五、导数的应用
1. 求极值步骤:确定函数定义域-> 求f'(x) -> 求驻点或者一阶导数为0的嫌疑点
2. 求最大值,最小值步骤:求助定义域内部的驻点、不可导点 -> 求出端点的函数值 -> M=max{f(x)...f(a),f(b)}, m=min{f(x)...f(a),f(b)}


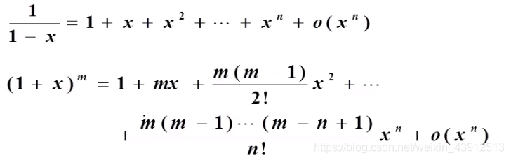
六、泰勒公式
Taylor思想:利用导数做系数,构建一个多项式近似函数在这一点邻域中的值。



七、多元函数极限和偏导数
定义:

二元函数的极限,二重极限

高阶偏导的定义:

4077

被折叠的 条评论
为什么被折叠?



