
来源:CSDN 樱花城堡的小侍卫 的博客。
1. 傅里叶变换定义
能将满足一定条件的某个函数,表示成三角函数(正弦和/或余弦函数)或者它们的积分的线性组合。傅立叶变换是一种分析信号的方法,它可分析信号的成分,也可用这些成分合成信号。许多波形可作为信号的成分,比如正弦波、方波、锯齿波等,傅立叶变换用正弦波作为信号的成分。
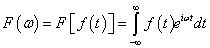
f(t ) 是t 的周期函数,如果t 满足狄里赫莱条件:在一个以2T 为周期内f(X ) 连续或只有有限个第一类间断点,附f(x ) 单调或可划分成有限个单调区间,则F(x ) 以2T为周期的傅里叶级数收敛,和函数S(x ) 也是以2T 为周期的周期函数,且在这些间断点上函数是有限值;在一个周期内具有有限个极值点,绝对可积。则有下式成立。称为积分运算f(t ) 的傅立叶变换。

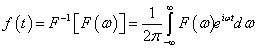
下式的积分运算叫做F(ω) 的傅立叶逆变换。F(ω) 叫做f(t ) 的像函数,f(t ) 叫做F(ω) 的像原函数。F(ω) 是f(t ) 的像。f(t ) 是F(ω) 原像。

2. 拉普拉斯变换定义
拉普拉斯变换是工程数学中常用的一种积分变换,又名拉氏变换。拉氏变换是一个线性变换,可将一个有参数实数t(t≥0) 的函数转换为一个参数为复数s 的函数。拉普拉斯变换在许多工程技术和科学研究领域中有着广泛的应用,特别是在力学系统、电学系统、自动控制系统、可靠性系统以及随机服务系统等系统科学中,都起着重要作用。
拉普拉斯变换,是对于t>=0 函数值不为零的连续时间函数x(t),通过关系式

式中,st 为自然对数底e 的指数。变换为复变量s 的函数X(s)。它也是时间函数x(t ) 的“复频域”表示方式。
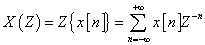
3. Z 变换定义
Z变换(英文:z-transformation)可将时域信号(即离散时间序列)变换为在复频域的表达式。它在离散时间信号处理中的地位,如同拉普拉斯变换在连续时间信号处理中的地位。离散时间信号的Z 变换是分析线性时不变离散时间系统问题的重要工具,在数字信号处理、计算机控制系统等领域,有着广泛的应用。
双边Z 变换离散时间序列x[n] 的Z变换定义为:

式中:

其中,σ 为实变数,ω 为实变量,所以Z 是一个幅度为eσ,相位为ω 的复变量。x[n] 和X(Z) 构成一个Z 变换对。
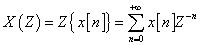
单边Z 变换通常意义下的Z 变换指双边Z 变换,单边Z 变换只对右边序列(n≥0 部分)进行Z 变换。单边Z 变换可以看成是双边Z 变换的一种特例,对于因果序列双边Z 变换与单边Z 变换相同。
单边Z 变换定义为 :

三大变换的联系和区别Discovery
傅里叶变换是最基本得变换,由傅里叶级数推导出。傅里叶级数只适用于周期信号,把非周期信号看成周期T 趋于无穷的周期信号,就推导出傅里叶变换,能很好的处理非周期信号的频谱。但是傅里叶变换的弱点是必须原信号,必须绝对可积,因此适用范围不广。
拉普拉斯变换是傅里叶变换的推广,傅里叶变换不适用于指数级增长的函数,而拉氏变换相当于是带有一个指数收敛因子的傅里叶变换,把频域推广到复频域,能分析的信号更广。然而缺点是从拉普拉斯变换的式子中,只能看到变量s,没有频率f的概念,要看幅频响应和相频响应,还得令s=j2πf。
Z 变换的本质是离散时间傅里叶变换 (DTFT),如果说拉普拉斯变换专门分析模拟信号,那Z 变换就是专门分析数字信号,Z 变换可以把离散卷积变成多项式乘法,对离散数字系统能发挥很好的作用。Z 变换看系统频率响应,就是令Z 在复频域的单位圆上跑一圈,即Z=ej2πf,即可得到频率响应。由于傅里叶变换的特性“时域离散,则频域周期”,因此离散信号的频谱必定是周期的,就是以这个单位圆为周期,Z 在单位圆上不停的绕圈,就是周期重复。单位圆0°位置是实际频率0Hz,单位圆180°的实际频率就是采样频率的一半,fs/。
总结一下拉普拉斯变换是傅里叶变换的扩展,傅里叶变换是拉普拉斯变换的特例,Z 变换是离散的傅里叶变换在复平面上的扩展。
原文链接:
https://blog.csdn.net/m0_37876745/article/details/80782499

为什么要进行傅立叶变换?
浅议傅里叶变换的点及局限性傅里叶变换和拉普拉斯变换区别
声明:本微信转载文章出于非商业性的教育和科研目的,并不意味着支持其观点或证实其内容的真实性。版权归原作者所有,如转载稿涉及版权等问题,请立即联系我们,我们会予以更改或删除相关文章,保证您的权利!
本文介绍了傅里叶变换、拉普拉斯变换和Z变换的基本定义及其应用。傅里叶变换用于分析信号成分,拉普拉斯变换扩大了适用范围,而Z变换专注于离散时间信号处理。三种变换各有特点,互有联系和区别。
6430

被折叠的 条评论
为什么被折叠?



