连乘符号∏
圆周率π,想必大家小学甚至幼儿园时便耳熟能详了。π的小写我们都清楚是表示圆的周长与直径之比,其值约为3.14,。当我们把π的小腿给捋直,再放大,得到的门似的图形就是π的大写。它是这样的:
连乘符号
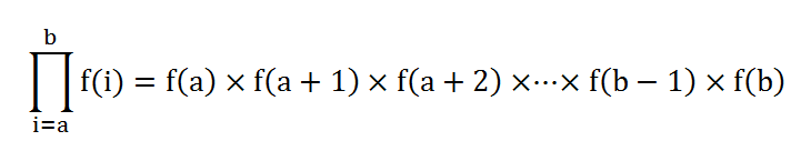
它的一般形式为:
连乘符号
首先,很重要的一点,连乘符号∏只能表示自然数个有相同的运算f的数相乘。
通俗点讲,就是∏下面的a、b都必须是自然数,f(i)指的是对i进行f运算,什么运算都行。
上面的这个符号,它表示把从a到b(包括a和b)的所有整数在分别进行相同的f运算后相乘。(表述有点困难和不严谨,理解了就行)。
举个例子,比如说上面这个连乘,我们把它转化成一般的形式:
这个是很容易就能看懂的形式
我们把字母替换成实实在在的数,再来举几个例子:
这里的f运算就是把从1到3的所有整数乘以一,然后再相乘
这里的f运算就是把从1到3的所有整数乘以二,然后再相乘
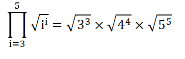
明白了吗?我们再举一个复杂的例子:
这个f运算我也表述不清楚,自己斟酌着理解
再来一个超复杂的:
其实不难,按照我之前说的,把从7到8的所有整数进行这个复杂的f运算后再相乘就行了
想必看到这里的你已经理解了连乘符号∏的用法和意义。
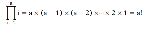
再扩展一个“阶乘”:
1( )1 ()1()=6
在括号中添加数学符号,使等式成立,你行吗?
我给出答案:
(1+1+1)!=3!=3×2×1=6
这个“!”不是语文的感叹号,而是数学的阶乘符号。
阶乘符号的定义是:
a为自然数
如果你理解了连乘符号∏,那么阶乘符号!也是很好理解的。
数学界为了避免运算中的谬论(例子我找不到了),还有一项规定:
0!=1,甭管它为什么,没有为什么,这就是规定!(这个是感叹号,哈哈)
总和符号∑
当你理解了连乘符号∏后,理解总和符号∑是轻而易举的了。
定义我再扯一下:
总和符号∑的一般形式为:
a,b为自然数,其它不用我再多扯了吧
它表示的是:把从a到b(包括a和b)的所有整数在分别进行相同的f运算后相加。(和连乘就差了一个字,不信自己倒回去康)
话不多说,直接上例子:
乘号变成了加号
我们都听过高斯小时候求1+2+3+···+100=5050的经历,我们把它转化一下,求和的那些公式下期再扯:
这个答案我都背下来了
还有很著名的用小麦粒摆满国际象棋盘的例子:
变得简单许多了吧?
等差数列求和(这个不是一般的,一般的我懒得打,太长):
a是公差,n叫项数
等比数列求和(这个也不是一般的,一般的我懒得打,太长):
a叫做公比,其它的我忘了
还有一个很经典的(一尺之锤,日取其半,万世不竭):
才不会万世不竭呢!
你现在肯定也明白了总和符号∑的用法,这样你就集齐了连乘、总和二件套了。
看完这篇专栏,别再傻傻地写一大长串的加号和乘号了,记得用连乘、总和二件套!
下期:对数、组合与排列、等差等比数列、高阶等差数列
3346

被折叠的 条评论
为什么被折叠?



