哈夫曼编码
一些需要了解的基本概念
对字符的编码有两种:定长编码和变长编码,两者的编码长度往往差得很大,以下面的编码为例。
定长编码:

编码长度为:10000*3=30000
变长编码:

编码长度为:45001+13003+1200-3+16003+9004+500*4=22400
定义:前缀码
前缀码是对字符的0,1编码,任意字符的编码都不是其它字符编码的前缀。
例如:

如果我们接收到了:001011101
那么我可以将其翻译为:aabe
定义:前缀码跟二叉树的转换


定义:平均码长(二叉树代价)
已知一颗根据字符集合C构造的二叉树T,对于C中出现的任意字符x,定义其出现频率(权重)为f(x),其在T中的深度为dt(x),则二叉树T的平均码长为:

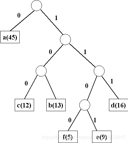
举例:

其平均码长为:
B(T)=0.451+0.123+0.133+0.163+0.054+0.094
=2.24
哈夫曼编码问题定义
输入:
字符集C,对于C中的任意字符x,其出现频率(权重)为 f (x)
输出:
平均码长最短的前缀码编码方案(哈夫曼编码,也就是代价最小的前缀二叉树)
贪心算法解题思路
选择权重最小的两颗子树构成二叉树
新的二叉树的权重等于两颗子树权重的和
例如:
初始化:
选择权重最小的子树,也就是f和e,构成新的子树如下:(我们默认把小的放左侧,大的权重放右侧)

根据新的权重:

选择最小的再构成新的子树:

直到所有的元素形成一颗二叉树为止:

然后对每棵树的分支进行编码,左支为0,右支为1,要得到某个字符的前缀码只需要从根结点遍历到这个结点即可。
740

被折叠的 条评论
为什么被折叠?



