
作者 | Helen & 编辑 | 罗数君
文 2906字 阅读时间约 8分钟

导语:
数学的美丽在于它的自然和简洁。在我们熟悉又陌生的自然常数“e”的背后又蕴藏着巨大的力量。“最美的公式”这一系列将带你仔细领略“e”在数学领域的魅力。第一篇,将对“e”进行定义并且运用“e”对复杂的公式进行简单的证明。
学数学的朋友们总会被问到一个难题,为什么要学数学?我却觉得很困惑:“因为数学很美,难道这还不够吗?” 偶然间,我想起了很多年前看过的一本书,由获得芥川奖的小川洋子所作,叫做《博士最爱的算式》,一个温暖的故事。这个算式,也是所有故事的主角,叫做欧拉公式。小说里的博士用这个号称“世界上最美的公式”证明了爱的永恒。小说外,“罗博深数学”的母公司“Expii”也是以它命名的。

图片来源:www.google.com
今天,我想把这个公式送给你们,连带着它背后所有已经发生,正在发生和将要发生的故事。
故事开始于书里的一句话,这也是我的信仰:
“每一个算式,每一个数字都有它的意义。”
带着这句话,我们来看一看欧拉公式:

公式涉及到五个最基本的数量,而同时用最基本的关系来连接。在数学里,我们总说越简洁的关系是越美的,所谓 “大道至简”。我们来看这五个基本量:
*注释:基本量是指在量制中, 约定地被认为是相互独立的。例如,在力学中一般取长度、质量和时间作为基本量。(来自百度百科)
e | i | pi | 0 | 1 |
自然底数 | 虚数单位 | 圆周率 | 无 | 自然数的单位 |
而这其中,最抽象的可能是虚数单位 “i”;最熟悉却最陌生的却应该是“e”。
从小到大,我们在好多地方看到过它,知道它叫自然底数,也知道很多关于它的性质,可是对它的感觉还是朦朦胧胧的。比如,它到底哪里自然了?它是从哪里来的?
不如,就从我们知道的关于“e”的一切知识开始?

图片来源:en.wikipedia.org
最先出现在脑海里的可能是当年数学老师ppt上的那个海螺,学名其实叫做螺线。如果我们把e^x 画在极坐标里,呈现出来的效果,就是这样一条美妙的螺线。稍加雕琢,我们还可以得到更多不同的黄金螺线,例如,“斐波那契螺线”。这环绕着我们所相信的,“e是自然的,是美的”。
*注释:极坐标系(polar coordinates)是指在平面内由极点、极轴和极径组成的坐标系。在平面上取定一点O,称为极点。从O出发引一条射线Ox,称为极轴。再取定一个单位长度,通常规定角度取逆时针方向为正。这样,平面上任一点P的位置就可以用线段OP的长度ρ以及从Ox到OP的角度θ来确定,有序数对(ρ,θ)就称为P点的极坐标,记为P(ρ,θ)。(来自百度百科)

图片来源:gss2.bdstatic.com
其次,学过极限的读者们可能会知道关于e最著名定义,“x趋向于无穷时,(1+1/x)^x这个函数的取值约等于2.718281828459045...”,e 和我们熟悉的圆周率 pi 一样,是一个超越数。
*注释:超越数是指不满足任何整系数(有理系数)多项式方程的实数,即不是代数数的数。例如,a=0.110001000000000000000001000…(a=1/10^1!+1/10^2!+1/10^3!+…)(来自百度百科)。

另外,学导数的时候我们遇到的关于e的公式是这样的,

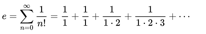
微积分里的e又是另外一个定义:

所有这些公式和性质,你可能都听说过,也都感觉很熟悉。但是,不知道你是不是也有这样的感觉,学导数和微积分的时候背的公式,即使倒背如流,还是又熟悉又陌生,似懂非懂。对于e,罗教授是这样带我们理解的:
小学的时候我们学过指数函数,对数函数,知道各种底数相互转换非常容易。不知道大家有没有同样的困惑,既然如此,计算器上为什么会有两个分别的按钮,“log”: 代表底数 10 的对数,还有“ln”:底数为e的对数,看起来十分多余啊!况且,10的指数和对数看起来都整整齐齐,干干净净,特别方便计算。既然这样,我们不妨来看看10的指数函数和e的指数函数。

很明显,10^x 增长得更快。我们回忆一下导数的定义,无非是某个点切线的斜率(slope)。就从图像上来看,10^x的曲线“更陡”,而e^x更平和。有趣的是,这两条线都过了同一点(0,1)。这也没什么神奇的,因为所有数的0次方,我们都定义为1。我们看x = 0这一点的斜率,如果我们说有这样一个数e,e^x这个函数在 x = 0的时候斜率是1。如图中的直线是y = x + 1,也就是e^x在 (0, 1)这个点的切线。

图片来源:commons.wikimedia.org
背过常见函数的导数公式的读者也应该记得,10^x在同一个点的斜率就是(ln 10)。比起号称“自然底数”的e,10 给我们的感觉,要“自然”多了。可是实际上,我们之所以这么喜欢10,只是因为我们在计数的时候习惯以10为计数单位(据说是因为人类有十个手指头)。但是e在数学上的定义和应用,要自然得多。那么,我们就从这一个定义出发,按图索骥,看一看我们能不能得到前文提到的几个公式。就像罗教授说的:“Mathematics is a way ofmoving from one side of belief to another, because every step is trusted.” (数学让我们将已有的信念转化为新的信念,因为每一个步骤都是值得信赖的)
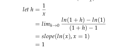
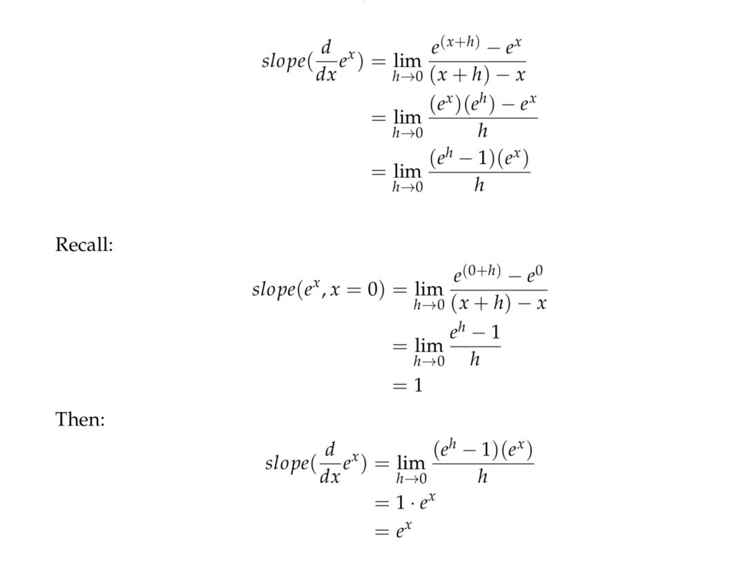
言归正传,我们尝试证明:

回到这张图,对于任何一点x,我们想知道这一点的斜率,其实只要找到两个点。在微积分里,我们选取一个离x“无限近”的点(x+h),让h无限小。那么根据我写的这个证明,我们轻松地验证了第一个e的性质。
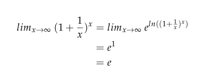
接下来,既然我们对极限有了一定的理解,就让我们来挑战一下最著名的这个定义:

这个式子就复杂多了,这里未知数的指数也是未知数,未知数的未知数次方,就好绝望啊。还记得我们一开始提到的对数函数吗?把未知数从肩膀上扯下来,问题会不会简单一些?

这里,你有没有注意到ln 正是 e^x 的反函数。我们曾经也学过,正反函数是关于 y = x 这条直线对称的。我们看ln的曲线,它在(1,0)这一点的斜率也应该是1。

继续我们的证明:
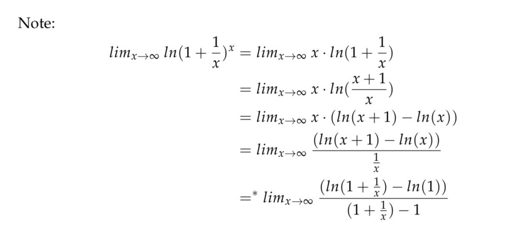
加星号的那一步可能有些难以理解,但实际上,只是一个小小的技巧。分子上,我们在“ln”里面同除以“x”;分母上,我们加了一又减了一,实际上并没有变。定睛再看一眼,你会发现这样的形式和之前的斜率十分相似。

将这个结果带回到我们最开始的等式里, 就成功验证了e最著名的定义:

至于ln x的导数,和我们证明的e的极限定义十分相似,这里留给大家做练习。
回到我们最开始所说的那些性质,其中这条无穷级数的定义,看起来和我们之前证明的性质完全没有关系。学过微积分的同学可能隐隐约约能想起来这看起来和泰勒展开很相似,又有点像sin 和cos 的无穷级数定义。再想一想,是不是会发现欧拉公式里也有“pi”?!实际上,欧拉公式正是我们联系sin,cos 还有e的指数函数的奥秘。我们将在下一篇文章里讨论这些。


图片来源:en.wikipedia.org
最后,让我们以小说描述欧拉公式的一段话结尾:
“永无止境地循环下去的数字,和让人难以捉摸的虚数画出简洁的轨迹, 在某一点落地。虽然没有圆的出现,但来自宇宙的 π飘然地来到 e 的 身旁,和害羞的 i 握着手。它们的身体紧紧地靠在一起,屏住呼吸, 但有人加了 1 以后,世界就毫无预警地发生了巨大的变化化,一切都归于 0。欧拉公式就像是暗夜中闪现的一道流星;也像是刻在漆黑的洞窟里的一行诗句。”
下一次,我将和你们一起探索数学界最美的一行诗句——“欧拉公式”。

喜欢这篇文章吗?欢迎给我们留言,探讨有趣的数学问题,如果你还想看其他的相关内容,也可以向我们提出来哦!
相关推荐



本文介绍了自然常数“e”的魅力,从螺线、极限定义、导数等多个角度探讨e的性质,并通过数学证明阐述了e^x与ln x的关系,展示了数学的简洁与自然。文章以欧拉公式为线索,预告了后续对数学之美的深入探索。
986

被折叠的 条评论
为什么被折叠?



