origin设置不同区域的颜色_折线图也能骚操作?(Origin攻略)

本文详细介绍如何使用Origin软件绘制带有误差带的高级折线图,并对比Graphpad,展示Origin在图表定制上的独特优势。

2f6cf008e83b4669314f661d96e34f1a.gif

折线图是大家再熟悉不过的图表类型了,把下面的数据丢到Graphpad里1分钟就画好一张折线图啦

6ce9220c4f6d63b8fddb2ea06cc4c41d.png

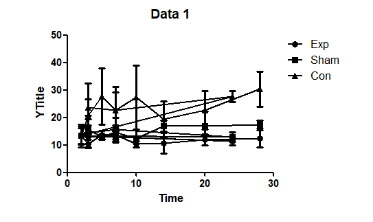
场景大致是手术组、假手术组和对照组的某基因随时间变化情况,数据是我在Excel里用Randbetween函数随机生成的,所以误差棒会很夸张,图也很丑!

a9d343796f5d62d80a831ffa2e53590a.png

但是折线图也可以画成这样

c27a2d00360b83ef6143ea0ff2cd36b6.png

下面就进入正题,给大家展示一波Origin的骚操作

Origin用起来其实可能并不如Graphpad方便,但是花样多呀~

不像Graphpad那样直接把原始数据丢进去就能生成图片,Origin要自己先算好标准差和平均值,这里我们在EXCEL里用STDEVP函数算一下SD

38e475a870818f7127ac2f18c11402ed.png

整理成这样输入到Origin里:

324fd885ad7643d5ccc22e1420f835ac.png

Origin的数据输入界面和Graphpad也有很大的不同

6878fd1a9227bd5340cbcc2d9939e152.png

然后开始画图,从Plot菜单里拉出折线图,或者从底部的快捷菜单里选择都可以

ea17aa098c5164361b7c40c2aaac9585.png

设置好X轴,Y轴的数据说明,把SD的数据和yEr对应起来,Time选为X轴

5ce71046c63c5104cee20281f2bddec0.png

这样一张标准的折线图就画好了

1b69c9c8274125debed69fb3cfb9be32.png

下面就开始骚操作啦,请各位坐稳了!

双击图片区域打开样式设置界面,选中第一列Exp_Avg数据,右边勾选Independent,表示每个系列的样式是不同的

cf566076af34e03be4767d0adbfa8d1a.png

设置一下线条的样式,宽度,颜色

1f71ef341f87a26eccc1f12c8978a7d5.png

用直线当然也是没问题的,这里我们设置成曲线

72b2504375ba3f073f3c282d49a26ab9.png

接下来我们设置一下Error bar的样式,同样调成曲线,然后勾上Fill Area Under Curve

dbb2480b5612e212fde762d20d1439a3.png

接下来在Pattern菜单里调整下颜色和透明度

157785f50e4f20d08d751c16246150d5.png

效果如下

6801b6b5898a75dcc60ea4e7539dd1ed.png

按照上述操作过程把其它两条折线也设置一下

c27a2d00360b83ef6143ea0ff2cd36b6.png

Label的黑框看着不顺眼,可以右键单击Label,选择Properties

ffdc9356f749d27fffc6ed243852bd3e.png

在Frame里把Box改成None就好了

1105f37744952061cedb20f8e672327d.png

那么折线图画成这样有什么好处呢?

我们通过绘制数据的误差带,可以把不同组别在同一时间点可能的交叉重叠部分清楚的表现出来。

好了,今天Origin画折线图的操作就介绍到这里了!

7c1c267fcdc907ff12f35c993966c143.gif

评论
添加红包

请填写红包祝福语或标题

红包个数最小为10个

红包金额最低5元

当前余额3.43前往充值 >
需支付:10.00
成就一亿技术人!
领取后你会自动成为博主和红包主的粉丝 规则
hope_wisdom
发出的红包
实付
使用余额支付
点击重新获取
扫码支付
钱包余额 0

抵扣说明:

1.余额是钱包充值的虚拟货币,按照1:1的比例进行支付金额的抵扣。
2.余额无法直接购买下载,可以购买VIP、付费专栏及课程。

余额充值