
MoCo loss计算采用的损失函数是InfoNCE:

下面是MoCo的伪代码,MoCo这个loss的实现就是基于cross entropy loss。

将k作为q的正样本,因为k与q是来自同一张图像的不同视图;将queue作为q的负样本,因为queue中含有大量不同图像的视图。
在具体python代码中(在/moco/builder.py和/main_moco.py)的实现如下:


(1)首先计算正样本损失l_pos, 大小为(N, 1)。
l_pos = torch.einsum('nc,nc->n', [q, k]).unsqueeze(-1)
再计算负样本损失l_neg, 大小为(N, K)。
l_neg = torch.einsum('nc,ck->nk', [q, self.queue.clone().detach()])
(2)将l_pos和l_neg进行cat操作,并除以温度参数temperature(控制concentration level of distribution),得到logits, 大小为(N, 1+K)。
# logits: Nx(1+K)
logits = torch.cat([l_pos, l_neg], dim=1)
# apply temperature
logits /= self.T
目标是正样本都为1,负样本都为0。
(3)那么可以把logits看做分类,分成1+K个类别,期望都是第一个类别,则可以把labels设为0(为什么呢?)。
# labels: positive key indicators
labels = torch.zeros(logits.shape[0], dtype=torch.long).cuda()
(4)最后函数返回,再使用nn.CrossEntropyLoss计算损失函数。
criterion = nn.CrossEntropyLoss().cuda(args.gpu)
# ...
loss = criterion(output, target)
前面提到的可以把labels设为0(为什么呢?)
我们可以结合nn.CrossEntropyLoss详解_Lucinda6的博客-CSDN博客_nn.crossentropyloss()和https://www.cnblogs.com/marsggbo/p/10401215.html 理解一下。
交叉熵的计算公式为:

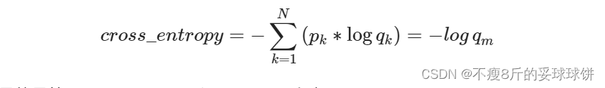
其中p表示真实值,在这个公式中是one-hot形式;q是预测值,在这里假设已经是经过softmax后的结果了。
下面详细分析一下nn.CrossEntropyLoss。
仔细观察上面的交叉熵的计算公式可以知道,因为p的元素不是0就是1,而且又是乘法,所以很自然地我们如果知道1所对应的index,那么就不用做其他无意义的运算了。所以在pytorch代码中target不是以one-hot形式表示的,而是直接用scalar表示。所以交叉熵的公式(m表示真实类别)可变形为:

仔细看看,是不是就是等同于log_softmax和nll_loss两个步骤。

所以Pytorch中的F.cross_entropy会自动调用上面介绍的log_softmax和nll_loss来计算交叉熵,其计算方式如下:

参考文章:
对比学习损失(InfoNCE loss)与交叉熵损失的联系,以及温度系数的作用 - 知乎
nn.CrossEntropyLoss详解_Lucinda6的博客-CSDN博客_nn.crossentropyloss()
https://www.cnblogs.com/marsggbo/p/10401215.html
1612





