位数,我反正是这样的,我不知道您是不是也是这样!有没有懒人方法呢,能方便的反映出这个波动的幅值呢?大师Bell早就在思考:有没有好的方法解决这个问题。因此,引入了以dB表示的声压级的概念。他发现我们人类耳朵对声音强度的反应是成对数形式的,大概意思就是当声音的强度增加到某一程度时,人的听觉会变的较不敏锐,刚好近似对数的单位刻度。这使得对数的单位可以拿来代表人类听觉变化的比例,因此,以对数dB形式表示的声压级应孕而生了。人耳可听的声压幅值波动范围为2×10^-5Pa~20Pa,用幅值dB表示对应的分贝数为0~120dB,因此,当用分贝表示声压级的大小时,表征起来更为方便。现实世界中各种常见情况中声音分贝大小如下图所示。

用图表表示声压幅值和分贝数如下表所示:

1.2 dB的定义
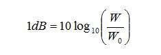
理解dB的第一个要点,就是要知道它是表示两个具有相同单位的同一种物理量的相对关系。即两种电或声功率之比或两种电压或电流值或类似声量之比。它还是一种测量声音相对响度的单位。最初在电话工程领域,dB是用于定义于表示两个功率比,是P1/P0的比值再取以10为底的对数,再乘以10,其数学式为:

dB是一个比值,是一个数值,是一个纯计数方法,没有任何单位标注。由于它在不同领域有着不同的名称,因此它也代表不同的实际意义。常见的领域有:声音、信号、增益等。
1.3 dB的应用
1、声音的大小
在实际日常生活中,住宅小区告知牌上面标示噪音要低于60分贝,也就是要低于60dB,在这里dB(分贝)的定义为噪声源功率与基准声功率比值的对数乘10的数值,不是一个单位,而是一个数值,用来形容声音的大小。
2、信号强度
在无线通讯领域,衡量一个地点的某一无线基站通信信号强度也可以用dB表示。如测的某宾馆402房间的1号无线基站通信信号强度为-90dBm,这里的定义为该房间的有用信号强度与所有信号(包括干扰信号)的比值。
3、增益
在天线技术方面,dB是衡量天线性能的一个参数,名称为增益。它是指在输入功率相等的条件下,实际天线与理想天线在空间同一点处所产生的信号的功率密度之比。
dB 是一个纯计数单位,在工程中有不同的定义方式(仅仅是看上去不同)。对于功率,dB = 10*log()。对于电压或电流,dB = 20*log()。
dB的意义其实再简单不过了,就是把一个很大(后面跟一长串0的)或者很小(前面有一长串0的)的数比较简短地表示出来。如(此处以功率为例):
X = 100000 = 10*log(10^5) = 50 dB
X = 0.000000000000001 = 10*log(10^-15) = -150 dB
dBm 定义的是 miliwatt。 0 dBm = 10log(1) mW = 1 mW;
dBw 定义 watt。 0 dBw = 10log1 W = 10*log(1000) mw = 30 dBm。
dB在缺省情况下总是定义功率单位,以 10*log 为计。当然某些情况下可以用信号强度(Amplitude)来描述功和功率,这时候就用 20log 为计。不管是控制领域还是信号处理领域都是这样。比如有时候大家可以看到 dBmV 的表达。
在dB,dBm,dBw计算中,要注意基本概念。比如前面说的 0dBw = 10log1W = 10log1000mw = 30dBm;又比如,用一个dBm 减另外一个dBm时,得到的结果是dB。如:30dBm - 0dBm = 30dB。
一般来讲,在工程中,dB和dB之间只有加减,没有乘除。而用得最多的是减法:dBm 减 dBm 实际上是两个功率相除,信号功率和噪声功率相除就是信噪比(SNR)。dBm 加 dBm 实际上是两个功率相乘,这个已经不多见(我只知道在功率谱卷积计算中有这样的应用)。
简单地说,分贝就是放大器增益的单位。放大器输出与输入的比值为放大倍数,单位是“倍”,如10倍放大器,100倍放大器。当改用“分贝”做单位时,放大倍数就称之为增益,这是一个概念的两种称呼。电学中分贝与放大倍数的转换关系为:AV(I)(dB)=20lg[Vo/Vi(Io/Ii)];Ap(dB)=10lg(Po/Pi)分贝定义时电压(电流)增益和功率增益的公式不同,但我们都知道功率与电压、电流的关系是P=V2/R=I2R。采用这套公式后,两者的增益数值就一样了:10lg[Po/Pi]=10lg(V2o/R)/(V2i/R)=20lg(Vo/Vi)。使用分贝做单位主要有三大好处。(1)数值变小,读写方便。电子系统的总放大倍数常常是几千、几万甚至几十万,一架收音机从天线收到的信号至送入喇叭放音输出,一共要放大2万倍左右。用分贝表示先取个对数,数值就小得多。附表为放大倍数与增益的对应关系。
运算方便。放大器级联时,总的放大倍数是各级相乘。用分贝做单位时,总增益就是相加。若某功放前级是100倍(20dB),后级是20倍(13dB),那么总功率放大倍数是100×20=2000倍,总增益为20dB+13dB=33dB。
1.4 dBA
dBA是指对声音的A计权。通常对A计权的结果,用单位dBA或dB(A)来表示。
人耳可听的声音有一定的频率范围(20-20KHz)和一定的声压级范围(0-130dB),如下图所示。

人耳不是对所有频率的敏感度都相同。正常人耳最敏感的频带是 3000 Hz 到 6000 Hz,它的频响会随着声音大小的变化而变化。通常,低频段和高频段声音感知能力不如中频段,效果是在低声压级更明显,在高声压级时会被压平,如图中各条曲线(等响曲线)所示,声压级越小的区间,曲线越陡峭,声压级越大的区段,曲线越平坦。

正是因为人耳对不同的频率,敏感度不一样,即使声压级的量级一样,听起来也不一样,所以,需要对真正听到的声压级通过增益因子进行修正,而用得最多的则是A计权。当然还有B,C,D计权。A计权对应的是40方的等响曲线,也就是上图中红色线条所表示的曲线。而B,C计权则对应70和100方的等响曲线,4种计权曲线如下图所示。

对同一信号采用不同的计权方式,最后得到的声压级是不一样的。如下图所示,对一随机信号计算不计权和A计权下的1/3倍频程曲线,可见二者差异明显。因此,当计权不同时,结果也是不同的。

除了dBA和其它三种计权之外,其实在其他领域还有dBm,dBW,dBu,dBv,dBi,dBd,dBc等等,但在NVH领域还是dBA最常用。
1.5dB叠加
dB可以任意相加吗?怎么相加?如70dB+60dB等于130dB吗?要是这么简单,世界就安静了,不会有那么多争论了,也不会有人说NVH是「玄学」了。
在这以声压级的叠加来进行说明。SPLresult=SPL1+SPL2+SPL3+…+SPLn?声压级的合成运算不是简单的加减运算,声压级不能直接相加,必须以能量形式相加计算,因此,声压级的合成公式如下

若两个声压级SPL1=SPL2=60dB,但两个声源是相关、同相位的,则合成后的声压级SPL为66dB,因为60dB对应0.02Pa,两个相加为0.04Pa,对应66dB。现实有这么美好吗?很少有相关同相位的两个声源,所以,这个等于白说了。是不是砍我的心都有了? 若任意两个声压级SPL1=SPL2,则合成后的声压级为


也就是说两个声压级相同,则合成后的声压级比之前大3dB。也可以用以下图来表示,横轴表示两个声压级的差值,纵轴表示在原来的基础上要增加多少dB。二者相差0dB时,合成之后大3dB, 当两个声压级相差15dB以上,数值小的声压级影响可以忽略。通过查询下图也可以求得合成后的声压级大小。

回到这一小节开始时提到的问题:70dB+60dB等于多少?我们可以根据这一节第一个公式计算或者对比上图可以得到结果为70.4dB,记住不是130dB。
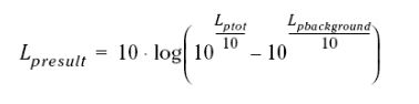
说完了声压级的合成,再说说声压级的分解吧。声压级的分解通常用于修正背景噪声的影响,如噪声测量值Lmeasured 修正背景噪音LBGN 的影响,不是简简单单地Lsource =Lmeasured-LBGN, 而是

国际规范中关于背景噪声的修正原则如下图表示。当背景噪音与声源的声压级差值小于6dB时,测量无效;当二者差值位于6~15dB之间时需要修正,修正按以上公式修正;当二者差值大于15dB时,可忽略背景噪声对测量结果的影响。

参考文章:
https://zhuanlan.zhihu.com/p/22821588
http://www.prozs.com/edu/detail.asp?id=1440
https://www.cnblogs.com/jsdy/p/12728493.html
分贝(dB)是一个表示相对比例的单位,广泛应用于声音、信号强度和增益等领域。dB源于贝尔的名字,常用于描述声音的大小,例如在音频工程和声学中。dB的计算涉及对数,用于简化大范围数值的表示。在声学中,dBA是考虑了人耳对不同频率敏感度的A计权声压级。dB的叠加遵循能量相加原则,而非简单相加。在噪声测量中,需考虑背景噪声的修正。dB在不同场景下有不同的应用和计算方式,例如dBm、dBW等。
9731

被折叠的 条评论
为什么被折叠?



