
解螺旋公众号·陪伴你科研的第2376天
科研之友,Graphpad Prism 9全新功能重磅出场!
GraphPad Prism是一款高效易用的科研绘图工具,集生物统计、曲线拟合和科技绘图于一体,还可用于Windows和Mac操作系统,在生物学以及社会和物理科学界得到广泛使用。
事物都在不断发展与进步, 2020年10月30日,Graphpad公司隆重推出了Graphpad Prism的全新版本Graphpad Prism 9(以下简称Prism 9)!

总的来说,Prism 9与Prism 8很相似,很容易上手,所以广大熟练使用Prism 8的用户可以无缝对接到Prism 9。
相同点无需赘述,那么作为最新版本的Prism 9新在哪里?接下来就让我们一起来围观Prism 9的新功能吧!
1
更加智能,自动添加多结果统计学差异
在某科研论坛上有一个问题,横线表示p值,可以在prism软件中画出,那每根柱子上面的线表示什么意思,怎么用Prism画出来?

在Prism 9中只需鼠标单击一次既可自动连线并将统计结果添加到图形中,工作效率得到极大的提高:

使用步骤:
1. 打开Prism 9,New table & graph选择Column,输入示例数据:

2. Graphs下选择柱形图加散点,得到基本图形如下:

3. 点击Analyze,对两组数据进行相应的统计学分析,此处进行t检验,点击OK完成统计:

4. 点击Draw下带红色星号(*)的划线工具,即可自动添加连线与统计差异:


单因素方差分析的自动标记方法与前述类似:
有一个小问题,如果我不想显示没有差异的比较该怎么办?那么请双击自动划线工具,点击Comparisons on graph,不勾选不想显示的比较两组,即可去除画线与ns:

2
新的图形,气泡图和评估图
气泡图(bubble plot):可显示多元变量数据,可清晰的呈现多个数据之间的关系。例如,下图显示了X、Y,气泡大小与颜色多元变量之间的关系:



2. 在Create New Graph下的Kind of show选择Bubble Plot,分别选择X轴、Y轴、气泡大小与颜色对应的变量,点击OK即可得到气泡图,后续进行美化与调整:



扩展:我们前期也给大家分享过无代码高效绘制富集分析气泡图,有兴趣的同学可以点击链接查看:《无代码高效绘制富集分析气泡图》。从t检验生成评估图(estimation plot):该图形左侧散点显示了Male与Female的原始数据,右侧显示了效应量(平均数差值)及其95%置信区间的大小。
如下图所示:如果效应量95%Cl包括0则p>0.05,如95%Cl不包括0,则p<0.05。需要引起注意的是,目前从t检验生成评估图只适用于t检验(非配对t检验和配对t检验)。

2. t检验时进行参数设置,Graphing options处就可以设置是否显示95%置信区间与效应量:

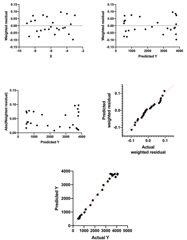
非线性回归的实际与预测图。残差图是指以某种残差为纵坐标,以其他适宜的量为横坐标的散点图,残差图是进行模型诊断的重要工具。非线性回归的实际与预测图可以创建五个残差图(包括新的实际与预测图),在Prism 8中只能得到一个图。五种残差图如下:


3
新的分析,主成分分析(PCA)和主成分回归(PCR)
PCA是一种用于分析多变量数据的方法,可将多个指标化为少数几个综合指标的一种统计分析方法,即通过降维技术把多个变量化为少数几个主成分的方法。
Prism 9 PCA提供的其他功能包括:1. 通过平行分析选择成分(以及Kaiser方法、总方差阈值法等);
2. 生成Scree图、Score图和biplot图;
3. 自动准备PCA结果,以便进一步用于多元线性回归。
4
更高的数据维度
除上述更新外,Prism 9为适应大数据集的分析要求进行了一系列更新,主要涉及将数据列的上限提高至1024列,可自动识别变量类型,数据表可输入文本信息与自动变量编码等。当然,本文也不能将Prism 9的所有新功能尽数分享给大家,有兴趣的小伙伴可以去What's new in Prism 9进行学习与探索:https://www.graphpad.com/guides/prism/latest/user-guide/new-organization.htm!
大家看了这么多新功能是不是在想,我缺的是新功能介绍吗?我缺的是软件!那么打开官网https://www.graphpad.com/,输入您的邮箱即可开始一段为期30天的与Prism 9的“浪漫旅行”!
—END—撰文丨半夏排版丨叶子主编丨尤兰达
GraphPad Prism 9发布带来了更智能的统计分析和绘图功能,如一键添加统计差异、新增气泡图和评估图,以及主成分分析等。这些新功能旨在提高科研人员的工作效率,简化多结果统计学差异的表示,并提供多元变量数据展示的新方式。
3568

被折叠的 条评论
为什么被折叠?



