
JVM-JIT触发
最新推荐文章于 2024-08-29 10:53:36 发布
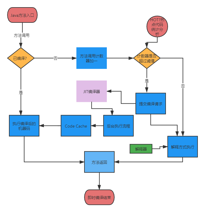
博客围绕JVM-JIT触发展开,虽未给出具体内容,但可知核心聚焦于此。JVM是Java虚拟机,JIT即时编译器能提升Java程序运行效率,触发机制对性能优化至关重要。
博客围绕JVM-JIT触发展开,虽未给出具体内容,但可知核心聚焦于此。JVM是Java虚拟机,JIT即时编译器能提升Java程序运行效率,触发机制对性能优化至关重要。

294
2130

被折叠的 条评论
为什么被折叠?